Effects of Variable Viscosity in Unsteady Magnetohydrodynamic Hybrid Nanofluid Flow over Stretching/Shrinking Cylinder with Partial Slip and Stefan Blowing
Abstract
:1. Introduction
2. Mathematical Formulation
3. Numerical Methods
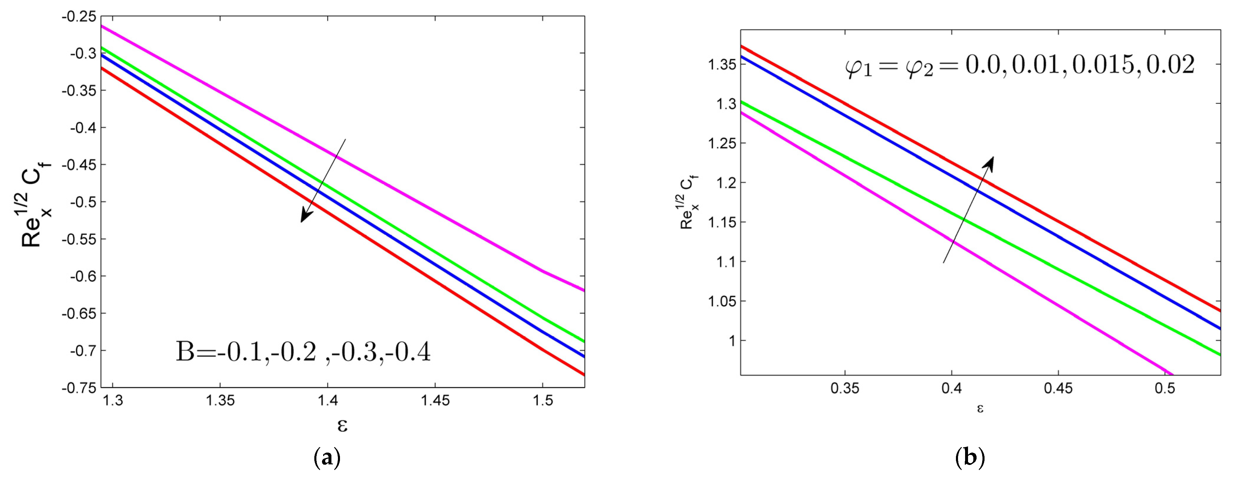
4. Results and Discussion
5. Conclusions
- As the Stefan blowing parameter increases, the profiles of the temperature and concentration rise;
- With a rise in the variable viscosity parameter, the velocity profile decreases, but this is more significant for skin friction;
- The velocity, temperature, and concentration profiles decrease while there are negative values for the unsteadiness parameter;
- The addition of the nanoparticle volume fraction leads to a better thermal conductivity performance, resulting in an increase in thermal performance;
- The skin friction decreases with negative values for the unsteadiness parameter.
Author Contributions
Funding
Data Availability Statement
Conflicts of Interest
Abbreviations/Nomenclature
| MHD | magnetohydrodynamics |
| HNF | hybrid nanofluid |
| u, v | velocity components along the x- and y-axis (M·s−1) |
| L | characteristic length (m) |
| T | fluid temperature (K) |
| ue | free stream velocity (m·s−1) |
| uw | surface velocity (m·s−1) |
| C∞ | ambient concentration (mol/m3) |
| T∞ | ambient temperature (K) |
| D | mass diffusivity (m2·s−1) |
| Cp | specific heat (kg−1·J) |
| Cs | concentration susceptibility |
| k | thermal conductivity (W·m−1·K−1) |
| Tw | surface temperature (K) |
| Cw | surface concentration (mol/m3) |
| Sc | Schmidt number |
| Pr | Prandtl number |
| Sb | Stefan blowing parameter |
| Sh | local Sherwood number |
| A | velocity slip parameter |
| B | unsteadyness parameter |
| M | magnetic parameter |
| Rex | local Reynolds number |
| Greek symbols | |
| v | kinematic viscosity (m2·s−1) |
| σ | electrical conductivity (S·m−1) |
| μ | dynamic viscosity (m2·s−1) |
| ρ | density of the fluid (kg·m−3) |
| λ | curvature parameter |
| Subscripts | |
| ∞ | ambient |
| f | base fluid |
| nf | nanofluid |
| hnf | hybrid nanofluid |
References
- Crane, L.R. Boundary Layer Flow due to a Stretching Cylinder. Z. Angew. Math. Phys. ZAMP 1975, 26, 619–622. [Google Scholar] [CrossRef]
- Anuar, N.S.; Bachok, N.; Pop, I. Numerical Computation of Dusty Hybrid Nanofluid Flow and Heat Transfer over a Deformable Sheet with Slip Effect. Mathematics 2021, 9, 643. [Google Scholar] [CrossRef]
