Feature Extraction and Comparative Analysis of Firing Pin, Breech Face, and Annulus Impressions from Ballistic Cartridge Images
Abstract
1. Introduction
1.1. Anatomy of the Base of a Cartridge Case
1.2. Contributions of the Study
- Region-wise manual annotation and segmentation: Three key regions, firing pin impression, breech face, and annulus, were manually annotated using LabelMe. This region-specific segmentation enables localized feature extraction and detailed analysis.
- Feature extraction combining geometric and texture descriptors: A comprehensive set of geometric (area, perimeter, circularity, roundness, solidity, eccentricity) and texture-based (local binary pattern and Haralick features) metrics were extracted from each region using ImageJ and Python-based tools.
- Pixel-to-millimetre calibration for quantitative analysis: Calibration was performed using ImageJ to convert pixel values into real-world metric units (mm2), enhancing the accuracy and interpretability of geometric measurements.
- Creation of a benchmark dataset: A dataset of 20 high-resolution cartridge case images with region-level annotations and extracted features was created. This serves as a foundational resource for similarity analysis and future classification-based research.
- Visualization-based exploratory analysis: Boxplots and histograms were generated for selected features across all three regions. These visualizations provide insight into inter and intra-region variations, facilitating pattern recognition in toolmark characteristics.
- Similarity analysis using Euclidean distance: A 20 × 20 distance matrix was computed using normalized features and Euclidean distance. The resulting heatmap offers a visual and quantitative means to assess similarity between cartridge samples.
2. Related Work
3. Methodology
3.1. Dataset Description
3.2. Annotation Process
3.3. Feature Extraction
3.4. Preprocessing
4. Results and Analysis
4.1. Feature Summary
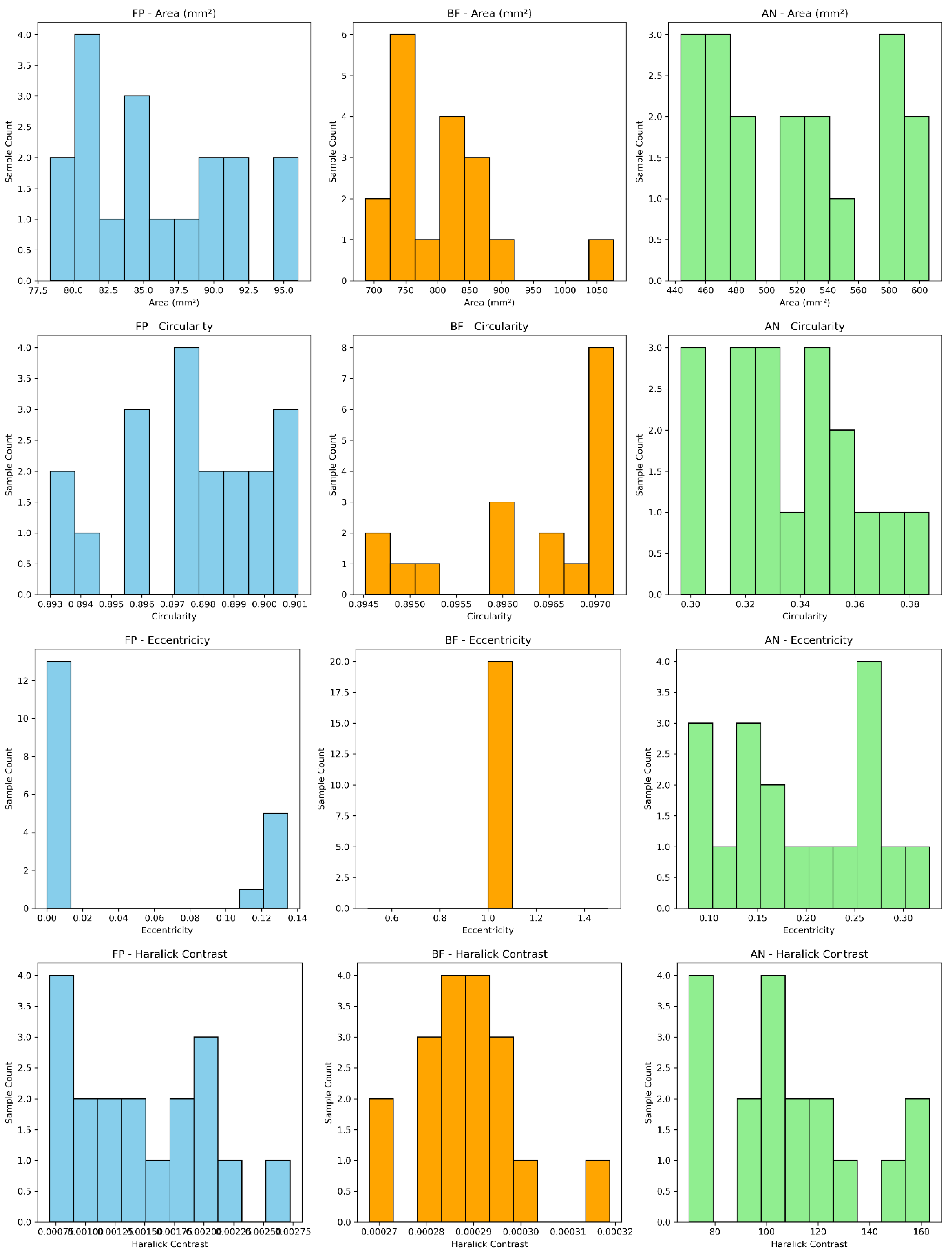
4.2. Visualization
- Firing pin regions exhibited low variance in area and high circularity, indicating consistent and round impressions.
