Locomotor Adaptation Training to Prevent Mobility Disability
Abstract
1. Introduction
2. Materials and Methods
2.1. Functional Testing
2.2. Cardiovascular Testing
2.3. Cognitive Testing
2.4. Gait Testing
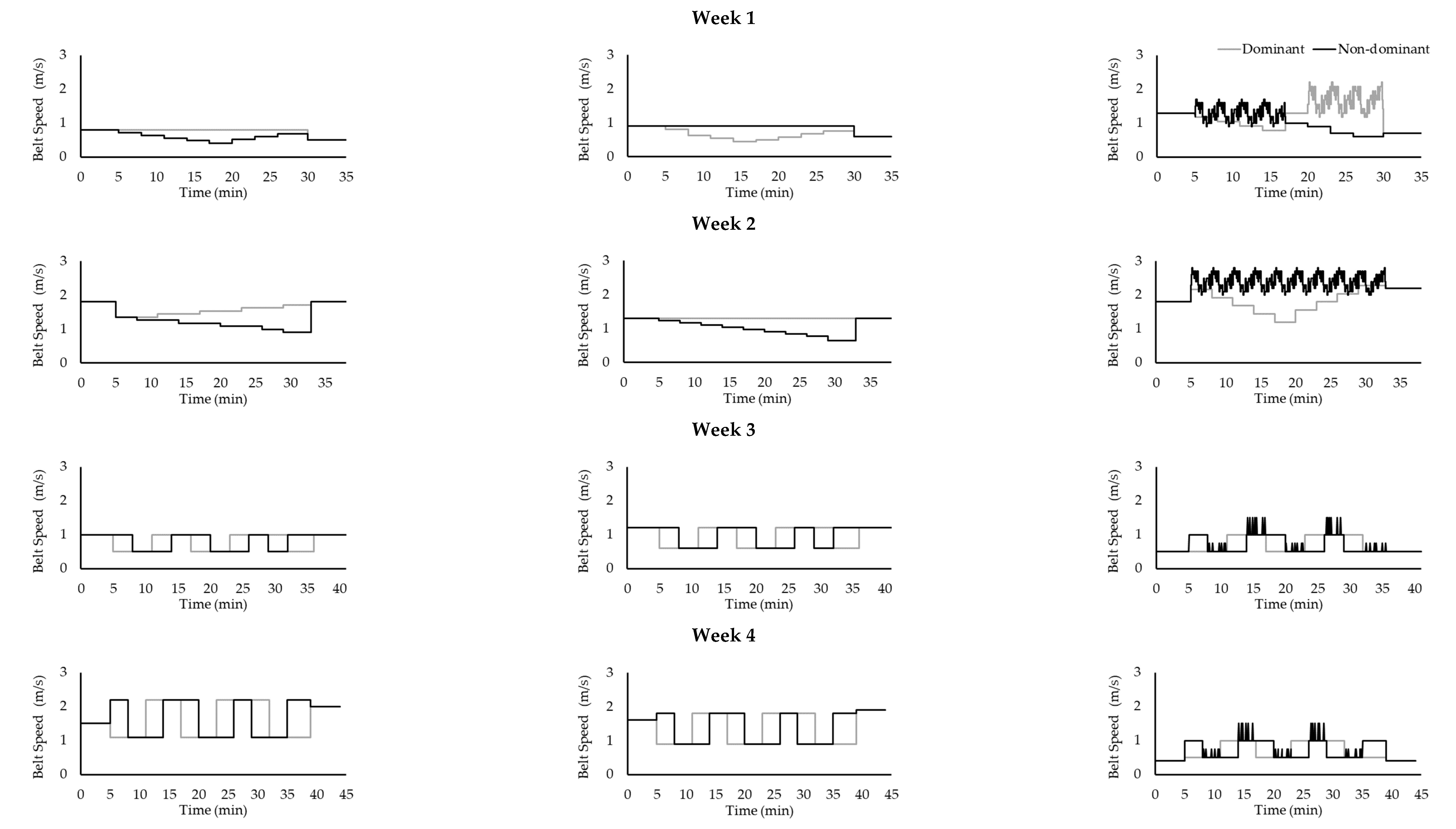
2.5. Intervention
2.6. Statistical Analysis
3. Results
3.1. Participants
3.2. Dimension 1: Clinical Function
3.3. Dimension 2: Cardiovascular Fitness
3.4. Dimension 3: Cognitive Function
3.5. Dimension 4: Gait Parameters
3.6. Dimension 5: Gait Kinetics
4. Discussion
Author Contributions
Funding
Institutional Review Board Statement
Informed Consent Statement
Data Availability Statement
Acknowledgments
Conflicts of Interest
Appendix A

Appendix B. Participant Drop-Out
- 5 participants reported an unrelated health issue;
- 1 participant had a cardiac event approximately halfway through the study;
- 10 participants reported that the time commitment was too much;
- 2 participants moved away from the area.
- 1 participant reported the time commitment was too much.
- 1 participant was withdrawn due to starting exercising regularly.
- 2 participants dropped out before training began;
- 5 participants dropped out in the first quarter (Weeks 1–4);
- 6 participants dropped out in the second quarter (Weeks 5–8);
- 4 participants drooped out in the third quarter (Weeks 9–12);
- 1 participant dropped out in the fourth quarter (Weeks 13–16).
- 1 participant dropped out at week 5.
- 1 participant was withdrawn at week 12.
Appendix C
| Measure | Group | Time | Mean ± SE |
|---|---|---|---|
| Short Physical Performance Battery Score (SPPB; maximum possible score: 12) | Control | Pre | 8.9 ± 0.4 |
| Post | 8.5 ± 0.6 | ||
| Traditional | Pre | 8.4 ± 0.5 | |
| Post | 9.3 ± 0.6 | ||
| Split-belt | Pre | 9.1 ± 0.4 | |
| Post | 8.8 ± 0.6 | ||
| Dynamic Gait Index (DGI; maximum possible score: 24) | Control | Pre | 20.1 ± 0.6 |
| Post | 21.3 ± 0.6 | ||
| Traditional | Pre | 21.2 ± 0.7 | |
| Post | 21.4 ± 0.7 | ||
| Split-belt | Pre | 20.5 ± 0.6 | |
| Post | 21.6 ± 0.6 | ||
| Timed Up and Go (TUG; s) | Control | Pre | 11.6 ± 0.7 |
| Post | 11.1 ± 0.6 | ||
| Traditional | Pre | 10.5 ± 0.8 | |
| Post | 11.2 ± 0.7 | ||
| Split-belt | Pre | 12.2 ± 1.0 * | |
| Post | 10.9 ± 0.6 * |
Appendix D
| Measure | Group | Time | Mean ± SE |
|---|---|---|---|
| Maximal Oxygen Uptake (mL/kg/min) † | Control | Pre | 15.2 ± 1.3 |
| Post | 15.5 ± 1.2 | ||
| Traditional | Pre | 17.4 ± 1.2 * | |
| Post | 19.0 ± 1.2 * | ||
| Split-belt | Pre | 17.0 ± 1.2 | |
| Post | 18.2 ± 1.2 | ||
| Heart Rate (bpm) | Control | Pre | 128.9 ± 4.4 |
| Post | 126.1 ± 4.7 | ||
| Traditional | Pre | 141.5 ± 4.2 | |
| Post | 143.5 ± 4.5 | ||
| Split-belt | Pre | 132.5 ± 4.2 | |
| Post | 133.6 ± 4.5 | ||
| Rating of Perceived Exertion (maximum possible score: 20) | Control | Pre | 15 ± 1 |
| Post | 15 ± 1 | ||
| Traditional | Pre | 14 ± 1 | |
| Post | 14 ± 1 | ||
| Split-belt | Pre | 15 ± 1 | |
| Post | 15 ± 1 | ||
| Gait Efficiency (mL/kg/m) | Control | Pre | 0.23 ± 0.02 |
| Post | 0.24 ± 0.02 | ||
| Traditional | Pre | 0.29 ± 0.02 * | |
| Post | 0.25 ± 0.02 * | ||
| Split-belt | Pre | 0.26 ± 0.02 | |
| Post | 0.27 ± 0.02 |
Appendix E
| Measure | Group | Time | Mean ± SE |
|---|---|---|---|
| Mini-Mental State Exam (maximum possible score: 30) | Control | Pre | 27.7 ± 0.5 |
| Post | 27.3 ± 0.5 | ||
| Traditional | Pre | 28.1 ± 0.5 | |
| Post | 28.0 ± 0.5 | ||
| Split-belt | Pre | 27.8 ± 0.5 | |
| Post | 27.8 ± 0.5 | ||
| Trail Making Test-A (s) † | Control | Pre | 106.2 ± 7.5 |
| Post | 106.2 ± 7.8 | ||
| Traditional | Pre | 98.9 ± 7.8 | |
| Post | 106.9 ± 8.1 | ||
| Split-belt | Pre | 101.9 ± 7.2 | |
| Post | 104.3 ± 7.5 | ||
| Trail Making Test-B (s) † | Control | Pre | 159.8 ± 13.2 |
| Post | 154.3 ± 20.7 | ||
| Traditional | Pre | 140.9 ± 13.8 | |
| Post | 177.3 ± 21.6 | ||
| Split-belt | Pre | 144.6 ± 12.7 | |
| Post | 172.3 ± 19.9 | ||
| Difference between Trail Making Test-B and Trail Making Test-A (dTMT, B-A) (s) | Control | Pre | 53.6 ± 9.7 |
| Post | 48.0 ± 17.8 | ||
| Traditional | Pre | 42.1 ± 10.1 | |
| Post | 70.3 ± 18.6 | ||
| Split-belt | Pre | 42.6 ± 9.3 | |
| Post | 67.9 ± 17.1 |
Appendix F
| Measure | Group | Time | Mean ± SE |
|---|---|---|---|
| Peak Ankle Plantarflexion Moment (Nm) | Control | Pre | 37.2 ± 13.5 |
| Post | 41.1 ± 9.0 | ||
| Traditional | Pre | 74.8 ± 13.5 | |
| Post | 61.4 ± 9.0 | ||
| Split-belt | Pre | 44.4 ± 11.0 | |
| Post | 43.7 ± 7.3 | ||
| Peak Eccentric Ankle Plantar Flexor Power (W/kg) | Control | Pre | 0.22 ± 0.04 |
| Post | 0.14 ± 0.04 | ||
| Traditional | Pre | 0.15 ± 0.04 | |
| Post | 0.15 ± 0.04 | ||
| Split-belt | Pre | 0.17 ± 0.03 | |
| Post | 0.23 ± 0.04 | ||
| Peak Concentric Hip Flexor Power (W/kg) | Control | Pre | 0.34 ± 0.07 |
| Post | 0.19 ± 0.04 | ||
| Traditional | Pre | 0.21 ± 0.07 | |
| Post | 0.26 ± 0.04 | ||
| Split-belt | Pre | 0.33 ± 0.06 | |
| Post | 0.36 ± 0.03 |
Appendix G. Responders vs. Non-Responders to the Intervention
- Both traditional treadmill and split-belt together (total n = 25, responders n = 8, non-responders n = 17);