- Kumbhakar, B.; Nandi, S. Unsteady MHD radiative-dissipative flow of Cu-Al2O3/H2O hybrid nanofluid past a stretching sheet with slip and convective conditions: A regression analysis. Math. Comput. Simul. 2022, 194, 563–587. [Google Scholar] [CrossRef]
- Khashi’ie, N.S.; Arifin, N.M.; Pop, I. Unsteady Axisymmetric Flow and Heat Transfer of a Hybrid Nanofluid over a Permeable Stretching/Shrinking Disc. Int. J. Numer. Methods Heat Fluid Flow 2020, 31, 2005–2021. [Google Scholar] [CrossRef]
- Sreedevi, P.; Sudarsana Reddy, P.; Chamkha, A. Heat and Mass Transfer Analysis of Unsteady Hybrid Nanofluid Flow over a Stretching Sheet with Thermal Radiation. SN Appl. Sci. 2020, 2, 1222. [Google Scholar] [CrossRef]
- Raju, C.S.K.; Ahammad, N.A.; Sajjan, K.; Shah, N.A.; Yook, S.J.; Kumar, M.D. Nonlinear movements of axisymmetric ternary hybrid nanofluids in a thermally radiated expanding or contracting permeable Darcy Walls with different shapes and densities: Simple linear regression. Int. Commun. Heat Mass Transf. 2022, 135, 106110. [Google Scholar] [CrossRef]
- Zainal, N.A.; Nazar, R.; Naganthran, K.; Pop, I. Unsteady MHD Hybrid Nanofluid Flow towards a Horizontal Cylinder. Int. Commun. Heat Mass Transf. 2022, 134, 106020. [Google Scholar] [CrossRef]
- Zainal, N.A.; Nazar, R.; Naganthran, K.; Pop, I. Unsteady Three-Dimensional MHD Non-Axisymmetric Homann Stagnation Point Flow of a Hybrid Nanofluid with Stability Analysis. Mathematics 2020, 8, 784. [Google Scholar] [CrossRef]
- Raju, C.S.K.; Basha, H.T.; Noor, N.F.M.; Shah, N.A.; Yook, S.J. Significance of body acceleration and gold nanoparticles through blood flow in an uneven/composite inclined stenosis artery. A finite difference computation. Math. Comput. Simul. 2024, 215, 399–419. [Google Scholar] [CrossRef]
- Raju, C.S.K.; Sandeep, N.; Saleem, S. Homogeneous-Hetrogeneous Reactions on Stagnation-Point Flow of a Casson Fluid with Induced Magnetic Field. 2015. Available online: https://www.researchgate.net/profile/Dr-Salman-Saleem/publication/286452438_Effects_of_induced_magnetic_field_and_homogeneous-heterogeneous_reactions_on_stagnation_flow_of_a_Casson_fluid/links/567454a608ae0ad265ba7793/Effects-of-induced-magnetic-field-and-homogeneous-heterogeneous-reactions-on-stagnation-flow-of-a-Casson-fluid.pdf (accessed on 1 October 2023).