- Breech face regions showed wider interquartile ranges for circularity and eccentricity, reflecting diverse and irregular surface patterns.
- Annulus regions displayed intermediate variability, with more consistent eccentricity than the breech face, but less regular than the firing pin.
4.3. Similarity Analysis
- Low mean distance: Indicates similarity, suggesting the sample is more similar to others on average. Sample_13 had the lowest mean distance (~0.94), suggesting it generally resembles most other samples closely.
- High mean distance: Indicates more dissimilarity, suggesting the sample is distinctly different from most others. Sample_20 had the highest mean distance (~2.15), indicating significant difference from others.
4.4. Limitations
5. Discussion
6. Conclusions
Supplementary Materials
Author Contributions
Funding
Institutional Review Board Statement
Informed Consent Statement
Data Availability Statement
Acknowledgments
Conflicts of Interest
References
- Kara, I.; Karatatar, A. Classification of fired cartridge cases using 3D image capture and a comparison of database correlation method performance. J. Forensic Sci. 2022, 67, 1998–2008. [Google Scholar] [CrossRef] [PubMed]
- Basu, N.; Bolton-King, R.S.; Morrison, G.S. Forensic comparison of fired cartridge cases: Feature-extraction methods for feature-based calculation of likelihood ratios. Forensic Sci. Int. Synerg. 2022, 5, 100272. [Google Scholar] [CrossRef] [PubMed]
- Naghavi, M.; Marczak, L.B.; Kutz, M.; Shackelford, K.A.; Arora, M.; Miller-Petrie, M.; Aichour, M.T.E.; Akseer, N.; Al-Raddadi, R.M.; Alam, K.; et al. Global mortality from firearms, 1990–2016. JAMA 2018, 320, 792–814. [Google Scholar] [CrossRef] [PubMed]
- Mehta, N.; Aggarwal, A.D.; Girdhar, P. Profile of firearm-related deaths at a tertiary care hospital in North India—A two-year retrospective study. J. Contemp. Clin. Pract. 2025, 11, 578–584. [Google Scholar]
- Pisantanaroj, P.; Tanpisuth, P.; Sinchavanwat, P.; Phasuk, S.; Phienphanich, P.; Jangtawee, P.; Tantibundhit, C. Automated firearm classification from bullet markings using deep learning. IEEE Access 2020, 8, 78236–78251. [Google Scholar] [CrossRef]
- Le Bouthillier, M.E.; Hrynkiw, L.; Beauchamp, A.; Duong, L.; Ratté, S. Automated detection of regions of interest in cartridge case images using deep learning. J. Forensic Sci. 2023, 68, 1958–1971. [Google Scholar] [CrossRef]
- Guo, B.E.; Shen, Y.; Zhou, Z.F.; Liu, X.; Wei, Y.X.; Yang, L. Advanced deep learning for automatic classification of fired bullets from standard-issue firearms. Sci. Justice 2025, 65, 101335. [Google Scholar] [CrossRef]
- Mookiah, M.R.K.; Puch-Solis, R.; Farhan, S.; Ajala, B.; Nic Daeid, N. Automated segmentation of the breech and firing pin faces of fired cartridge case images. Forensic Sci. Int. 2025, 375, 112554. [Google Scholar] [CrossRef]
- Sharma, B.K. Firing pin micro-printing for identification of firearm. Indian J. Forensic Med. Pathol. 2023, 16, 1. [Google Scholar] [CrossRef]
- Rukhman, I.; Marzia, A. Advancements and applications in gunshot identification and forensic ballistics. Forensic Insights Health Sci. Bull. 2025, 3, 12–16. [Google Scholar] [CrossRef]
- Alsop, K.; Norman, D.; Remy, G.; Wilson, P.; Williams, M.A. Quantitative characterisation of ballistic cartridge cases from micro-CT. Forensic Sci. Int. 2021, 326, 110913. [Google Scholar] [CrossRef] [PubMed]
- Guyll, M.; Madon, S.; Yang, Y.; Burd, K.A.; Wells, G. Validity of forensic cartridge-case comparisons. Proc. Natl. Acad. Sci. USA 2023, 120, e2210428120. [Google Scholar] [CrossRef] [PubMed]
