Ageladine A, a Bromopyrrole Alkaloid from the Marine Sponge Agelas nakamurai
Abstract
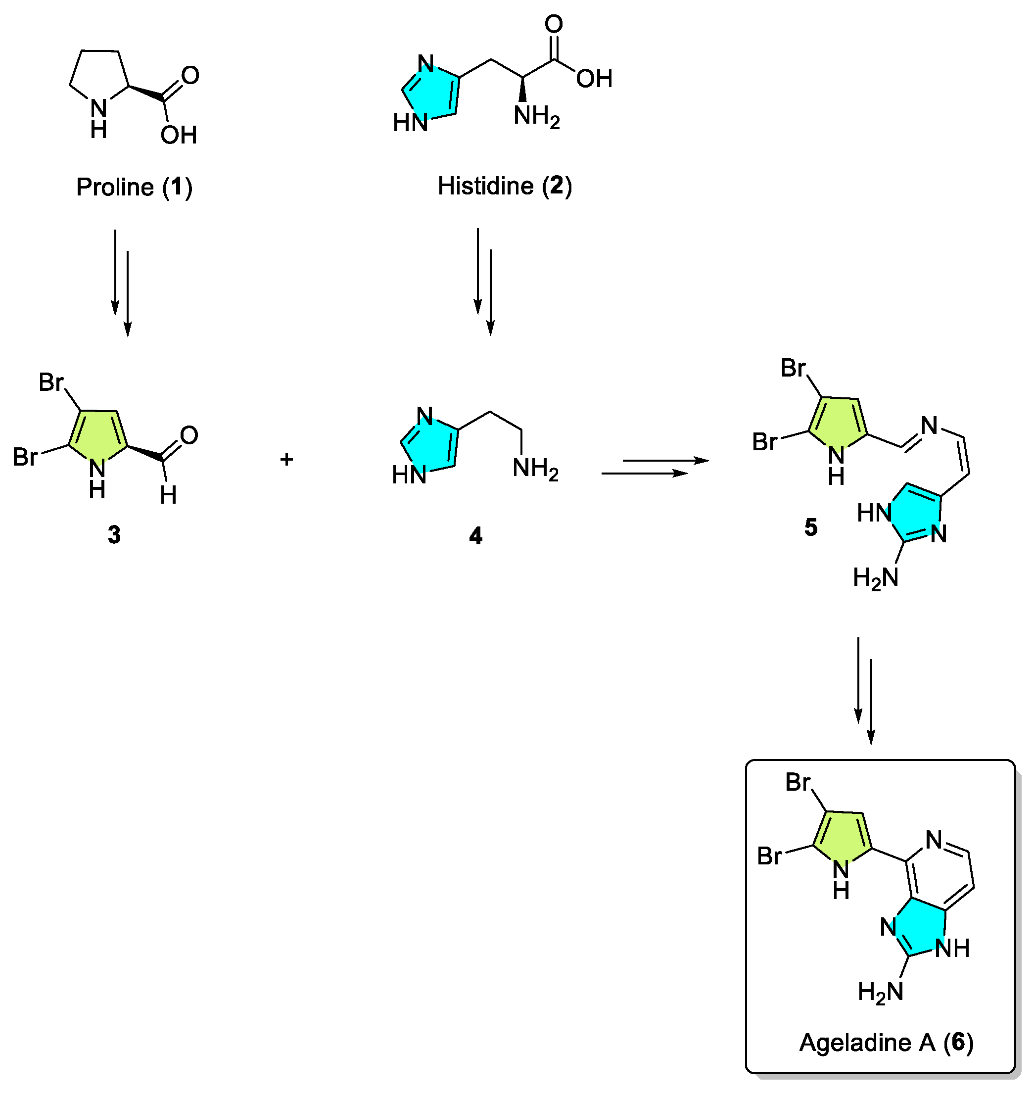
1. Introduction
2. Total Syntheses of Ageladine A
2.1. Weinreb’s Total Synthesis of Ageladine A
2.2. Karuso’s Total Synthesis of Ageladine A
2.3. Ando’s Total Synthesis of Ageladine A
2.4. Weinreb’s Second Total Synthesis of Ageladine A
2.5. Tanaka’s Total Synthesis of Ageladine A
2.6. Lindel’s Total Synthesis of Ageladine A
3. Synthesis and Biological Evaluation of Ageladine A Derivatives
4. Conclusions
Funding
Data Availability Statement
Conflicts of Interest
References
- Carroll, A.R.; Copp, B.R.; Davis, R.A.; Keyzers, R.A.; Prinsep, M.R. Marine natural products. Nat. Prod. Rep. 2022, 39, 1122–1171. [Google Scholar] [CrossRef]
- Chu, M.-J.; Li, M.; Ma, H.; Li, P.-L.; Li, G.-Q. Secondary metabolites from marine sponges of the genus Agelas: A comprehensive update insight on structural diversity and bioactivity. RSC Adv. 2022, 12, 7789–7820. [Google Scholar] [CrossRef] [PubMed]
- Manconi, R.; Perino, E.; Pronzato, R. A new species of Agelas from the Zanzibar Archipelago, western Indian Ocean (Porifera, Demospongiae). ZooKeys 2016, 553, 1–31. [Google Scholar] [CrossRef] [PubMed]
- Schroif-Grégoire, C.; Appenzeller, J.; Debitus, C.; Zaparucha, A.; Al-Mourabit, A. Debromokeramadine from the Marine Sponge Agelas cf. mauritiana: Isolation and Short Regioselective and Flexible Synthesis. Tetrahedron 2015, 71, 3609–3613. [Google Scholar] [CrossRef]
- Zhu, Y.; Wang, Y.; Gu, B.-B.; Yang, F.; Jiao, W.-H.; Hu, G.-H.; Yu, H.-B.; Han, B.-N.; Zhang, W.; Shen, Y.; et al. Antifungal Bromopyrrole Alkaloids from the South China Sea Sponge Agelas sp. Tetrahedron 2016, 72, 2964–2971. [Google Scholar] [CrossRef]
- Scala, F.; Fattorusso, E.; Menna, M.; Taglialatela-Scafati, O.; Tierney, M.; Kaiser, M.; Tasdemir, D. Bromopyrrole Alkaloids as Lead Compounds against Protozoan Parasites. Mar. Drugs 2010, 8, 2162–2174. [Google Scholar] [CrossRef]
- Tempone, A.G.; Pieper, P.; Borborema, S.E.T.; Thevenard, F.; Lago, J.H.G.; Croft, S.L.; Anderson, E.A. Marine alkaloids as bioactive agents against protozoal neglected tropical diseases and malaria. Nat. Prod. Rep. 2021, 38, 2214–2235. [Google Scholar] [CrossRef]
- Fattorusso, E.; Taglialatela-Scafati, O. Two Novel Pyrrole-Imidazole Alkaloids from the Mediterranean Sponge Agelas oroides. Tetrahedron Lett. 2000, 41, 9917–9922. [Google Scholar] [CrossRef]