- Traditional treadmill only (total n = 12, responders n = 6, non-responders n = 6);
- Split-belt treadmill only (total n = 13, responders n = 11, non-responders n = 2).
| Measure | Combined Groups | Traditional Treadmill | Split-belt Treadmill | ||||||||||
| n | Mean ± SE | U | p-Value | n | Mean ± SE | U | p-Value | n | Mean ± SE | U | p-Value | ||
| Change in Walking Speed (m/s) | NR | 17 | −0.03 ± 0.02 | 136 | <0.001 | 6 | −0.01 ± 0.03 | 36 | 0.002 | 11 | −0.04 ± 0.03 | 22 | 0.026 |
| R | 8 | 0.16 ± 0.03 | 6 | 0.17 ± 0.04 | 2 | 0.12 ± 0.03 | |||||||
| Age (years) | NR | 17 | 71 ± 1 | 78.5 | 0.549 | 6 | 73 ± 2 | 16 | 0.818 | 11 | 70 ± 1 | 12.5 | 0.769 |
| R | 8 | 72 ± 2 | 6 | 72 ± 2 | 2 | 72 ± 6 | |||||||
| Mass (kg) | NR | 17 | 97 ± 6 | 47 | 0.238 | 6 | 94 ± 5 | 12 | 0.394 | 11 | 98 ± 9 | 5 | 0.308 |
| R | 8 | 84 ± 5 | 6 | 87 ± 6 | 2 | 77 ± 9 | |||||||
| Height (m) | NR | 17 | 1.66 ± 0.02 | 60 | 0.669 | 6 | 1.66 ± 0.01 | 18 | 1.000 | 11 | 1.66 ± 0.03 | 8 | 0.641 |
| R | 8 | 1.64 ± 0.03 | 6 | 1.65 ± 0.04 | 2 | 1.62 ± 0.05 | |||||||
| Short Physical Performance Battery | NR | 17 | 9 ± 0 | 52.5 | 0.374 | 6 | 9 ± 1 | 21.5 | 0.589 | 11 | 9 ± 0 | 4.5 | 0.231 |
| R | 8 | 9 ± 0 | 6 | 9 ± 0 | 2 | 8 ± 1 | |||||||
| Dynamic Gait Index | NR | 17 | 21 ± 0 | 85 | 0.344 | 6 | 21 ± 1 | 23 | 0.485 | 11 | 21 ± 0 | 5.5 | 0.308 |
| R | 8 | 21 ± 1 | 6 | 22 ± 1 | 2 | 19 ± 3 | |||||||
| Timed Up and Go (s) | NR | 17 | 11.6 ± 0.6 | 42 | 0.562 | 6 | 10.3 ± 1.1 | 11 | 0.914 | 11 | 12.4 ± 0.6 | 10 | 0.923 |
| R | 6 | 10.9 ± 1.1 | 4 | 10.0 ± 1.4 | 2 | 17.7 ± 0.1 | |||||||
| Maximal Oxygen Uptake (mL/kg/min) | NR | 17 | 17.18 ± 1.29 | 60.5 | 0.834 | 6 | 17.05 ± 2.32 | 17.5 | 0.937 | 10 | 17.26 ± 1.63 | 7 | 0.606 |
| R | 8 | 17.31 ± 0.85 | 6 | 17.78 ± 1.07 | 2 | 15.9 ± 0.20 | |||||||
| Gait Efficiency (mL/kg/m) | NR | 17 | 0.27 ± 0.02 | 67.5 | 0.834 | 6 | 0.29 ± 0.04 | 15.5 | 0.699 | 10 | 0.26 ± 0.02 | 8 | 0.758 |
| R | 8 | 0.28 ± 0.02 | 6 | 0.29 ± 0.02 | 2 | 0.25 ± 0.05 | |||||||
| Mini-Mental State Exam | NR | 17 | 28 ± 0 | 53 | 0.406 | 6 | 29 ± 1 | 8.5 | 0.132 | 11 | 28 ± 0 | 12.5 | 0.769 |
| R | 8 | 28 ± 1 | 6 | 27 ± 1 | 2 | 28 ± 2 | |||||||
| Walking Speed (m/s) | NR | 17 | 0.96 ± 0.03 | 52 | 0.374 | 6 | 0.96 ± 0.07 | 16 | 0.818 | 11 | 0.96 ± 0.04 | 6 | 0.410 |
| R | 8 | 0.91 ± 0.04 | 6 | 0.93 ± 0.04 | 2 | 0.86 ± 0.09 | |||||||
| Stride Length (m) | NR | 17 | 1.06 ± 0.03 | 65 | 0.887 | 6 | 1.04 ± 0.07 | 19 | 1.000 | 11 | 1.08 ± 0.04 | 9 | 0.769 |
| R | 8 | 1.06 ± 0.03 | 6 | 1.06 ± 0.04 | 2 | 1.06 ± 0.05 | |||||||
| Stride Time (s) | NR | 17 | 1.12 ± 0.02 | 85 | 0.344 | 6 | 1.09 ± 0.03 | 23 | 0.485 | 11 | 1.14 ± 0.03 | 19 | 0.154 |
| R | 8 | 1.17 ± 0.03 | 6 | 1.14 ± 0.02 | 2 | 1.24 ± 0.07 | |||||||
| Stride Length Variability (m) | NR | 17 | 0.04 ± 0.01 | 94 | 0.140 | 6 | 0.04 ± 0 | 22 | 0.589 | 11 | 0.05 ± 0.01 | 20 | 0.103 |
| R | 8 | 0.05 ± 0 | 6 | 0.04 ± 0 | 2 | 0.05 ± 0.00 | |||||||
| Stride Time Variability (s) | NR | 17 | 0.04 ± 0.01 | 76 | 0.669 | 6 | 0.03 ± 0 | 17 | 0.937 | 11 | 0.04 ± 0.01 | 16 | 0.410 |
| R | 8 | 0.04 ± 0.01 | 6 | 0.03 ± 0 | 2 | 0.05 ± 0.02 | |||||||
| Bolding indicates significance at p < 0.05. | |||||||||||||
References
- Middleton, A.; Fritz, S.L.; Lusardi, M. Walking Speed: The Functional Vital Sign. J. Aging Phys. Act. 2015, 23, 314–322. [Google Scholar] [CrossRef]
- Cesari, M.; Kritchevsky, S.B.; Penninx, B.W.H.J.; Nicklas, B.J.; Simonsick, E.M.; Newman, A.B.; Tylavsky, F.A.; Brach, J.S.; Satterfield, S.; Bauer, D.C.; et al. Prognostic Value of Usual Gait Speed in Well-Functioning Older People—Results from the Health, Aging and Body Composition Study. J. Am. Geriatr. Soc. 2005, 53, 1675–1680. [Google Scholar] [CrossRef]
- Studenski, S. Gait Speed and Survival in Older Adults. JAMA 2011, 305, 50. [Google Scholar] [CrossRef]
- Potter, J.M.; Evans, A.L.; Duncan, G. Gait Speed and Activities of Daily Living Function in Geriatric Patients. Arch. Phys. Med. Rehabil. 1995, 76, 997–999. [Google Scholar] [CrossRef]
- Makizako, H.; Shimada, H.; Doi, T.; Tsutsumimoto, K.; Lee, S.; Hotta, R.; Nakakubo, S.; Harada, K.; Lee, S.; Bae, S.; et al. Cognitive Functioning and Walking Speed in Older Adults as Predictors of Limitations in Self-Reported Instrumental Activity of Daily Living: Prospective Findings from the Obu Study of Health Promotion for the Elderly. Int. J. Environ. Res. Public. Health 2015, 12, 3002–3013. [Google Scholar] [CrossRef] [PubMed]
- Ekström, H.; Dahlin-Ivanoff, S.; Elmståhl, S. Effects of Walking Speed and Results of Timed Get-Up-and-Go Tests on Quality of Life and Social Participation in Elderly Individuals With a History of Osteoporosis-Related Fractures. J. Aging Health 2011, 23, 1379–1399. [Google Scholar] [CrossRef]
- Kohn, C.G.; Baker, W.L.; Sidovar, M.F.; Coleman, C.I. Walking Speed and Health-Related Quality of Life in Multiple Sclerosis. Patient-Patient-Centered Outcomes Res. 2014, 7, 55–61. [Google Scholar] [CrossRef]