- Hussain, A.; Hassan, A.; Al Mdallal, Q.; Ahmad, H.; Rehman, A.; Altanji, M.; Arshad, M. Heat transport investigation of magneto-hydrodynamics (SWCNT-MWCNT) hybrid nanofluid under the thermal radiation regime. Case Stud. Therm. Eng. 2021, 27, 101244. [Google Scholar] [CrossRef]
- Reddy, V.S.; Kandasamy, J.; Sivanandam, S. Stefan Blowing Impacts on Hybrid Nanofluid Flow over a Moving Thin Needle with Thermal Radiation and MHD. Computation 2023, 11, 128. [Google Scholar] [CrossRef]
- Sivasankaran, S.; Chandrapushpam, T.; Bhuvaneswari, M.; Karthikeyan, S.; Alzahrani, A.K. Effect of chemical reaction on double diffusive MHD squeezing copper water nanofluid flow between parallel plates. J. Mol. Liq. 2022, 368 Pt B, 120768. [Google Scholar] [CrossRef]
- Sivasankaran, S.; Bhuvaneswari, M.; Alzahrani, A.K. Numerical study on influence of magnetic field and discrete heating on free convection in a porous container. Sci. Iran. B Mech. Eng. 2022, 29, 3063–3071. [Google Scholar]
- Ashwinkumar, G.P.; Samrat, S.P.; Sandeep, N. Convective Heat Transfer in MHD Hybrid Nanofluid Flow over Two Different Geometries. Int. Commun. Heat Mass Transf. 2021, 127, 105563. [Google Scholar] [CrossRef]
- Mahmood, Z.; Iqbal, Z.; Alyami, M.A.; Alqahtani, B.A.; Yassen, M.F.; Khan, U. Influence of Suction and Heat Source on MHD Stagnation Point Flow of Ternary Hybrid Nanofluid over Convectively Heated Stretching/Shrinking Cylinder. Adv. Mech. Eng. 2022, 14, 168781322211262. [Google Scholar] [CrossRef]
- Liu, J.; Abidi, A.; Khan, M.I.; Rasheed, S.; Allehiany, F.M.; Mahmoud, E.E.; Galal, A. Thermal Analysis of a Radiative Slip Flow of an Unsteady Casson Nanofluid toward a Stretching Surface Subject to the Convective Condition. J. Mater. Res. Technol. 2021, 15, 468–476. [Google Scholar] [CrossRef]
- Song, Y.-Q.; Hamid, A.; Sun, T.-C.; Khan, M.I.; Qayyum, S.; Kumar, R.; Prasannakumara, B.C.; Khan, S.U.; Chinram, R. Unsteady Mixed Convection Flow of Magneto-Williamson Nanofluid due to Stretched Cylinder with Significant Non-Uniform Heat Source/Sink Features. Alex. Eng. J. 2022, 61, 195–206. [Google Scholar] [CrossRef]
- Waini, I.; Ishak, A.; Pop, I. Unsteady Flow and Heat Transfer Past a Stretching/Shrinking Sheet in a Hybrid Nanofluid. Int. J. Heat Mass Transf. 2019, 136, 288–297. [Google Scholar] [CrossRef]
- Bilal, M.; Arshad, H.; Ramzan, M.; Shah, Z.; Kumam, P. Unsteady Hybrid-Nanofluid Flow Comprising Ferrousoxide and CNTs through Porous Horizontal Channel with Dilating/Squeezing Walls. Sci. Rep. 2021, 11, 12637. [Google Scholar] [CrossRef]
- Rajput, S.; Bhattacharyya, K.; Verma, A.K.; Mandal, M.S.; Chamkha, A.J.; Yadav, D. Unsteady Stagnation-Point Flow of CNTs Suspended Nanofluid on a Shrinking/Expanding Sheet with Partial Slip: Multiple Solutions and Stability Analysis. Waves Random Complex Media 2022, 14, 1–22. [Google Scholar] [CrossRef]
- Wang, C.H. Slip Flow due to a Stretching Cylinder. Int. J. Nonlinear Mech. 2011, 46, 1191–1194. [Google Scholar] [CrossRef]
- Waini, I.; Ishak, A.; Pop, I. Hybrid Nanofluid Flow on a Shrinking Cylinder with Prescribed Surface Heat flux. Int. J. Numer. Methods Heat Fluid Flow 2020, 31, 1987–2004. [Google Scholar] [CrossRef]