- Vik, A.; Hedner, E.; Charnock, C.; Samuelsen, Ø.; Larsson, R.; Gundersen, L.-L.; Bohlin, L. (+)-Agelasine D: Improved Synthesis and Evaluation of Antibacterial and Cytotoxic Activities. J. Nat. Prod. 2006, 69, 381–386. [Google Scholar] [CrossRef]
- Hertiani, T.; Edrada-Ebel, R.; Ortlepp, S.; van Soest, R.W.M.; de Voogd, N.J.; Wray, V.; Hentschel, U.; Kozytska, S.; Müller, W.E.G.; Proksch, P. From Anti-Fouling to Biofilm Inhibition: New Cytotoxic Secondary Metabolites from Two Indonesian Agelas Sponges. Bioorg. Med. Chem. 2010, 18, 1297–1311. [Google Scholar] [CrossRef]
- Zidar, N.; Žula, A.; Tomašič, T.; Rogers, M.; Kirby, R.W.; Tytgat, J.; Peigneur, S.; Kikelj, S.D.; Janez, I.; Mašič, L.P. Clathrodin, hymenidin and oroidin, and their synthetic analogues as inhibitors of the voltage-gated potassium channels. Eur. J. Med. Chem. 2017, 139, 232–241. [Google Scholar] [CrossRef] [PubMed]
- Fujita, M.; Nakao, Y.; Matsunaga, S.; Seiki, M.; Itoh, Y.; Yamashita, J.; van Soest, R.W.M.; Fusetani, N. Ageladine A: An Antiangiogenic Matrixmetalloproteinase Inhibitor from the Marine Sponge Agelas nakamurai. J. Am. Chem. Soc. 2003, 125, 15700–15701. [Google Scholar] [CrossRef] [PubMed]
- Andrade, P.; Willoughby, R.; Shirley, A.; Pomponi, S.A.; Kerr, R.G. Biosynthetic Studies of the Alkaloid, Stevensine, in a Cell Culture of the Marine Sponge Teichaxinella morchella. Tetrahedron Lett. 1999, 40, 4775–4778. [Google Scholar] [CrossRef]
- Al-Mourabit, A.; Potier, P. Sponge’s Molecular Diversity Through the Ambivalent Reactivity of 2-Aminoimidazole: A Universal Chemical Pathway to the Oroidin-Based Pyrrole-Imidazole Alkaloids and Their Palau’amine Congeners. Eur. J. Org. Chem. 2001, 2001, 237–243. [Google Scholar] [CrossRef]
- Vergne, C.; Boury-Esnault, N.; Perez, T.; Martin, M.-T.; Adeline, M.-T.; Dau, E.T.H.; Al-Mourabit, A.; Verpacamides, A.-D. A Sequence of C11N5 Diketopiperazines Relating Cyclo(Pro-Pro) to Cyclo(Pro-Arg), from the Marine Sponge Axinella vaceleti: Possible Biogenetic Precursors of Pyrrole-2-aminoimidazole Alkaloids. Org. Lett. 2006, 8, 2421–2424. [Google Scholar] [CrossRef]
- Bickmeyer, U.; Grube, A.; Klings, K.W.; Köck, M.; Ageladine, A. A pyrrole-imidazole alkaloid from marine sponges, is a pH sensitive membrane permeable dye. Biochem. Biophys. Res. Commun. 2008, 373, 419–422. [Google Scholar] [CrossRef]