- Soumare, A.; Tavernier, B.; Alperovitch, A.; Tzourio, C.; Elbaz, A. A Cross-Sectional and Longitudinal Study of the Relationship Between Walking Speed and Cognitive Function in Community-Dwelling Elderly People. J. Gerontol. A Biol. Sci. Med. Sci. 2009, 64A, 1058–1065. [Google Scholar] [CrossRef]
- McGough, E.L.; Kelly, V.E.; Logsdon, R.G.; McCurry, S.M.; Cochrane, B.B.; Engel, J.M.; Teri, L. Associations Between Physical Performance and Executive Function in Older Adults With Mild Cognitive Impairment: Gait Speed and the Timed “Up & Go” Test. Phys. Ther. 2011, 91, 1198–1207. [Google Scholar] [CrossRef]
- Watson, N.L.; Rosano, C.; Boudreau, R.M.; Simonsick, E.M.; Ferrucci, L.; Sutton-Tyrrell, K.; Hardy, S.E.; Atkinson, H.H.; Yaffe, K.; Satterfield, S.; et al. Executive Function, Memory, and Gait Speed Decline in Well-Functioning Older Adults. J. Gerontol. A Biol. Sci. Med. Sci. 2010, 65A, 1093–1100. [Google Scholar] [CrossRef]
- Rosano, C.; Newman, A.B.; Katz, R.; Hirsch, C.H.; Kuller, L.H. Association Between Lower Digit Symbol Substitution Test Score and Slower Gait and Greater Risk of Mortality and of Developing Incident Disability in Well-Functioning Older Adults: DSST SCORE, MORTALITY, AND DISABILITY. J. Am. Geriatr. Soc. 2008, 56, 1618–1625. [Google Scholar] [CrossRef] [PubMed]
- Kramer, A.F.; Hahn, S.; Cohen, N.J.; Banich, M.T.; McAuley, E.; Harrison, C.R.; Chason, J.; Vakil, E.; Bardell, L.; Boileau, R.A.; et al. Ageing, Fitness and Neurocognitive Function. Nature 1999, 400, 418–419. [Google Scholar] [CrossRef] [PubMed]
- Pahor, M.; Guralnik, J.M.; Ambrosius, W.T.; Blair, S.; Bonds, D.E.; Church, T.S.; Espeland, M.A.; Fielding, R.A.; Gill, T.M.; Groessl, E.J.; et al. Effect of Structured Physical Activity on Prevention of Major Mobility Disability in Older Adults: The LIFE Study Randomized Clinical Trial. JAMA 2014, 311, 2387. [Google Scholar] [CrossRef] [PubMed]
- Pahor, M.; Blair, S.; Espeland, M.A.; Fielding, R.A.; Gill, T.M.; Guralnik, J.M.; Hadley, E.C.; King, A.C.; Kritchevsky, S.; Maraldi, C.; et al. Effects of a Physical Activity Intervention on Measures of Physical Performance: Results of the Lifestyle Interventions and Independence for Elders Pilot (LIFE-P) Study. J. Gerontol. A Biol. Sci. Med. Sci. 2006, 61, 1157–1165. [Google Scholar] [CrossRef]
- Balasubramanian, C.K.; Clark, D.J.; Fox, E.J. Walking Adaptability after a Stroke and Its Assessment in Clinical Settings. Stroke Res. Treat. 2014, 2014, 591013. [Google Scholar] [CrossRef]
- McFadyen, B.J.; Hegeman, J.; Duysens, J. Dual Task Effects for Asymmetric Stepping on a Split-Belt Treadmill. Gait Posture 2009, 30, 340–344. [Google Scholar] [CrossRef]
- Sawers, A.; Kelly, V.E.; Hahn, M.E. Effects of Gradual Versus Sudden Training on the Cognitive Demand Required While Learning a Novel Locomotor Task. J. Mot. Behav. 2013, 45, 405–414. [Google Scholar] [CrossRef]
- Lee, B.-C.; Martin, B.J.; Thrasher, T.A.; Layne, C.S. A New Fall-Inducing Technology Platform: Development and Assessment of a Programmable Split-Belt Treadmill. In Proceedings of the 2017 39th Annual International Conference of the IEEE Engineering in Medicine and Biology Society (EMBC), Jeju Island, Korea, 11–15 July 2017; IEEE: Seogwipo, Korea, 2017; pp. 3777–3780. [Google Scholar]
- Lee, B.-C.; Kim, C.-S.; Seo, K.-H. The Body’s Compensatory Responses to Unpredictable Trip and Slip Perturbations Induced by a Programmable Split-Belt Treadmill. IEEE Trans. Neural Syst. Rehabil. Eng. 2019, 27, 1389–1396. [Google Scholar] [CrossRef]
- Schmidt, R.A.; Lee, T. Motor Control and Learning: A Behavioral Emphasis; Human Kinetics: Champaign, IL, USA, 1999; ISBN 0-880011-484-3. [Google Scholar]
- Sato, S.; Choi, J.T. Neural Control of Human Locomotor Adaptation: Lessons about Changes with Aging. Neuroscientist 2021, 107385842110137. [Google Scholar] [CrossRef]
- Pham, M.H.; Elshehabi, M.; Haertner, L.; Del Din, S.; Srulijes, K.; Heger, T.; Synofzik, M.; Hobert, M.A.; Faber, G.S.; Hansen, C.; et al. Validation of a Step Detection Algorithm during Straight Walking and Turning in Patients with Parkinson’s Disease and Older Adults Using an Inertial Measurement Unit at the Lower Back. Front. Neurol. 2017, 8, 457. [Google Scholar] [CrossRef]
- Thompson, C.K. Complexity in Language Learning and Treatment. Am. J. Speech Lang. Pathol. 2007, 16, 3–5. [Google Scholar] [CrossRef]
- Kleim, J.A.; Barbay, S.; Cooper, N.R.; Hogg, T.M.; Reidel, C.N.; Remple, M.S.; Nudo, R.J. Motor Learning-Dependent Synaptogenesis Is Localized to Functionally Reorganized Motor Cortex. Neurobiol. Learn. Mem. 2002, 77, 63–77. [Google Scholar] [CrossRef] [PubMed]
- Nudo, R.J.; Wise, B.M.; SiFuentes, F.; Milliken, G.W. Neural Substrates for the Effects of Rehabilitative Training on Motor Recovery After Ischemic Infarct. Science 1996, 272, 1791–1794. [Google Scholar] [CrossRef] [PubMed]
- Segal, M.; Andersen, P. Dendritic Spines Shaped by Synaptic Activity. Curr. Opin. Neurobiol. 2000, 10, 582–586. [Google Scholar] [CrossRef]
- Reisman, D.S.; Bastian, A.J.; Morton, S.M. Neurophysiologic and Rehabilitation Insights From the Split-Belt and Other Locomotor Adaptation Paradigms. Phys. Ther. 2010, 90, 187–195. [Google Scholar] [CrossRef] [PubMed]