- Tulu, A.; Ibrahim, W. Effects of Second-Order Slip Flow and Variable Viscosity on Natural Convection Flow of CNTs − Fe3O 4/Water Hybrid Nanofluids due to Stretching Surface. Math. Probl. Eng. 2021, 2021, 8407194. [Google Scholar] [CrossRef]
- Mabood, F.; Rauf, A.; Prasannakumara, B.C.; Izadi, M.; Shehzad, S.A. Impacts of Stefan Blowing and Mass Convention on Flow of Maxwell Nanofluid of Variable Thermal Conductivity about a Rotating Disk. Chin. J. Phys. 2021, 71, 260–272. [Google Scholar] [CrossRef]
- Rana, P.; Makkar, V.; Gupta, G. Finite element study of bio-convective Stefan blowing Ag-MgO/water hybrid nanofluid induced by stretching cylinder utilizing non-Fourier and non-Fick’s laws. Nanomaterials 2021, 11, 1735. [Google Scholar] [CrossRef] [PubMed]
- Jagan, K.; Sivasankaran, S. Soret & Dufour and Triple Stratification Effect on MHD Flow with Velocity Slip towards a Stretching Cylinder. Math. Comput. Appl. 2022, 27, 25. [Google Scholar]
- Hassan, A.; Alsubaie, N.; Alharbi, F.; Alhushaybari, A.; Galal, A. Scrutinization of Stefan Suction/Blowing on Thermal Slip Flow of Ethylene Glycol/Water Based Hybrid Ferro-Fluid with Nano-Particles Shape Effect and Partial Slip. J. Magn. Magn. Mater. 2023, 565, 170276. [Google Scholar] [CrossRef]
- Kiran, S.; Sankar, M.B.; Swamy, K.; Makinde, O.D. Unsteady buoyant convective flow and thermal transport analysis in a nonuniformly heated annular geometry. Comput. Therm. Sci. Int. J. 2022, 14, 1–17. [Google Scholar] [CrossRef]
- Jagan, K.; Sivasankaran, S.; Bhuvaneswari, M.; Rajan, S. Effect of thermal radiation on magneto-convection of a micropolar nanoliquid towards a non-linear stretching surface with convective boundary. Int. J. Eng. Technol. 2018, 7, 417–421. [Google Scholar] [CrossRef]
- Sivasankaran, S.; Bhuvaneswari, M. Numerical study on influence of water based hybrid nanofluid and porous media on heat transfer and pressure loss. Case Stud. Therm. Eng. 2022, 34, 102022. [Google Scholar] [CrossRef]
- Sivasankaran, S.; Mallawi, F.O.M. Numerical study on convective flow boiling of nanoliquid inside a pipe filling with aluminum metal foam by two-phase model. Case Stud. Therm. Eng. 2021, 26, 101095. [Google Scholar] [CrossRef]
- Kumar, T.S. Hybrid Nanofluid Slip Flow and Heat Transfer over a Stretching Surface. Partial. Differ. Equ. Appl. Math. 2021, 4, 100070. [Google Scholar] [CrossRef]
- Tlili, I.; Ramzan, M.; Nisa, H.U.; Shutaywi, M.; Sheikholeslami, M.; Kumam, P. Onset of Gyrotactic Microorganisms in MHD Micropolar Nanofluid Flow with Partial Slip and Double Stratification. J. King Saud Univ. Sci. 2020, 32, 2741–2751. [Google Scholar] [CrossRef]
- Nadeem, S.; Abbas, N. On Both MHD and Slip Effect in Micropolar Hybrid Nanofluid Past a Circular Cylinder under Stagnation Point Region. Can. J. Phys. 2019, 97, 392–399. [Google Scholar] [CrossRef]






| ε | |||
|---|---|---|---|
| Wang [22] | Waini et al. [23] | Present Result | |
| 0.1 | 1.146560 | 1.146561 | 1.146563 |
| 0.2 | 1.051130 | 1.051130 | 1.051132 |
| 0.5 | 0.713300 | 0.713295 | 0.713296 |
| −1 | 1.328820 | 1.328817 | 1.328820 |
| −0.5 | 1.495670 | 1.495670 | 1.495670 |