- Bickmeyer, U.; Heine, M.; Podbielski, I.; Münda, D.; Köck, M.; Karuso, P. Tracking of fast moving neuronal vesicles with ageladine A. Biochem. Biophys. Res. Commun. 2010, 402, 489–494. [Google Scholar] [CrossRef] [PubMed]
- Meketa, M.L.; Weinreb, S.M. Total Synthesis of Ageladine A, an Angiogenesis Inhibitor from the Marine Sponge Agelas nakamurai. Org. Lett. 2006, 8, 1443–1446. [Google Scholar] [CrossRef]
- Vargas, D.F.; Larghi, E.L.; Kaufman, T.S. The 6p-azaelectrocyclization of azatrienes. Synthetic applications in natural products, bioactive heterocycles, and related fields. Nat. Prod. Rep. 2019, 36, 354–401. [Google Scholar] [CrossRef]
- Schumacher, R.W.; Davidson, B.S. Synthesis of didemnolines A-D, N9-substituted β-carboline alkaloids from the marine ascidian Didemnum sp. Tetrahedron 1999, 55, 935–942. [Google Scholar] [CrossRef]
- Iddon, B.; Khan, N. Azoles. Part 5. Metal-halogen exchange reactions of polybromoimidazoles. J. Chem. Soc. Perkin Trans. 1987, 1, 1445–1451. [Google Scholar] [CrossRef]
- Groziak, M.P.; Wei, L. Regioselective formation of imidazol-2-yllithium, imidazol-4-yllithium, and imidazol-5-yllithium species. J. Org. Chem. 1991, 56, 4296–4300. [Google Scholar] [CrossRef]
- Barder, T.E.; Walker, S.D.; Martinelli, J.R.; Buchwald, S.L. Catalysts for Suzuki−Miyaura Coupling Processes: Scope and Studies of the Effect of Ligand Structure. J. Am. Chem. Soc. 2005, 127, 4685–4696. [Google Scholar] [CrossRef] [PubMed]
- Shengule, S.R.; Karuso, P. Concise Total Synthesis of the Marine Natural Product Ageladine, A. Org. Lett. 2006, 8, 4083–4084. [Google Scholar] [CrossRef]
- Shengule, S.R.; Loa-Kum-Cheung, W.L.; Christopher, R.; Parish, C.R.; Blairvacq, M.; Meijer, L.; Nakao, Y.; Karuso, P. A One-Pot Synthesis and Biological Activity of Ageladine A and Analogues. J. Med. Chem. 2011, 54, 2492–2503. [Google Scholar] [CrossRef] [PubMed]
- Ando, N.; Terashima, S. Synthesis and matrix metalloproteinase (MMP)-12 inhibitory activity of ageladine A and its analogs. Bioorg. Med. Chem. Lett. 2007, 17, 4495–4499. [Google Scholar] [CrossRef] [PubMed]
- Meketa, M.L.; Weinreb, S.M. A New Total Synthesis of the Zinc Matrix metalloproteinase Inhibitor Ageladine A Featuring a Biogenetically Patterned 6π-2-Azatriene Electrocyclization. Org. Lett. 2007, 9, 853–855. [Google Scholar] [CrossRef]