- Hinton, D.C.; Thiel, A.; Soucy, J.-P.; Bouyer, L.; Paquette, C. Adjusting Gait Step-by-Step: Brain Activation during Split-Belt Treadmill Walking. NeuroImage 2019, 202, 116095. [Google Scholar] [CrossRef] [PubMed]
- Barthélemy, D.; Grey, M.J.; Nielsen, J.B.; Bouyer, L. Chapter 12—Involvement of the Corticospinal Tract in the Control of Human Gait. In Enhancing Performance for Action and Perception; Green, A., Chapman, C.E., Kalaska, J.F., Lepore, F., Eds.; Progress in Brain Research; Elsevier: Amsterdam, The Netherlands, 2011; Volume 192, pp. 181–197. [Google Scholar]
- Clark, D.J.; Manini, T.M.; Fielding, R.A.; Patten, C. Neuromuscular Determinants of Maximum Walking Speed in Well-Functioning Older Adults. Exp. Gerontol. 2013, 48, 358–363. [Google Scholar] [CrossRef] [PubMed]
- Nielsen, J.B. How We Walk: Central Control of Muscle Activity during Human Walking. Neuroscientist 2003, 9, 195–204. [Google Scholar] [CrossRef]
- Kleim, J.A.; Swain, R.A.; Armstrong, K.A.; Napper, R.M.A.; Jones, T.A.; Greenough, W.T. Selective Synaptic Plasticity within the Cerebellar Cortex Following Complex Motor Skill Learning. Neurobiol. Learn. Mem. 1998, 69, 274–289. [Google Scholar] [CrossRef]
- Kleim, J.A.; Pipitone, M.A.; Czerlanis, C.; Greenough, W.T. Structural Stability within the Lateral Cerebellar Nucleus of the Rat Following Complex Motor Learning. Neurobiol. Learn. Mem. 1998, 69, 290–306. [Google Scholar] [CrossRef]
- Kleim, J.A.; Barbay, S.; Nudo, R.J. Functional Reorganization of the Rat Motor Cortex Following Motor Skill Learning. J. Neurophysiol. 1998, 80, 3321–3325. [Google Scholar] [CrossRef]
- Kleim, J.A. Cortical Synaptogenesis and Motor Map Reorganization Occur during Late, But Not Early, Phase of Motor Skill Learning. J. Neurosci. 2004, 24, 628–633. [Google Scholar] [CrossRef]
- Guo, C.C.; Raymond, J.L. Motor Learning Reduces Eye Movement Variability through Reweighting of Sensory Inputs. J. Neurosci. 2010, 30, 16241–16248. [Google Scholar] [CrossRef][Green Version]
- Bastian, A.J. Understanding Sensorimotor Adaptation and Learning for Rehabilitation. Curr. Opin. Neurol. 2008, 21, 628–633. [Google Scholar] [CrossRef]
- Jayaram, G.; Galea, J.M.; Bastian, A.J.; Celnik, P. Human Locomotor Adaptive Learning Is Proportional to Depression of Cerebellar Excitability. Cereb. Cortex 2011, 21, 1901–1909. [Google Scholar] [CrossRef]
- Krienen, F.M.; Buckner, R.L. Segregated Fronto-Cerebellar Circuits Revealed by Intrinsic Functional Connectivity. Cereb. Cortex 2009, 19, 2485–2497. [Google Scholar] [CrossRef]
- Adkins, D.L.; Boychuk, J.; Remple, M.S.; Kleim, J.A. Motor Training Induces Experience-Specific Patterns of Plasticity across Motor Cortex and Spinal Cord. J. Appl. Physiol. 2006, 101, 1776–1782. [Google Scholar] [CrossRef]
- Hugenschmidt, C.E.; Burdette, J.H.; Morgan, A.R.; Williamson, J.D.; Kritchevsky, S.B.; Laurienti, P.J. Graph Theory Analysis of Functional Brain Networks and Mobility Disability in Older Adults. J. Gerontol. A Biol. Sci. Med. Sci. 2014, 69, 1399–1406. [Google Scholar] [CrossRef][Green Version]
- Blumen, H.M.; Brown, L.L.; Habeck, C.; Allali, G.; Ayers, E.; Beauchet, O.; Callisaya, M.; Lipton, R.B.; Mathuranath, P.S.; Phan, T.G.; et al. Gray Matter Volume Covariance Patterns Associated with Gait Speed in Older Adults: A Multi-Cohort MRI Study. Brain Imaging Behav. 2019, 13, 446–460. [Google Scholar] [CrossRef]
- Rosano, C.; Studenski, S.A.; Aizenstein, H.J.; Boudreau, R.M.; Longstreth, W.T.; Newman, A.B. Slower Gait, Slower Information Processing and Smaller Prefrontal Area in Older Adults. Age Ageing 2012, 41, 58–64. [Google Scholar] [CrossRef]
- Dietz, V.; Zijlstra, W.; Duysens, J. Human Neuronal Interlimb Coordination during Split-Belt Locomotion. Exp. Brain Res. 1994, 101, 513–520. [Google Scholar] [CrossRef] [PubMed]
- Roemmich, R.T.; Nocera, J.R.; Vallabhajosula, S.; Amano, S.; Naugle, K.M.; Stegemöller, E.L.; Hass, C.J. Spatiotemporal Variability during Gait Initiation in Parkinson’s Disease. Gait Posture 2012, 36, 340–343. [Google Scholar] [CrossRef]
- Bhatt, T.; Yang, F.; Pai, Y.-C. Learning from Falling: Retention of Fall-Resisting Behavior Derived from One Episode of Laboratory-Induced Slip Training. J. Am. Geriatr. Soc. 2011, 59, 2392–2393. [Google Scholar] [CrossRef] [PubMed]
- Grabiner, M.D.; Bareither, M.L.; Gatts, S.; Marone, J.; Troy, K.L. Task-Specific Training Reduces Trip-Related Fall Risk in Women. Med. Sci. Sports Exerc. 2012, 44, 2410–2414. [Google Scholar] [CrossRef] [PubMed]
- Rosenblatt, N.J.; Marone, J.; Grabiner, M.D. Preventing Trip-Related Falls by Community-Dwelling Adults: A Prospective Study. J. Am. Geriatr. Soc. 2013, 61, 1629–1631. [Google Scholar] [CrossRef]
- Yang, F.; Bhatt, T.; Pai, Y.-C. Generalization of Treadmill-Slip Training to Prevent a Fall Following a Sudden (Novel) Slip in over-Ground Walking. J. Biomech. 2013, 46, 63–69. [Google Scholar] [CrossRef]