| 0 | 1.232588 | 1.232588 | 1.232588 |
| Sb | M | A | ε | |||||
|---|---|---|---|---|---|---|---|---|
| 0 | 0.1 | 0.1 | 0.1 | 0.1 | 0.02 | 0.000146 | 0.921962 | 0.491151 |
| 0.1 | - | - | - | - | - | 0.000142 | 0.698123 | 0.461310 |
| 1.0 | - | - | - | - | - | 0.000104 | 0.052877 | 0.01611 |
| 2.0 | - | - | - | - | - | 0.000091 | 0.004089 | 0.222037 |
| - | 0.1 | - | - | - | - | 0.000202 | 0.004089 | 0.222038 |
| - | 0.2 | - | - | - | - | 0.000206 | 0.004229 | 0.223622 |
| - | 0.3 | - | - | - | - | 0.000220 | 0.004365 | 0.225120 |
| - | - | 1.0 | - | - | - | 0.000244 | 0.004365 | 0.005119 |
| - | - | 2.0 | - | - | - | 0.741062 | 0.026640 | 0.285810 |
| - | - | 3.0 | - | - | - | 0.805742 | 0.018770 | 0.280376 |
| - | - | - | 0.2 | - | - | 0.731319 | 0.024421 | 0.288529 |
| - | - | - | 0.4 | - | - | 0.634120 | 0.029981 | 0.097629 |
| - | - | - | 0.6 | - | - | 0.557389 | 0.034592 | 0.304378 |
| - | - | - | - | −0.1 | - | 0.673463 | 0.027688 | 0.294026 |
| - | - | - | - | 0.0 | - | 0.615866 | 0.031064 | 0.299266 |
| - | - | - | - | 0.1 | - | 0.557389 | 0.034592 | 0.304378 |
| - | - | - | - | - | 0.01 | 0.531956 | 0.044740 | 0.309722 |
| - | - | - | - | - | 0.015 | 0.531956 | 0.044740 | 0.309722 |
| - | - | - | - | - | 0.02 | 0.531956 | 0.044740 | 0.309722 |
Disclaimer/Publisher’s Note: The statements, opinions and data contained in all publications are solely those of the individual author(s) and contributor(s) and not of MDPI and/or the editor(s). MDPI and/or the editor(s) disclaim responsibility for any injury to people or property resulting from any ideas, methods, instructions or products referred to in the content. |
© 2023 by the authors. Licensee MDPI, Basel, Switzerland. This article is an open access article distributed under the terms and conditions of the Creative Commons Attribution (CC BY) license (https://creativecommons.org/licenses/by/4.0/).
Share and Cite
Kandasamy, J.; Narayanaswamy, M.K.; Sivanandam, S. Effects of Variable Viscosity in Unsteady Magnetohydrodynamic Hybrid Nanofluid Flow over Stretching/Shrinking Cylinder with Partial Slip and Stefan Blowing. Nanomanufacturing 2023, 3, 434-445. https://doi.org/10.3390/nanomanufacturing3040027
Kandasamy J, Narayanaswamy MK, Sivanandam S. Effects of Variable Viscosity in Unsteady Magnetohydrodynamic Hybrid Nanofluid Flow over Stretching/Shrinking Cylinder with Partial Slip and Stefan Blowing. Nanomanufacturing. 2023; 3(4):434-445. https://doi.org/10.3390/nanomanufacturing3040027
Chicago/Turabian StyleKandasamy, Jagan, Manoj Kumar Narayanaswamy, and Sivasankaran Sivanandam. 2023. "Effects of Variable Viscosity in Unsteady Magnetohydrodynamic Hybrid Nanofluid Flow over Stretching/Shrinking Cylinder with Partial Slip and Stefan Blowing" Nanomanufacturing 3, no. 4: 434-445. https://doi.org/10.3390/nanomanufacturing3040027
APA StyleKandasamy, J., Narayanaswamy, M. K., & Sivanandam, S. (2023). Effects of Variable Viscosity in Unsteady Magnetohydrodynamic Hybrid Nanofluid Flow over Stretching/Shrinking Cylinder with Partial Slip and Stefan Blowing. Nanomanufacturing, 3(4), 434-445. https://doi.org/10.3390/nanomanufacturing3040027