- Meketa, M.L.; Weinreb, S.M. A convergent total synthesis of the marine sponge alkaloid Ageladine A via a strategic 6p-2-azatriene electrocyclization. Tetrahedron 2007, 63, 9112–9119. [Google Scholar] [CrossRef]
- Jiang, L.; Job, G.E.; Klapars, A.; Buchwald, S.L. Copper-Catalyzed Coupling of Amides and Carbamates with Vinyl Halides. Org. Lett. 2003, 5, 3667–3669. [Google Scholar] [CrossRef]
- Iwata, T.; Otsuka, S.; Tsubokura, K.; Kurbangalieva, A.; Arai, D.; Fukase, K.; Nakao, Y.; Tanaka, K. One-Pot Evolution of Ageladine A through a Bio-Inspired Cascade towards Selective Modulators of Neuronal Differentiation. Chem. Eur. J. 2016, 22, 14707–14716. [Google Scholar] [CrossRef]
- Iwata, T.; Fukase, K.; Nakao, Y.; Tanaka, K. Efficient Synthesis of Marine Alkaloid Ageladine A and its Structural Modification for Exploring New Biological Activity. J. Synth. Org. Chem. Jpn. 2020, 78, 51–59. [Google Scholar] [CrossRef]
- Oe, T.; Lee, S.H.; Elipe, M.V.S.; Arison, B.H.; Blair, I.A. A Novel Lipid Hydroperoxide-Derived Modification to Arginine. Chem. Res. Toxicol. 2003, 16, 1598–1605. [Google Scholar] [CrossRef] [PubMed]
- Tolle, C.; Fresia, M.; Lindel, T. Aza-BODIPY Route to Ageladine, A. Org. Lett. 2022, 24, 1308–1312. [Google Scholar] [CrossRef] [PubMed]
- Sun, X.; Lou, Y.; Chen, Q.; Li, L.; Zhuang, X.; Li, Y. Synthesis of [1,2,5]thiadiazolo[3,4-c]pyridine: A Novel analogue to BT. Adv. Mater. Res. 2011, 335−336, 90–95. [Google Scholar] [CrossRef]
- Bender, T.; von Zezschwitz, P. Total Synthesis of 4-Acetyl-1,3-dihydroimidazo[4,5-c]pyridin-2-one, a New Microbial Metabolite from Streptomyces Species. Nat. Prod. Commun. 2009, 4, 971–976. [Google Scholar] [CrossRef]
- Bruno, N.C.; Tudge, M.T.; Buchwald, S.L. Design and preparation of new palladium precatalysts for C-C and C-N cross-coupling reactions. Chem. Sci. 2013, 4, 916–920. [Google Scholar] [CrossRef] [PubMed]
- Liu, J.; Khalil, R.A. Matrix Metalloproteinase Inhibitors as Investigational and Therapeutic Tools in Unrestrained Tissue Remodeling and Pathological Disorders. Prog. Mol. Biol. Transl. Sci. 2017, 148, 355–420. [Google Scholar] [CrossRef]
- Cui, N.; Hu, M.; Khalil, R.A. Biochemical and Biological Attributes of Matrix Metalloproteinases. Prog. Mol. Biol. Transl. Sci. 2017, 147, 1–73. [Google Scholar] [CrossRef]