- Bhatt, T.; Pai, Y.-C. Prevention of Slip-Related Backward Balance Loss: The Effect of Session Intensity and Frequency on Long-Term Retention. Arch. Phys. Med. Rehabil. 2009, 90, 34–42. [Google Scholar] [CrossRef]
- Ogawa, T.; Kawashima, N.; Ogata, T.; Nakazawa, K. Predictive Control of Ankle Stiffness at Heel Contact Is a Key Element of Locomotor Adaptation during Split-Belt Treadmill Walking in Humans. J. Neurophysiol. 2014, 111, 722–732. [Google Scholar] [CrossRef]
- Rhea, C.K.; Wutzke, C.J.; Lewek, M.D. Gait Dynamics Following Variable and Constant Speed Gait Training in Individuals with Chronic Stroke. Gait Posture 2012, 36, 332–334. [Google Scholar] [CrossRef]
- Stewart, A.L.; Mills, K.M.; King, A.C.; Haskell, W.L.; Gillis, D.; Ritter, P.L. CHAMPS Physical Activity Questionnaire for Older Adults: Outcomes for Interventions. Med. Sci. Sports Exerc. 2001, 37, 1126–1141. [Google Scholar] [CrossRef]
- Crum, R.M.; Anthony, J.C.; Bassett, S.S.; Folstein, M.F. Population-Based Norms for the Mini-Mental State Examination by Age and Educational Level. JAMA 1993, 269, 2386–2391. [Google Scholar] [CrossRef]
- Paul, S.S.; Canning, C.G.; Sherrington, C.; Lord, S.R.; Close, J.C.T.; Fung, V.S.C. Three Simple Clinical Tests to Accurately Predict Falls in People with Parkinson’s Disease: Fall Predictors in PD. Mov. Disord. 2013, 28, 655–662. [Google Scholar] [CrossRef] [PubMed]
- Abellan Van Kan, G.; Rolland, Y.; Andrieu, S.; Bauer, J.; Beauchet, O.; Bonnefoy, M.; Cesari, M.; Donini, L.M.; Gillette-Guyonnet, S.; Inzitari, M.; et al. Gait Speed at Usual Pace as a Predictor of Adverse Outcomes in Community-Dwelling Older People an International Academy on Nutrition and Aging (IANA) Task Force. J. Nutr. Health Aging 2009, 13, 881–889. [Google Scholar] [CrossRef] [PubMed]
- Perera, S.; Mody, S.H.; Woodman, R.C.; Studenski, S.A. Meaningful Change and Responsiveness in Common Physical Performance Measures in Older Adults: MEANINGFUL CHANGE AND PERFORMANCE. J. Am. Geriatr. Soc. 2006, 54, 743–749. [Google Scholar] [CrossRef] [PubMed]
- Halaweh, H.; Willen, C.; Grimby-Ekman, A.; Svantesson, U. Physical Functioning and Fall-Related Efficacy among Community-Dwelling Elderly People. Eur. J. Physiother. 2016, 18, 11–17. [Google Scholar] [CrossRef][Green Version]
- Shumway-Cook, A.; Taylor, C.S.; Matsuda, P.N.; Studer, M.T.; Whetten, B.K. Expanding the Scoring System for the Dynamic Gait Index. Phys. Ther. 2013, 93, 1493–1506. [Google Scholar] [CrossRef] [PubMed]
- Podsiadlo, D.; Richardson, S. The Timed “Up & Go”: A Test of Basic Functional Mobility for Frail Elderly Persons. J. Am. Geriatr. Soc. 1991, 39, 142–148. [Google Scholar] [CrossRef]
- Huppert, F.A.; Cabelli, S.T.; Matthews, F.E. Brief Cognitive Assessment in a UK Population Sample—Distributional Properties and the Relationship between the MMSE and an Extended Mental State Examination. BMC Geriatr. 2005, 5, 7. [Google Scholar] [CrossRef]
- Folstein, M.F.; Folstein, S.E.; McHugh, P.R. “Mini-Mental State”: A Practical Method for Grading the Cognitive State of Patients for the Clinician. J. Psychiatr. Res. 1975, 12, 189–198. [Google Scholar] [CrossRef]
- Salthouse, T.A. What Cognitive Abilities Are Involved in Trail-Making Performance? Intelligence 2011, 39, 222–232. [Google Scholar] [CrossRef]
- Llinàs-Reglà, J.; Vilalta-Franch, J.; López-Pousa, S.; Calvó-Perxas, L.; Torrents Rodas, D.; Garre-Olmo, J. The Trail Making Test: Association With Other Neuropsychological Measures and Normative Values for Adults Aged 55 Years and Older From a Spanish-Speaking Population-Based Sample. Assessment 2017, 24, 183–196. [Google Scholar] [CrossRef] [PubMed]
- Sánchez-Cubillo, I.; Periáñez, J.A.; Adrover-Roig, D.; Rodríguez-Sánchez, J.M.; Ríos-Lago, M.; Tirapu, J.; Barceló, F. Construct Validity of the Trail Making Test: Role of Task-Switching, Working Memory, Inhibition/Interference Control, and Visuomotor Abilities. J. Int. Neuropsychol. Soc. 2009, 15, 438–450. [Google Scholar] [CrossRef] [PubMed]
- Bowie, C.R.; Harvey, P.D. Administration and Interpretation of the Trail Making Test. Nat. Protoc. 2006, 1, 2277–2281. [Google Scholar] [CrossRef] [PubMed]
- Winter, D.A. Biomechanics and Motor Control of Human Movement, 4th ed.; John Wily & Sons: Hoboken, NJ, USA, 2009; ISBN 978-0-470-39818-0. [Google Scholar]
- Winter, D.A.; Patla, A.E.; Frank, J.S.; Walt, S.E. Biomechanical Walking Pattern Changes in the Fit and Healthy Elderly. Phys. Ther. 1990, 70, 340–347. [Google Scholar] [CrossRef]
- Godin, G.; Jobin, J.; Bouillon, J. Assessment of Leisure Time Exercise Behavior by Self-Report: A Concurrent Validity Study. Can. J. Public Health. 1986, 77, 18–22. [Google Scholar] [CrossRef]
- Mazzeo, R.S.; Cavanagh, P.; Evans, W.J.; Fiatarone, M.; Hagberg, J.; McAuley, E.; Startzell, J. Exercise and Physical Activity for Older Adults. Med. Sci. Sports Exerc. 1998, 30, 992–1008. [Google Scholar]
- Borg, G. Borg’s Perceived Exertion and Pain Scales; Human Kinetics: Champaign, IL, USA, 1998; ISBN 0-88011-623-4. Available online: https://psycnet.apa.org/record/1998-07179-000 (accessed on 31 July 2022).