- Riva, F.; Mattijssen, E.J.; Hermsen, R.; Pieper, P.; Kerkhoff, W.; Champod, C. Comparison and interpretation of impressed marks left by a firearm on cartridge cases—Towards an operational implementation of a likelihood ratio-based technique. Forensic Sci. Int. 2020, 313, 110363. [Google Scholar] [CrossRef] [PubMed]
- Tai, X.H.; Eddy, W.F. Automatically matching topographical measurements of cartridge cases using a record linkage framework. arXiv 2020, arXiv:2003.00060. [Google Scholar] [CrossRef]
- Patten, C.; Saunders, C.; Puthawala, M. Deep learning for forensic identification of source. arXiv 2025, arXiv:2503.20994. [Google Scholar] [CrossRef]
- Gadelmawla, E.; Khalifa, W.M.; Elewa, I.M. Measurement and inspection of roundness using computer vision. MEJ-Mansoura Eng. J. 2020, 33, 20–32. [Google Scholar] [CrossRef]
- Severinski, K.; Cvija, T. Medical data annotation and JSON to dataset conversion using LabelMe and Python. Ri-STEM 2021, 27. [Google Scholar]
- Russell, B.C.; Torralba, A.; Murphy, K.P.; Freeman, W.T. LabelMe: A database and web-based tool for image annotation. Int. J. Comput. Vis. 2008, 77, 157–173. [Google Scholar] [CrossRef]
- Oprisan, A.; Oprisan, S.A. Bounds for Haralick features in synthetic images with sinusoidal gradients. Front. Signal Process. 2023, 3, 1271769. [Google Scholar] [CrossRef]
- Jiang, B.; Du, X.; Bian, S.; Wu, L. Roundness error evaluation in image domain based on an improved bee colony algorithm. Mech. Sci. 2022, 13, 577–584. [Google Scholar] [CrossRef]
- Sedaghatjoo, Z.; Hosseinzadeh, H.; Bigham, B.S. Local binary pattern (LBP) optimization for feature extraction. arXiv 2024, arXiv:2407.18665. [Google Scholar] [CrossRef]
- Schroeder, A.B.; Dobson, E.T.; Rueden, C.T.; Tomancak, P.; Jug, F.; Eliceiri, K.W. The ImageJ ecosystem: Open-source software for image visualization, processing, and analysis. Protein Sci. 2021, 30, 234–249. [Google Scholar] [CrossRef]
- Wang, J.; Lee, S. Data augmentation methods applying grayscale images for convolutional neural networks in machine vision. Appl. Sci. 2021, 11, 6721. [Google Scholar] [CrossRef]
- Li, P.; Wang, H.; Yu, M.; Li, Y. Overview of image smoothing algorithms. In Journal of Physics: Conference Series; IOP Publishing: Bristol, UK, 2021; Volume 1883, p. 012024. [Google Scholar] [CrossRef]
- MathWorks. Adjust Image Contrast Using Histogram Equalization. 2021. Available online: https://www.mathworks.com/help/images/histogram-equalization.html (accessed on 15 July 2025).







| Authors (Year) | Data Type | Imaging Approach | Feature Types | Region-Wise Analysis | Regions Covered | Classification Used | Remark |
|---|---|---|---|---|---|---|---|
| Alsop et al. [11] | 3D micro-CT | Quanti-tative 3D characterization | Shape, surface morphology | Breech face (partial) | Partial (focus on breech face) | No | Requires advanced 3D micro-CT setup; lacks region-level 2D feature extraction. |
| Guyll et al. [12] | Examiner decision data (no imaging) | Human comparative judgment validation | Examiner performance metrics (error rates, decision validity) | Whole catridge (implicit) | No | Yes (human judgment comparison) | Does not involve automated or region-based image analysis; focuses on human decision accuracy. |
| Riva et al. [13] | 3D impressed marks | Likeli-hood ratio-based quantitative comparison | Statistical similarity descriptors | Impressed marks only | No (mark level only) | No (quantitative comparison, not classification) | No 2D region-specific geometric or texture-based feature analysis (FP, BF, AN) as performed in present study. |
| Tai and Eddy [14] | 3D topography | Topo-graphic correlation | 3D surface metrics | No | General casing | Yes | Requires specialized equipment; no 2D feature analysis. |