- Meketa, M.L.; Weinreb, S.M.; Nakao, Y.; Fusetani, N. Application of a 6π-1-Azatriene Electrocyclization Strategy to the Total Synthesis of the Marine Sponge Metabolite Ageladine A and Biological Evaluation of Synthetic Analogues. J. Org. Chem. 2007, 72, 4892–4899. [Google Scholar] [CrossRef]
- Ando, N.; Terashima, S. Synthesis of novel ageladine A analogs showing more potent matrix metalloproteinase (MMP)-12 inhibitory activity than the natural product. Bioorg. Med. Chem. Lett. 2009, 19, 5461–5463. [Google Scholar] [CrossRef]
- Ando, N.; Terashima, S. Synthesis and Matrix Metalloproteinase-12 Inhibitory Activity of Ageladine A Analogs. Chem. Pharm. Bull. 2011, 59, 579–596. [Google Scholar] [CrossRef] [PubMed]
- Ma, Y.; Nam, S.; Jove, R.; Yakushijin, K.; Horne, D.A. Synthesis and anticancer activities of ageladine A and structural analogs. Bioorg. Med. Chem. Lett. 2010, 20, 83–86. [Google Scholar] [CrossRef] [PubMed]
- Wegiel, J.; Gong, C.-X.; Hwang, Y.-W. The role of DYRK1A in neurodegenerative diseases. FEBS J. 2011, 278, 236–245. [Google Scholar] [CrossRef] [PubMed]















Disclaimer/Publisher’s Note: The statements, opinions and data contained in all publications are solely those of the individual author(s) and contributor(s) and not of MDPI and/or the editor(s). MDPI and/or the editor(s) disclaim responsibility for any injury to people or property resulting from any ideas, methods, instructions or products referred to in the content. |
© 2023 by the author. Licensee MDPI, Basel, Switzerland. This article is an open access article distributed under the terms and conditions of the Creative Commons Attribution (CC BY) license (https://creativecommons.org/licenses/by/4.0/).
Share and Cite
Magoulas, G.E. Ageladine A, a Bromopyrrole Alkaloid from the Marine Sponge Agelas nakamurai. Compounds 2023, 3, 107-121. https://doi.org/10.3390/compounds3010010
Magoulas GE. Ageladine A, a Bromopyrrole Alkaloid from the Marine Sponge Agelas nakamurai. Compounds. 2023; 3(1):107-121. https://doi.org/10.3390/compounds3010010
Chicago/Turabian StyleMagoulas, George E. 2023. "Ageladine A, a Bromopyrrole Alkaloid from the Marine Sponge Agelas nakamurai" Compounds 3, no. 1: 107-121. https://doi.org/10.3390/compounds3010010
APA StyleMagoulas, G. E. (2023). Ageladine A, a Bromopyrrole Alkaloid from the Marine Sponge Agelas nakamurai. Compounds, 3(1), 107-121. https://doi.org/10.3390/compounds3010010