- Yokoyama, H.; Sato, K.; Ogawa, T.; Yamamoto, S.-I.; Nakazawa, K.; Kawashima, N. Characteristics of the Gait Adaptation Process Due to Split-Belt Treadmill Walking under a Wide Range of Right-Left Speed Ratios in Humans. PLoS ONE 2018, 13, e0194875. [Google Scholar] [CrossRef]
- Roemmich, R.T.; Fregly, B.J.; Hass, C.J. Neuromuscular Complexity during Gait Is Not Responsive to Medication in Persons with Parkinson’s Disease. Ann. Biomed. Eng. 2014, 42, 1901–1912. [Google Scholar] [CrossRef]
- Bruijn, S.M.; Van Impe, A.; Duysens, J.; Swinnen, S.P. Split-Belt Walking: Adaptation Differences between Young and Older Adults. J. Neurophysiol. 2012, 108, 1149–1157. [Google Scholar] [CrossRef]
- Roemmich, R.T.; Bastian, A.J. Two Ways to Save a Newly Learned Motor Pattern. J. Neurophysiol. 2015, 113, 3519–3530. [Google Scholar] [CrossRef]
- Hinkel-Lipsker, J.W.; Hahn, M.E. The Effects of Variable Practice on Locomotor Adaptation to a Novel Asymmetric Gait. Exp. Brain Res. 2017, 235, 2829–2841. [Google Scholar] [CrossRef] [PubMed]
- Lee, A.; Bhatt, T.; Liu, X.; Wang, Y.; Pai, Y.-C. Can Higher Training Practice Dosage with Treadmill Slip-Perturbation Necessarily Reduce Risk of Falls Following Overground Slip? Gait Posture 2018, 61, 387–392. [Google Scholar] [CrossRef] [PubMed]
- Peters, M. Footedness: Asymmetries in Foot Preference and Skill and Neuropsychological Assessment of Foot Movement. Psychol. Bull. 1988, 103, 179–192. [Google Scholar] [CrossRef] [PubMed]
- Cohen, J. Statistical Power Analysis for the Behavioral Sciences; Routledge Academic: New York, NY, USA, 1988. [Google Scholar]
- Corrà, U.; Mezzani, A.; Bosimini, E.; Giannuzzi, P. Prognostic Value of Time-Related Changes of Cardiopulmonary Exercise Testing Indices in Stable Chronic Heart Failure: A Pragmatic and Operative Scheme. Eur. J. Cardiovasc. Prev. Rehabil. 2006, 13, 186–192. [Google Scholar] [CrossRef] [PubMed]
- Alexander, N.B.; Dengel, D.R.; Olson, R.J.; Krajewski, K.M. Oxygen-Uptake (VO2) Kinetics and Functional Mobility Performance in Impaired Older Adults. J. Gerontol. A Biol. Sci. Med. Sci. 2003, 58, M734–M739. [Google Scholar] [CrossRef] [PubMed]
- VanSwearingen, J.M.; Perera, S.; Brach, J.S.; Wert, D.; Studenski, S.A. Impact of Exercise to Improve Gait Efficiency on Activity and Participation in Older Adults With Mobility Limitations: A Randomized Controlled Trial. Phys. Ther. 2011, 91, 1740–1751. [Google Scholar] [CrossRef] [PubMed]
- Bishnoi, A.; Lee, R.; Hu, Y.; Mahoney, J.R.; Hernandez, M.E. Effect of Treadmill Training Interventions on Spatiotemporal Gait Parameters in Older Adults with Neurological Disorders: Systematic Review and Meta-Analysis of Randomized Controlled Trials. Int. J. Environ. Res. Public. Health 2022, 19, 2824. [Google Scholar] [CrossRef] [PubMed]
- Bohannon, R.W.; Glenney, S.S. Minimal Clinically Important Difference for Change in Comfortable Gait Speed of Adults with Pathology: A Systematic Review: Review: Gait Speed Responsiveness. J. Eval. Clin. Pract. 2014, 20, 295–300. [Google Scholar] [CrossRef]
- Jerome, G.J.; Ko, S.; Kauffman, D.; Studenski, S.A.; Ferrucci, L.; Simonsick, E.M. Gait Characteristics Associated with Walking Speed Decline in Older Adults: Results from the Baltimore Longitudinal Study of Aging. Arch. Gerontol. Geriatr. 2015, 60, 239–243. [Google Scholar] [CrossRef]
- Oh-Park, M.; Holtzer, R.; Mahoney, J.; Wang, C.; Verghese, J. Effect of Treadmill Training on Specific Gait Parameters in Older Adults With Frailty: Case Series. J. Geriatr. Phys. Ther. 2011, 34, 184–188. [Google Scholar] [CrossRef]
- Pereira, N.M.; Araya, M.J.P.M.; Scheicher, M.E. Effectiveness of a Treadmill Training Programme in Improving the Postural Balance on Institutionalized Older Adults. J. Aging Res. 2020, 2020, 1–7. [Google Scholar] [CrossRef] [PubMed]
- Mirelman, A.; Rochester, L.; Maidan, I.; Del Din, S.; Alcock, L.; Nieuwhof, F.; Rikkert, M.O.; Bloem, B.R.; Pelosin, E.; Avanzino, L.; et al. Addition of a Non-Immersive Virtual Reality Component to Treadmill Training to Reduce Fall Risk in Older Adults (V-TIME): A Randomised Controlled Trial. Lancet 2016, 388, 1170–1182. [Google Scholar] [CrossRef]
- Klamroth, S.; Gaßner, H.; Winkler, J.; Eskofier, B.; Klucken, J.; Pfeifer, K.; Steib, S. Interindividual Balance Adaptations in Response to Perturbation Treadmill Training in Persons With Parkinson Disease. J. Neurol. Phys. Ther. 2019, 43, 224–232. [Google Scholar] [CrossRef]
- Fairhall, N.; Sherrington, C.; Kurrle, S.E.; Lord, S.R.; Lockwood, K.; Cameron, I.D. Effect of a Multifactorial Interdisciplinary Intervention on Mobility-Related Disability in Frail Older People: Randomised Controlled Trial. BMC Med. 2012, 10, 120. [Google Scholar] [CrossRef] [PubMed]
- Fukuchi, C.A.; Fukuchi, R.K.; Duarte, M. Effects of Walking Speed on Gait Biomechanics in Healthy Participants: A Systematic Review and Meta-Analysis. Syst. Rev. 2019, 8, 153. [Google Scholar] [CrossRef] [PubMed]
- Hebenstreit, F.; Leibold, A.; Krinner, S.; Welsch, G.; Lochmann, M.; Eskofier, B.M. Effect of Walking Speed on Gait Sub Phase Durations. Hum. Mov. Sci. 2015, 43, 118–124. [Google Scholar] [CrossRef] [PubMed]
- van Iersel, M.B.; Munneke, M.; Esselink, R.A.J.; Benraad, C.E.M.; Olde Rikkert, M.G.M. Gait Velocity and the Timed-Up-and-Go Test Were Sensitive to Changes in Mobility in Frail Elderly Patients. J. Clin. Epidemiol. 2008, 61, 186–191. [Google Scholar] [CrossRef]
- Chui, K.; Hood, E.; Klima, D. Meaningful Change in Walking Speed. Top. Geriatr. Rehabil. 2012, 28, 97–103. [Google Scholar] [CrossRef]
- Steffen, T.M.; Hacker, T.A.; Mollinger, L. Age- and Gender-Related Test Performance in Community-Dwelling Elderly People: Six-Minute Walk Test, Berg Balance Scale, Timed Up & Go Test, and Gait Speeds. Phys. Ther. 2002, 82, 128–137. [Google Scholar] [CrossRef]
- Balasubramanian, C.K. The Community Balance and Mobility Scale Alleviates the Ceiling Effects Observed in the Currently Used Gait and Balance Assessments for the Community-Dwelling Older Adults. J. Geriatr. Phys. Ther. 2015, 38, 78–89. [Google Scholar] [CrossRef]