| Kara and Karatatar [1] | 3D images | Matching system | Geometric 3D features | No | Cartridge base | Yes | Region-agnostic, 3D only. |
| Basu et al. [2] | 2D images | Digital imaging | Circle analysis, region similarity | Yes | FP, base | Yes | No manual feature analysis; focused on model outcomes. |
| Bouthillier et al. [6] | 2D images | Deep learning ROI detection | Learned CNN features | Yes | FP, BF, AN | Yes | No manual features; black-box segmentation. |
| Patten et al. [15] | 2D optical | Contrastive Deep Learning | Learned similarity embeddings | Partial | BF | No | Focuses only on BF region with deep embeddings; lacks interpretable handcrafted features and multi-region analysis. |
| Our Study (2025) | 2D images | LabelMe + ImageJ | Geometric + Texture (LBP, Haralick) | Yes | FP, BF, AN | No | Manual region-wise features, multi-region analysis, intra-class similarity. |
| Images | FP_ Area mm2 | FP_ Perimeter mm | FP_ Aspect_ Ratio | FP_ Circularity | FP_ Solidity | FP_ Roundness | FP_ Eccentricity |
|---|---|---|---|---|---|---|---|
| Sample_1 | 86.663 | 34.8665 | 1 | 0.895834 | 0.992442 | 0.984367 | 0 |
| Sample_2 | 92.2158 | 36.0232 | 1 | 0.892997 | 0.991056 | 0.983488 | 0 |
| Sample_3 | 96.0324 | 36.6718 | 0.992424 | 0.897355 | 0.992438 | 0.978167 | 0.123832 |
| Sample_4 | 92.2158 | 36.0232 | 1 | 0.892997 | 0.991056 | 0.983488 | 0 |
| Sample_5 | 88.7291 | 35.1762 | 1.007937 | 0.90111 | 0.992776 | 0.976342 | 0.139442 |
| Sample_6 | 85.178 | 34.5277 | 1 | 0.897847 | 0.991979 | 0.983167 | 0 |
| Sample_7 | 94.5976 | 36.333 | 1.007692 | 0.90051 | 0.993071 | 0.978319 | 0.128077 |
| Sample_8 | 90.2787 | 35.515 | 1.007874 | 0.899438 | 0.993056 | 0.977933 | 0.114978 |
| Sample_9 | 85.178 | 34.5277 | 1 | 0.897847 | 0.991979 | 0.983167 | 0 |
| Sample_10 | 77.8963 | 33.0612 | 0.991597 | 0.895548 | 0.991055 | 0.976261 | 0.131434 |
| Sample_11 | 79.8261 | 33.3709 | 1 | 0.900778 | 0.992862 | 0.983843 | 0 |
| Sample_12 | 82.4662 | 34.0485 | 1 | 0.893899 | 0.99206 | 0.98333 | 0 |
| Sample_13 | 80.5937 | 33.5403 | 1.008333 | 0.900277 | 0.992403 | 0.976953 | 0.130254 |
| Sample_14 | 81.2537 | 33.7097 | 1 | 0.89855 | 0.991943 | 0.984954 | 0 |
| Sample_15 | 81.8277 | 33.8791 | 0.991803 | 0.89587 | 0.991654 | 0.975717 | 0.134507 |
| Sample_16 | 81.2537 | 33.7097 | 1 | 0.89855 | 0.991943 | 0.984954 | 0 |
| Sample_17 | 89.3748 | 35.3456 | 1 | 0.898988 | 0.992986 | 0.983447 | 0 |
| Sample_18 | 78.3554 | 33.0321 | 1 | 0.902413 | 0.992729 | 0.982016 | 0 |
| Sample_19 | 85.178 | 34.5277 | 1 | 0.897847 | 0.991979 | 0.983167 | 0 |
| Sample_20 | 493.6204 | 83.0184 | 1 | 0.900025 | 0.996409 | 0.99317 | 0 |
| Images | BF_ Area mm2 | BF_ Inner_ Perimeter_ mm | BF_ Outer_ Perimeter_ mm | BF_ Aspect_ Ratio | BF_ Circularity | BF_ Roundness | BF_ Solidity | BF_ Eccentricity |
|---|---|---|---|---|---|---|---|---|
| Sample_1 | 1076.185 | 59.3223 | 122.7925 | 1 | 0.896919 | 0.991063 | 0.997075 | 1 |
| Sample_2 | 879.2565 | 58.8432 | 111.1429 | 1 | 0.894462 | 0.990097 | 0.996455 | 1 |
| Sample_3 | 750.8977 | 58.8432 | 102.5666 | 1 | 0.896971 | 0.989446 | 0.996458 | 1 |
| Sample_4 | 686.6609 | 54.8939 | 98.1382 | 1 | 0.895935 | 0.989171 | 0.996253 | 1 |
| Sample_5 | 897.2204 | 58.8432 | 112.1012 | 1 | 0.897198 | 0.99027 | 0.996621 | 1 |
| Sample_6 | 759.2483 | 61.6358 | 103.2442 | 1 | 0.89508 | 0.989634 | 0.996385 | 1 |
| Sample_7 | 750.8977 | 58.8432 | 102.5666 | 1 | 0.896971 | 0.989446 | 0.996458 | 1 |
| Sample_8 | 826.7278 | 57.6865 | 107.6727 | 1 | 0.896109 | 0.989884 | 0.996472 | 1 |
| Sample_9 | 852.8702 | 60.4791 | 109.3086 | 1 | 0.896983 | 0.990086 | 0.996379 | 1 |
| Sample_10 | 817.9323 | 60.9582 | 107.1936 | 1 | 0.894519 | 0.989608 | 0.996295 | 1 |
| Sample_11 | 602.6092 | 57.6865 | 91.8753 | 1 | 0.897114 | 0.988069 | 0.996158 | 1 |