- Baudendistel, S.T.; Schmitt, A.C.; Stone, A.E.; Raffegeau, T.E.; Roper, J.A.; Hass, C.J. Faster or Longer Steps: Maintaining Fast Walking in Older Adults at Risk for Mobility Disability. Gait Posture 2021, 89, 86–91. [Google Scholar] [CrossRef] [PubMed]
- Courtine, G.; Schieppati, M. Human Walking along a Curved Path. I. Body Trajectory, Segment Orientation and the Effect of Vision. Eur. J. Neurosci. 2003, 18, 177–190. [Google Scholar] [CrossRef]
- Courtine, G.; Schieppati, M. Human Walking along a Curved Path. II. Gait Features and EMG Patterns. Eur. J. Neurosci. 2003, 18, 191–205. [Google Scholar] [CrossRef]
- Orendurff, M.S.; Segal, A.D.; Berge, J.S.; Flick, K.C.; Spanier, D.; Klute, G.K. The Kinematics and Kinetics of Turning: Limb Asymmetries Associated with Walking a Circular Path. Gait Posture 2006, 23, 106–111. [Google Scholar] [CrossRef]
- Stuart, S.; Morris, R.; Giritharan, A.; Quinn, J.; Nutt, J.G.; Mancini, M. Prefrontal Cortex Activity and Gait in Parkinson’s Disease With Cholinergic and Dopaminergic Therapy. Mov. Disord. 2020, 35, 2019–2027. [Google Scholar] [CrossRef]
- Lin, M.-R.; Hwang, H.-F.; Hu, M.-H.; Wu, H.-D.I.; Wang, Y.-W.; Huang, F.-C. Psychometric Comparisons of the Timed Up and Go, One-Leg Stand, Functional Reach, and Tinetti Balance Measures in Community-Dwelling Older People. J. Am. Geriatr. Soc. 2004, 52, 1343–1348. [Google Scholar] [CrossRef] [PubMed]
- Weinstein, A.M.; Voss, M.W.; Prakash, R.S.; Chaddock, L.; Szabo, A.; White, S.M.; Wojcicki, T.R.; Mailey, E.; McAuley, E.; Kramer, A.F.; et al. The Association between Aerobic Fitness and Executive Function Is Mediated by Prefrontal Cortex Volume. Brain. Behav. Immun. 2012, 26, 811–819. [Google Scholar] [CrossRef]
- van Sloten, T.T.; Protogerou, A.D.; Henry, R.M.A.; Schram, M.T.; Launer, L.J.; Stehouwer, C.D.A. Association between Arterial Stiffness, Cerebral Small Vessel Disease and Cognitive Impairment: A Systematic Review and Meta-Analysis. Neurosci. Biobehav. Rev. 2015, 53, 121–130. [Google Scholar] [CrossRef]
- Roper, J.A.; Stone, A.E.; Raffegeau, T.E.; Terza, M.J.; Altmann, L.J.; Hass, C.J. Higher Relative Effort of the Knee Relates to Faster Adaptation in Older Adults at Risk for Mobility Disability. Exp. Gerontol. 2021, 144, 111192. [Google Scholar] [CrossRef]
- Hinton, D.C.; Conradsson, D.M.; Paquette, C. Understanding Human Neural Control of Short-Term Gait Adaptation to the Split-Belt Treadmill. Neuroscience 2020, 451, 36–50. [Google Scholar] [CrossRef]
- Funahashi, S.; Andreau, J.M. Prefrontal Cortex and Neural Mechanisms of Executive Function. J. Physiol.-Paris 2013, 107, 471–482. [Google Scholar] [CrossRef] [PubMed]
- Vasudevan, E.V.L.; Hamzey, R.J.; Kirk, E.M. Using a Split-Belt Treadmill to Evaluate Generalization of Human Locomotor Adaptation. J. Vis. Exp. 2017, 126, 55424. [Google Scholar] [CrossRef] [PubMed]
- Mancini, M.; El-Gohary, M.; Pearson, S.; McNames, J.; Schlueter, H.; Nutt, J.G.; King, L.A.; Horak, F.B. Continuous Monitoring of Turning in Parkinson’s Disease: Rehabilitation Potential. NeuroRehabilitation 2015, 37, 3–10. [Google Scholar] [CrossRef] [PubMed]
- Berg, W.P.; Alessio, H.M.; Mills, E.M.; Tong, C. Circumstances and Consequences of Falls in Independent Community-Dwelling Older Adults. Age Ageing 1997, 26, 261–268. [Google Scholar] [CrossRef] [PubMed]
- Li, W.; Keegan, T.H.M.; Sternfeld, B.; Sidney, S.; Quesenberry, C.P.; Kelsey, J.L. Outdoor Falls Among Middle-Aged and Older Adults: A Neglected Public Health Problem. Am. J. Public Health 2006, 96, 1192–1200. [Google Scholar] [CrossRef]
- Forner Cordero, A.; Koopman, H.F.J.M.; van der Helm, F.C.T. Multiple-Step Strategies to Recover from Stumbling Perturbations. Gait Posture 2003, 18, 47–59. [Google Scholar] [CrossRef]
- McCrum, C.; Karamanidis, K.; Grevendonk, L.; Zijlstra, W.; Meijer, K. Older Adults Demonstrate Interlimb Transfer of Reactive Gait Adaptations to Repeated Unpredictable Gait Perturbations. GeroScience 2020, 42, 39–49. [Google Scholar] [CrossRef]
- Reisman, D.S.; McLean, H.; Keller, J.; Danks, K.A.; Bastian, A.J. Repeated Split-Belt Treadmill Training Improves Poststroke Step Length Asymmetry. Neurorehabil. Neural Repair 2013, 27, 460–468. [Google Scholar] [CrossRef]
- Seuthe, J.; D’Cruz, N.; Ginis, P.; Becktepe, J.S.; Weisser, B.; Nieuwboer, A.; Schlenstedt, C. The Effect of One Session Split-Belt Treadmill Training on Gait Adaptation in People With Parkinson’s Disease and Freezing of Gait. Neurorehabil. Neural Repair 2020, 34, 954–963. [Google Scholar] [CrossRef]
- Nanhoe-Mahabier, W.; Snijders, A.H.; Delval, A.; Weerdesteyn, V.; Duysens, J.; Overeem, S.; Bloem, B.R. Split-Belt Locomotion in Parkinson’s Disease with and without Freezing of Gait. Neuroscience 2013, 236, 110–116. [Google Scholar] [CrossRef]
- Betschart, M.; McFadyen, B.J.; Nadeau, S. Repeated Split-Belt Treadmill Walking Improved Gait Ability in Individuals with Chronic Stroke: A Pilot Study. Physiother. Theory Pract. 2018, 34, 81–90. [Google Scholar] [CrossRef] [PubMed]
- Lewek, M.D.; Braun, C.H.; Wutzke, C.; Giuliani, C. The Role of Movement Errors in Modifying Spatiotemporal Gait Asymmetry Post Stroke: A Randomized Controlled Trial. Clin. Rehabil. 2018, 32, 161–172. [Google Scholar] [CrossRef] [PubMed]
- Reisman, D.S.; Wityk, R.; Silver, K.; Bastian, A.J. Split-Belt Treadmill Adaptation Transfers to Overground Walking in Persons Poststroke. Neurorehabil. Neural Repair 2009, 23, 735–744. [Google Scholar] [CrossRef] [PubMed]
- Latash, E.M.; Lecomte, C.G.; Danner, S.M.; Frigon, A.; Rybak, I.A.; Molkov, Y.I. On the Organization of the Locomotor CPG: Insights From Split-Belt Locomotion and Mathematical Modeling. Front. Neurosci. 2020, 14, 598888. [Google Scholar] [CrossRef]