| Sample_12 | 726.4197 | 58.8432 | 100.9308 | 1 | 0.896087 | 0.989274 | 0.99634 | 1 |
| Sample_13 | 809.4669 | 55.373 | 106.516 | 1 | 0.89656 | 0.989675 | 0.996608 | 1 |
| Sample_14 | 750.8977 | 60.9582 | 102.5666 | 1 | 0.896971 | 0.989446 | 0.996458 | 1 |
| Sample_15 | 767.4698 | 58.1656 | 103.7234 | 1 | 0.896433 | 0.989593 | 0.996349 | 1 |
| Sample_16 | 750.8977 | 59.8015 | 102.5666 | 1 | 0.896971 | 0.989446 | 0.996458 | 1 |
| Sample_17 | 702.2286 | 56.5297 | 99.2949 | 1 | 0.895024 | 0.988929 | 0.996295 | 1 |
| Sample_18 | 852.8702 | 57.0089 | 109.3086 | 1 | 0.896983 | 0.990086 | 0.996379 | 1 |
| Sample_19 | 817.9323 | 57.6865 | 107.1936 | 1 | 0.894519 | 0.989608 | 0.996295 | 1 |
| Sample_20 | 6415.746 | 143.4975 | 299.719 | 1 | 0.897487 | 0.996403 | 0.998629 | 1 |
| Images | AN_ Area mm2 | AN_ Inner_ Perimeter_ mm | AN_ Outer_ Perimeter_ mm | AN_ Circularity | AN_ Roundness | AN_ Eccentricity |
|---|---|---|---|---|---|---|
| Sample_1 | 573.8985 | 144.6263 | 758.2747 | 0.344786 | 0.374289 | 0.228884 |
| Sample_2 | 639.1815 | 146.1213 | 758.2747 | 0.37619 | 0.404393 | 0.349422 |
| Sample_3 | 458.2571 | 138.7337 | 758.2747 | 0.299196 | 0.324409 | 0.273852 |
| Sample_4 | 538.1638 | 139.0433 | 758.2747 | 0.349803 | 0.387028 | 0.187827 |
| Sample_5 | 531.1674 | 143.8087 | 758.2747 | 0.322753 | 0.354512 | 0.054759 |
| Sample_6 | 596.859 | 139.2126 | 758.2747 | 0.387012 | 0.427521 | 0.155653 |
| Sample_7 | 461.1962 | 139.382 | 758.2747 | 0.29832 | 0.326411 | 0.13127 |
| Sample_8 | 587.7694 | 143.3298 | 758.2747 | 0.359537 | 0.392289 | 0.255941 |
| Sample_9 | 467.5259 | 135.7729 | 758.2747 | 0.318706 | 0.350286 | 0.141315 |
| Sample_10 | 429.4113 | 134.9262 | 758.2747 | 0.296409 | 0.327028 | 0.090199 |
| Sample_11 | 517.5187 | 140.5383 | 758.2747 | 0.329266 | 0.360504 | 0.128618 |
| Sample_12 | 512.6943 | 136.7598 | 758.2747 | 0.34447 | 0.377856 | 0.146265 |
| Sample_13 | 476.0707 | 135.7729 | 758.2747 | 0.32453 | 0.35095 | 0.219326 |
| Sample_14 | 485.2965 | 135.2649 | 758.2747 | 0.333309 | 0.36059 | 0.298176 |
| Sample_15 | 549.619 | 139.2126 | 758.2747 | 0.356381 | 0.387446 | 0.259407 |
| Sample_16 | 443.7482 | 141.6655 | 758.2747 | 0.277855 | 0.301982 | 0.326942 |
| Sample_17 | 606.1708 | 139.6916 | 758.2747 | 0.390359 | 0.427312 | 0.079116 |
| Sample_18 | 444.1998 | 132.9814 | 758.2747 | 0.315651 | 0.349734 | 0.093138 |
| Sample_19 | 480.8736 | 134.9262 | 758.2747 | 0.331931 | 0.367642 | 0.267323 |
| Sample_20 | 584.515 | 141.4962 | 758.2747 | 0.366873 | 0.403973 | 0.177416 |
| Images | FP_ Haralick_ Contrast | FP_ Haralick_ Cor- relation | FP_ Haralick_ Energy | FP_ Haralick_ Homo- geneity | FP_ LBP_ 0 | FP_ LBP_ 1 | FP_ LBP_ 2 | FP_ LBP_ 3 | FP_ LBP_ 4 | FP_ LBP_ 5 | FP_ LBP_ 6 | FP_ LBP_ 7 | FP_ LBP_ 8 | FP_ LBP_ 9 |
|---|---|---|---|---|---|---|---|---|---|---|---|---|---|---|
| Sample_1 | 0.000923 | 112.9004 | 0.987861 | 4651.822 | 0.058171 | 0.072367 | 0.066248 | 0.140002 | 0.151179 | 0.123603 | 0.074978 | 0.07612 | 0.10084 | 0.136493 |
| Sample_2 | 0.001388 | 113.9673 | 0.98807 | 4775.535 | 0.041574 | 0.061594 | 0.068114 | 0.150955 | 0.190995 | 0.157628 | 0.083225 | 0.064509 | 0.082074 | 0.099333 |
| Sample_3 | 0.001248 | 74.24329 | 0.991398 | 4315.027 | 0.040598 | 0.061966 | 0.069039 | 0.153625 | 0.191424 | 0.14891 | 0.087165 | 0.063587 | 0.082891 | 0.100796 |
| Sample_4 | 0.001738 | 136.0345 | 0.986784 | 5146.444 | 0.048171 | 0.065199 | 0.070031 | 0.143515 | 0.171512 | 0.151262 | 0.077012 | 0.071412 | 0.092736 | 0.109151 |
| Sample_5 | 0.001147 | 74.34448 | 0.992823 | 5179.105 | 0.052128 | 0.069026 | 0.069425 | 0.139327 | 0.160928 | 0.139806 | 0.088873 | 0.069185 | 0.091742 | 0.11956 |
| Sample_6 | 0.000595 | 71.3567 | 0.992114 | 4523.289 | 0.058184 | 0.074037 | 0.073041 | 0.130312 | 0.149983 | 0.128984 | 0.084661 | 0.072875 | 0.091301 | 0.13662 |
| Sample_7 | 0.001329 | 92.10511 | 0.990271 | 4733.408 | 0.045251 | 0.06365 | 0.06896 | 0.154824 | 0.17472 | 0.144652 | 0.082573 | 0.067016 | 0.090052 | 0.108302 |
| Sample_8 | 0.001926 | 116.1609 | 0.988435 | 5025.172 | 0.047869 | 0.065967 | 0.069962 | 0.141805 | 0.174162 | 0.138045 | 0.077327 | 0.071999 | 0.098793 | 0.114071 |
| Sample_9 | 0.001012 | 84.19541 | 0.99201 | 5268.606 | 0.049718 | 0.067314 | 0.064907 | 0.143343 | 0.170651 | 0.149568 | 0.085159 | 0.069638 | 0.084578 | 0.115123 |
| Sample_10 | 0.000698 | 74.35791 | 0.992832 | 5188.19 | 0.059405 | 0.076093 | 0.069563 | 0.123073 | 0.153909 | 0.130963 | 0.082804 | 0.081081 | 0.088881 | 0.134228 |
| Sample_11 | 0.001672 | 94.10821 | 0.991337 | 5432.615 | 0.055683 | 0.070999 | 0.066926 | 0.134295 | 0.154125 | 0.133144 | 0.080028 | 0.07392 | 0.10455 | 0.126328 |
| Sample_12 | 0.000846 | 95.08202 | 0.989163 | 4390.857 | 0.055022 | 0.071049 | 0.072249 | 0.134299 | 0.165238 | 0.129585 | 0.080305 | 0.076106 | 0.093075 | 0.123072 |
| Sample_13 | 0.001909 | 69.75816 | 0.993365 | 5258.536 | 0.048579 | 0.072957 | 0.06489 | 0.13469 | 0.166871 | 0.140126 | 0.078043 | 0.071992 | 0.105314 | 0.116538 |
| Sample_14 | 0.000833 | 117.1429 | 0.991538 | 6919.47 | 0.056797 | 0.069844 | 0.070105 | 0.137688 | 0.157345 | 0.134035 | 0.081326 | 0.074628 | 0.089502 | 0.128729 |
| Sample_15 | 0.002302 | 126.2203 | 0.989048 | 5765.613 | 0.046122 | 0.068406 | 0.066505 | 0.13897 | 0.181119 | 0.141216 | 0.077129 | 0.068492 | 0.102608 | 0.109432 |
| Sample_16 | 0.002726 | 104.7597 | 0.990712 | 5639.892 | 0.054536 | 0.064365 | 0.064452 | 0.141515 | 0.160303 | 0.134731 | 0.080021 | 0.072367 | 0.107419 | 0.120292 |
| Sample_17 | 0.000867 | 81.01344 | 0.988881 | 3642.507 | 0.054997 | 0.073039 | 0.068133 | 0.133022 | 0.163726 | 0.126533 | 0.083802 | 0.070982 | 0.094168 | 0.131598 |
| Sample_18 | 0.001928 | 143.2823 | 0.986418 | 5276.043 | 0.050681 | 0.07016 | 0.069348 | 0.142484 | 0.159077 | 0.132293 | 0.077284 | 0.073677 | 0.104698 | 0.120299 |
| Sample_19 | 0.001932 | 124.4238 | 0.988717 | 5513.325 | 0.051046 | 0.069555 | 0.065405 | 0.139857 | 0.166833 | 0.138944 | 0.081092 | 0.071962 | 0.099519 | 0.115787 |
| Sample_20 | 0.00311 | 154.412 | 0.986481 | 5709.232 | 0.042509 | 0.064964 | 0.065992 | 0.149469 | 0.179979 | 0.141498 | 0.081162 | 0.07122 | 0.101131 | 0.102074 |
| Images | BF_ Haralick_ Contrast | BF_ Correlation | BF_ LBP_ 0 | BF_ LBP_ 1 | BF_ LBP_ 2 | BF_ LBP_ 3 | BF_ LBP_ 4 | BF_ LBP_ 5 | BF_ LBP_ 6 | BF_ LBP_ 7 | BF_ LBP_ 8 | BF_ LBP_ 9 |
|---|---|---|---|---|---|---|---|---|---|---|---|---|
| Sample_1 | 0.000319 | 0.993087 | 0 | 0 | 0.000155 | 0 | 0.000217 | 0 | 0.000155 | 0.999472 | ||
| Sample_2 | 0.000298 | 0.991651 | 0 | 0 | 0.000143 | 0 | 0.000204 | 0 | 0.000143 | 0.999508 | ||
| Sample_3 | 0.000283 | 0.990114 | 0 | 0 | 0.000137 | 0 | 0.000193 | 0 | 0.000137 | 0.999532 | ||
| Sample_4 | 0.000268 | 0.989997 | 0 | 0 | 0.000129 | 0 | 0.000183 | 0 | 0.000129 | 0.999556 | ||
| Sample_5 | 0.000299 | 0.99183 | 0 | 0 | 0.000145 | 0 | 0.000204 | 0 | 0.000145 | 0.999504 | ||
| Sample_6 | 0.000289 | 0.989587 | 0 | 0 | 0.000139 | 0 | 0.000198 | 0 | 0.000139 | 0.999522 | ||
| Sample_7 | 0.000283 | 0.990114 | 0 | 0 | 0.000137 | 0 | 0.000193 | 0 | 0.000137 | 0.999532 | ||
| Sample_8 | 0.00029 | 0.991297 | 0 | 0 | 0.00014 | 0 | 0.000198 | 0 | 0.00014 | 0.999521 | ||
| Sample_9 | 0.000297 | 0.991104 | 0 | 0 | 0.000144 | 0 | 0.000203 | 0 | 0.000144 | 0.999508 | ||
| Sample_10 | 0.000294 | 0.990573 | 0 | 0 | 0.000142 | 0 | 0.000201 | 0 | 0.000142 | 0.999513 | ||