- Holtzer, R.; Epstein, N.; Mahoney, J.R.; Izzetoglu, M.; Blumen, H.M. Neuroimaging of Mobility in Aging: A Targeted Review. J. Gerontol. A Biol. Sci. Med. Sci. 2014, 69, 1375–1388. [Google Scholar] [CrossRef]
- Bolton, D.A.E.; Williams, L.; Staines, W.R.; McIlroy, W.E. Contribution of Primary Motor Cortex to Compensatory Balance Reactions. BMC Neurosci. 2012, 13, 102. [Google Scholar] [CrossRef] [PubMed]
- Gothe, N.P.; Fanning, J.; Awick, E.; Chung, D.; Wójcicki, T.R.; Olson, E.A.; Mullen, S.P.; Voss, M.; Erickson, K.I.; Kramer, A.F.; et al. Executive Function Processes Predict Mobility Outcomes in Older Adults. J. Am. Geriatr. Soc. 2014, 62, 285–290. [Google Scholar] [CrossRef] [PubMed]
- Liu-Ambrose, T.; Pang, M.Y.C.; Eng, J.J. Executive Function Is Independently Associated with Performances of Balance and Mobility in Community-Dwelling Older Adults after Mild Stroke: Implications for Falls Prevention. Cerebrovasc. Dis. 2007, 23, 203–210. [Google Scholar] [CrossRef]







| Group | n | Age (y) | Mass (kg) | Height (m) | MMSE (Max Score: 30) | SPPB (Max Score: 12) | Walking Speed (m/s) | VO2max (mL/kg/min) |
|---|---|---|---|---|---|---|---|---|
| Control | 2 M 11 F | 73 ± 1 | 77.68 ± 4.91 | 1.66 ± 0.03 | 27.67 ± 0.50 | 8.92 ± 0.41 | 1.01 ± 0.04 | 15.15 ± 1.28 |
| Traditional | 4 M 8 F | 73 ± 1 | 90.49 ± 4.01 | 1.65 ± 0.02 | 28.33 ± 0.52 | 8.44 ± 0.47 | 0.94 ± 0.04 | 17.42 ± 1.23 |
| Split-belt | 4 M 9 F | 71 ± 1 | 94.60 ± 8.04 | 1.65 ± 0.03 | 27.85 ± 0.48 | 9.08 ± 0.41 | 0.94 ± 0.04 | 17.03 ± 1.23 |
| Week | Group | Treadmill Speed (m/s) | Individual Treadmill Belt Speed (m/s) | Target HR (bpm) | Average HR (bpm) | Percentage from Target (%) | RPE |
|---|---|---|---|---|---|---|---|
| Week 4 | Traditional | 0.7 ± 0.0 [0.5, 0.9] | 96 ± 1 [91, 101] | 98 ± 2 [88, 113] | 2 ± 1 [−3, 12] | 2 ± 0 [1, 3] | |
| Split-belt | 0.7 ± 0.1 [0.4, 1.2] | D: 0.7 ± 0.1 [0.4, 1.3] ND: 0.7 ± 0.1 [0.4, 1.1] | 97 ± 1 [92, 101] | 93 ± 2 [81, 111] | −4 ± 2 [−18, 12] | 2 ± 0 [1, 5] | |
| Week 8 | Traditional | 1.0 ± 0.1 [0.6, 1.3] | 110 ± 1 [105, 116] | 109 ± 1 [103, 114] | −1 ± 1 [−4, 7] | 3 ± 0 [2, 5] | |
| Split-belt | 0.9 ± 0.1 [0.4, 1.1] | D: 0.8 ± 0.1 [0.4, 1.1] ND: 0.9 ± 0.1 [0.4, 1.2] | 111 ± 1 [102, 116] | 99 ± 2 [82, 111] | −11 ± 2 [−28, −3] | 3 ± 0 [1, 6] | |
| Week 12 | Traditional | 1.1 ± 0.1 [0.7, 1.3] | 110 ± 1 [105, 116] | 109 ± 1 [102, 116] | −2 ± 1 [−5, 2] | 3 ± 0 [2, 5] | |
| Split-belt | 0.8 ± 0.1 [0.4, 1.1] | D: 0.8 ± 0.1 [0.4, 1.1] ND: 0.9 ± 0.1 [0.4, 1.2] | 111 ± 1 [102, 116] | 98 ± 3 [82, 114] | −12 ± 2 [−28, 1] | 3 ± 0 [1, 7] | |
| Week 16 | Traditional | 1.1 ± 0.1 [0.6, 1.3] | 110 ± 1 [105, 116] | 109 ± 1 [104, 115] | −1 ± 1 [−7, 1] | 3 ± 0 [2, 5] | |
| Split-belt | 0.8 ± 0.1 [0.4, 1.1] | D: 0.8 ± 0.1 [0.4, 1.1] ND:0.9 ± 0.1 [0.4, 1.2] | 112 ± 1 [106, 116] | 97 ± 3 [83, 110] | −13 ± 2 [−28, −3] | 3 ± 0 [1, 7] |
| Measure | Group | Time | Mean ± SE | Variability Mean ± SE |
|---|---|---|---|---|
| Speed (m/s) | Control | Pre | 1.01 ± 0.04 | 0.046 ± 0.004 |
| Post | 1.04 ± 0.05 | 0.052 ± 0.003 | ||
| Traditional | Pre | 0.94 ± 0.04 * | 0.049 ± 0.004 | |
| Post | 1.02 ± 0.05 * | 0.044 ± 0.004 | ||
| Split-Belt | Pre | 0.94 ± 0.04 | 0.047 ± 0.004 | |
| Post | 0.92 ± 0.06 | 0.042 ± 0.003 | ||
| Cadence (steps/min) | Control | Pre | 112 ± 3 | 3.1 ± 0.2 |
| Post | 114 ± 3 | 3.5 ± 0.2 | ||
| Traditional | Pre | 108 ± 3 | 3.1 ± 0.3 | |
| Post | 110 ± 3 | 2.9 ± 0.3 | ||
| Split-Belt | Pre | 105 ± 3 | 3.4 ± 0.3 | |
| Post | 105 ± 3 | 3.2 ± 0.3 | ||
| Stride Length (m) | Control | Pre | 1.08 ± 0.03 | 0.035 ± 0.003 |
| Post | 1.09 ± 0.04 | 0.041 ± 0.004 | ||
| Traditional | Pre | 1.05 ± 0.04 * | 0.042 ± 0.003 | |
| Post | 1.11 ± 0.04 * | 0.034 ± 0.004 | ||
| Split-Belt | Pre | 1.08 ± 0.03 | 0.039 ± 0.003 | |
| Post | 1.06 ± 0.04 | 0.033 ± 0.004 | ||
| Stride Time (s) | Control | Pre | 1.08 ± 0.03 | 0.031 ± 0.004 |
| Post | 1.07 ± 0.03 | 0.034 ± 0.004 | ||
| Traditional | Pre | 1.11 ± 0.03 | 0.032 ± 0.004 | |
| Post | 1.10 ± 0.03 | 0.029 ± 0.004 | ||
| Split-Belt | Pre | 1.15 ± 0.03 | 0.038 ± 0.004 | |
| Post | 1.16 ± 0.03 | 0.034 ± 0.004 | ||
| Step Width (m) | Control | Pre | 0.098 ± 0.010 | 0.026 ± 0.002 |
| Post | 0.097 ± 0.010 | 0.029 ± 0.002 | ||
| Traditional | Pre | 0.095 ± 0.010 | 0.029 ± 0.002 | |
| Post | 0.099 ± 0.010 | 0.027 ± 0.002 | ||
| Split-Belt | Pre | 0.104 ± 0.010 * | 0.028 ± 0.002 | |
| Post | 0.121 ± 0.010 * | 0.029 ± 0.002 | ||
| Stance Time (% gait cycle) | Control | Pre | 63.4 ± 0.5 | 1.46 ± 0.11 |
| Post | 63.1 ± 0.6 | 1.36 ± 0.10 | ||
| Traditional | Pre | 64.6 ± 0.5 | 1.66 ± 0.12 | |
| Post | 64.1 ± 0.7 | 1.42 ± 0.11 | ||
| Split-Belt | Pre | 64.9 ± 0.5 | 1.49 ± 0.11 | |
| Post | 64.8 ± 0.6 | 1.39 ± 0.11 |
Publisher’s Note: MDPI stays neutral with regard to jurisdictional claims in published maps and institutional affiliations. |
© 2022 by the authors. Licensee MDPI, Basel, Switzerland. This article is an open access article distributed under the terms and conditions of the Creative Commons Attribution (CC BY) license (https://creativecommons.org/licenses/by/4.0/).
Share and Cite
Wade, F.; Baudendistel, S.; Stone, A.; Roper, J.; Raffegeau, T.; Terza, M.; Hass, C. Locomotor Adaptation Training to Prevent Mobility Disability. Biomechanics 2022, 2, 395-420. https://doi.org/10.3390/biomechanics2030031
Wade F, Baudendistel S, Stone A, Roper J, Raffegeau T, Terza M, Hass C. Locomotor Adaptation Training to Prevent Mobility Disability. Biomechanics. 2022; 2(3):395-420. https://doi.org/10.3390/biomechanics2030031
Chicago/Turabian StyleWade, Francesca, Sidney Baudendistel, Amanda Stone, Jaimie Roper, Tiphanie Raffegeau, Matthew Terza, and Chris Hass. 2022. "Locomotor Adaptation Training to Prevent Mobility Disability" Biomechanics 2, no. 3: 395-420. https://doi.org/10.3390/biomechanics2030031
APA StyleWade, F., Baudendistel, S., Stone, A., Roper, J., Raffegeau, T., Terza, M., & Hass, C. (2022). Locomotor Adaptation Training to Prevent Mobility Disability. Biomechanics, 2(3), 395-420. https://doi.org/10.3390/biomechanics2030031