| Sample_11 | 0.000262 | 0.98745 | 0 | 0 | 0.000127 | 0 | 0.000178 | 0 | 0.000127 | 0.999566 | ||
| Sample_12 | 0.00028 | 0.989728 | 0 | 0 | 0.000135 | 0 | 0.000191 | 0 | 0.000135 | 0.999537 | ||
| Sample_13 | 0.000283 | 0.991492 | 0 | 0 | 0.000138 | 0 | 0.000193 | 0 | 0.000138 | 0.99953 | ||
| Sample_14 | 0.000286 | 0.989601 | 0 | 0 | 0.000139 | 0 | 0.000194 | 0 | 0.000139 | 0.999526 | ||
| Sample_15 | 0.000283 | 0.990474 | 0 | 0 | 0.000138 | 0 | 0.000193 | 0 | 0.000138 | 0.99953 | ||
| Sample_16 | 0.000284 | 0.989873 | 0 | 0 | 0.000138 | 0 | 0.000193 | 0 | 0.000138 | 0.999529 | ||
| Sample_17 | 0.000273 | 0.989857 | 0 | 0 | 0.000132 | 0 | 0.000186 | 0 | 0.000132 | 0.999548 | ||
| Sample_18 | 0.000291 | 0.991673 | 0 | 0 | 0.000142 | 0 | 0.000198 | 0 | 0.000142 | 0.999517 | ||
| Sample_19 | 0.000289 | 0.991193 | 0 | 0 | 0.000139 | 0 | 0.000198 | 0 | 0.000139 | 0.999522 | ||
| Sample_20 | 0.000776 | 0.996792 | 0 | 0 | 0.000376 | 0 | 0.000531 | 0 | 0.000376 | 0.998715 |
| Images | AN_ Haralick_ ASM | AN_ Haralick_ Contrast | AN_ Haralick_ Cor- relation | AN_ Haralick_ Homo- geneity | AN_ LBP_ 0 | AN_ LBP_ 1 | AN_ LBP_ 2 | AN_ LBP_ 3 | AN_ LBP_ 4 | AN_ LBP_ 5 | AN_ LBP_ 6 | AN_ LBP_ 7 | AN_ LBP_ 8 | AN_ LBP_ 9 |
|---|---|---|---|---|---|---|---|---|---|---|---|---|---|---|
| Sample_1 | 0.484586 | 98.45453 | 0.974987 | 0.754657 | 0.054885 | 0.069186 | 0.067563 | 0.142832 | 0.186413 | 0.13214 | 0.075707 | 0.069037 | 0.08084 | 0.121398 |
| Sample_2 | 0.446632 | 159.441 | 0.980138 | 0.727278 | 0.037324 | 0.05418 | 0.06101 | 0.156293 | 0.254267 | 0.157717 | 0.071249 | 0.055055 | 0.064251 | 0.088655 |
| Sample_3 | 0.540399 | 78.92395 | 0.980297 | 0.786411 | 0.046084 | 0.059865 | 0.064104 | 0.146495 | 0.230325 | 0.145979 | 0.067515 | 0.060913 | 0.073334 | 0.105386 |
| Sample_4 | 0.478227 | 113.4381 | 0.976872 | 0.740432 | 0.04377 | 0.056691 | 0.062991 | 0.158137 | 0.243999 | 0.143938 | 0.066947 | 0.059182 | 0.065375 | 0.098969 |
| Sample_5 | 0.511526 | 116.3049 | 0.975381 | 0.762515 | 0.039853 | 0.057464 | 0.065238 | 0.159937 | 0.239467 | 0.153999 | 0.073335 | 0.057464 | 0.061135 | 0.092108 |
| Sample_6 | 0.4343 | 70.03417 | 0.968896 | 0.724341 | 0.057493 | 0.070104 | 0.066045 | 0.137085 | 0.191756 | 0.125519 | 0.070825 | 0.069744 | 0.084949 | 0.12648 |
| Sample_7 | 0.541955 | 106.9364 | 0.974467 | 0.77849 | 0.045821 | 0.061162 | 0.061815 | 0.146323 | 0.253074 | 0.142453 | 0.064395 | 0.059328 | 0.063758 | 0.10187 |
| Sample_8 | 0.466165 | 145.7844 | 0.978767 | 0.733598 | 0.039003 | 0.055992 | 0.064785 | 0.161195 | 0.24153 | 0.151609 | 0.070737 | 0.058504 | 0.064017 | 0.092629 |
| Sample_9 | 0.515806 | 164.0703 | 0.977046 | 0.761914 | 0.038914 | 0.056286 | 0.065808 | 0.165087 | 0.230297 | 0.151242 | 0.068951 | 0.059322 | 0.072554 | 0.091536 |
| Sample_10 | 0.54486 | 97.75904 | 0.972533 | 0.78251 | 0.048211 | 0.06609 | 0.069713 | 0.153348 | 0.207936 | 0.135185 | 0.071232 | 0.067926 | 0.071599 | 0.108759 |
| Sample_11 | 0.502737 | 78.23732 | 0.965527 | 0.773904 | 0.07671 | 0.086365 | 0.062609 | 0.109954 | 0.135773 | 0.099219 | 0.067208 | 0.084938 | 0.113555 | 0.16367 |
| Sample_12 | 0.483988 | 71.26542 | 0.974954 | 0.749887 | 0.050153 | 0.064582 | 0.065673 | 0.144853 | 0.219935 | 0.140392 | 0.06977 | 0.064177 | 0.071126 | 0.109339 |
| Sample_13 | 0.508466 | 121.0142 | 0.979045 | 0.767984 | 0.042643 | 0.062835 | 0.059025 | 0.151132 | 0.234295 | 0.153225 | 0.073029 | 0.060411 | 0.063889 | 0.099515 |
| Sample_14 | 0.498088 | 94.63686 | 0.974461 | 0.755311 | 0.054787 | 0.069026 | 0.059971 | 0.135068 | 0.225055 | 0.12919 | 0.066249 | 0.068066 | 0.074787 | 0.117801 |
| Sample_15 | 0.47008 | 117.9658 | 0.973348 | 0.741863 | 0.049497 | 0.063035 | 0.063191 | 0.142686 | 0.22518 | 0.136869 | 0.069947 | 0.064404 | 0.07223 | 0.112962 |
| Sample_16 | 0.569052 | 103.3127 | 0.964837 | 0.79217 | 0.0473 | 0.062372 | 0.060304 | 0.151188 | 0.244915 | 0.14526 | 0.065344 | 0.056782 | 0.063583 | 0.102951 |
| Sample_17 | 0.431063 | 48.25809 | 0.984415 | 0.730156 | 0.064415 | 0.076466 | 0.062487 | 0.123166 | 0.169665 | 0.116496 | 0.068199 | 0.075756 | 0.098213 | 0.145138 |
| Sample_18 | 0.51941 | 163.0916 | 0.977501 | 0.762004 | 0.040377 | 0.057209 | 0.063954 | 0.160249 | 0.247442 | 0.152874 | 0.06736 | 0.058936 | 0.064116 | 0.087483 |
| Sample_19 | 0.50024 | 130.6641 | 0.977765 | 0.754995 | 0.042545 | 0.06097 | 0.063311 | 0.160937 | 0.230047 | 0.143049 | 0.068275 | 0.063773 | 0.06744 | 0.099654 |
| Sample_20 | 0.458427 | 100.8595 | 0.978998 | 0.746483 | 0.062276 | 0.077459 | 0.06598 | 0.12974 | 0.15531 | 0.114226 | 0.071854 | 0.07985 | 0.102269 | 0.141035 |
| Most Similar Pair | Distance |
|---|---|
| Sample_6 and Sample_17 | 0.35 |
| Sample_ 7 and Sample_13 | 0.43 |
| Sample_4 and Sample_15 | 0.46 |
| Sample_3 and Sample_7 | 0.48 |
| Sample_13 and Sample_18 | 0.50 |
| Sample_5 and Sample_13 | 0.51 |
| Sample_1 and Sample_12 | 0.56 |
| Sample_5 and Sample_7 | 0.58 |
| Sample | Mean Distance | Sample | Mean Distance |
|---|---|---|---|
| Sample_1 | 1.062751859 | Sample_11 | 1.2577843 |
| Sample_2 | 1.546322539 | Sample_12 | 1.065836041 |
| Sample_3 | 1.16549724 | Sample_13 | 0.937817775 |
| Sample_4 | 1.04622562 | Sample_14 | 0.997822123 |
| Sample_5 | 1.002137125 | Sample_15 | 1.011383223 |
| Sample_6 | 1.283075564 | Sample_16 | 1.205106399 |
| Sample_7 | 1.043653353 | Sample_17 | 1.364173482 |
| Sample_8 | 1.067855305 | Sample_18 | 1.187408828 |
| Sample_9 | 1.077388502 | Sample_19 | 1.097683177 |
| Sample_10 | 1.329862666 | Sample_20 | 2.147209256 |
Disclaimer/Publisher’s Note: The statements, opinions and data contained in all publications are solely those of the individual author(s) and contributor(s) and not of MDPI and/or the editor(s). MDPI and/or the editor(s) disclaim responsibility for any injury to people or property resulting from any ideas, methods, instructions or products referred to in the content. |
© 2025 by the authors. Licensee MDPI, Basel, Switzerland. This article is an open access article distributed under the terms and conditions of the Creative Commons Attribution (CC BY) license (https://creativecommons.org/licenses/by/4.0/).
Share and Cite
Baruah, S.; Suresh, R.; Govindarajulu, R.B.; Kumar, C.J.; Chanda, B.; Dugar, L.; Saikia, M.J. Feature Extraction and Comparative Analysis of Firing Pin, Breech Face, and Annulus Impressions from Ballistic Cartridge Images. Forensic Sci. 2025, 5, 62. https://doi.org/10.3390/forensicsci5040062
Baruah S, Suresh R, Govindarajulu RB, Kumar CJ, Chanda B, Dugar L, Saikia MJ. Feature Extraction and Comparative Analysis of Firing Pin, Breech Face, and Annulus Impressions from Ballistic Cartridge Images. Forensic Sciences. 2025; 5(4):62. https://doi.org/10.3390/forensicsci5040062
Chicago/Turabian StyleBaruah, Sangita, R. Suresh, Rajesh Babu Govindarajulu, Chandan Jyoti Kumar, Bibhakar Chanda, Lakshya Dugar, and Manob Jyoti Saikia. 2025. "Feature Extraction and Comparative Analysis of Firing Pin, Breech Face, and Annulus Impressions from Ballistic Cartridge Images" Forensic Sciences 5, no. 4: 62. https://doi.org/10.3390/forensicsci5040062
APA StyleBaruah, S., Suresh, R., Govindarajulu, R. B., Kumar, C. J., Chanda, B., Dugar, L., & Saikia, M. J. (2025). Feature Extraction and Comparative Analysis of Firing Pin, Breech Face, and Annulus Impressions from Ballistic Cartridge Images. Forensic Sciences, 5(4), 62. https://doi.org/10.3390/forensicsci5040062

