Solid-State Materials for Opto-Spintronics: Focus on Ferromagnets and 2D Materials
Abstract
1. Introduction
2. Fundamentals
2.1. Light–Spin Interactions
2.2. Optical Spin Transfer and Spin–Orbit Torque
2.3. Fundamentals of Spintronics
2.3.1. Spintronics
2.3.2. Spin–Orbit Interactions
2.3.3. Optical Spin Transfer
- Principles and Mechanisms
- Challenges and Limitations
2.4. Spin–Orbit Torque
2.4.1. Origins and Mechanisms
2.4.2. Types of Spin–Orbit Torque
- Damping-Like SOT: This torque is predominantly generated by the SHE and is useful for magnetization switching and domain wall motion. It is particularly well suited for memory applications such as magnetic random-access memory (MRAM) [28].
- Field-like SOT: Field-like SOT, which originates from the Rashba–Edelstein phenomenon, aids in precessional dynamics and improves overall magnetization control [32].
- Materials Selection and Efficiency: Identifying materials with high spin Hall angles and strong electrical conductivity is critical for successful SOT applications. While materials such as heavy metals, oxides, and topological insulators have been discovered, obtaining high SOT efficiency and electrical conductivity remains difficult.
- Symmetry and Strain Engineering: Because of the mirror symmetry of popular spin-source materials, it is difficult to achieve deterministic field-free switching of perpendicular magnetization. Strain engineering and symmetry breaking are being investigated as potential solutions to this constraint.
- Ferromagnet-Induced SOT: The invention of ferromagnet-induced SOT, which combines exchange and spin–orbit interactions, opens up new possibilities, but it also necessitates precise control over the generated spin direction and magnetization [34].
2.4.3. Technical Challenges
- Field-Free Switching: Most SOT applications require an external magnetic field for deterministic switching, limiting the materials and topologies that can be used. Techniques like symmetry breaking and unconventional SOT are being researched to enable field-free switching.
- Device Integration: Differences in material qualities and fabrication procedures make it difficult to integrate SOT materials into existing semiconductor technology. Commercial applications require device compatibility and reliability.
2.5. Comparison of Optical Spin Transfer and Other Spin-Manipulation Techniques
2.5.1. Speed and Efficiency
2.5.2. Control and Precision
2.5.3. Applications
2.5.4. Challenges
2.6. Future Prospects and Research Directions
3. Applications and Advancements
3.1. Material Platforms
3.2. Quantum Information Processing
- Optical Initialization: Qubits are prepared in specific states via the excitation of spin-selective transitions in systems such as donor atoms, color centers, and quantum dots by circularly polarized light.
- Coherent Optical Control: Often in nanophotonic systems, laser-driven Raman transitions, optical Stark shifts, and cavity-enhanced coupling allow for precise spin-state manipulation for single-qubit rotations and entangling gates.
- Spin–Photon Entanglement: Resonant optical transitions enable distributed entanglement for quantum networks by entangling a spin with the polarization, frequency, or time-bin of a photon through radiative decay or cavity-modified emission.
- Optical Readout: Using variations in fluorescence or emission lifetimes, spin-dependent photoluminescence, or cavity transmission is used to measure final spin states.
3.3. Energy Harvesting and Sensing
3.4. 2D Magnets in Opto-Spintronics
3.5. Room-Temperature Control of Molecular Spins
4. Conclusions
Author Contributions
Funding
Institutional Review Board Statement
Informed Consent Statement
Data Availability Statement
Acknowledgments
Conflicts of Interest
References
- Fang, N.; Wu, C.; Zhang, Y.; Li, Z.; Zhou, Z. Perspectives: Light control of magnetism and device development. ACS Nano 2024, 18, 8600–8625. [Google Scholar] [CrossRef] [PubMed]
- Sierra, J.F.; Fabian, J.; Kawakami, R.K.; Roche, S.; Valenzuela, S.O. Van der Waals heterostructures for spintronics and opto-spintronics. Nat. Nanotechnol. 2021, 16, 856–868. [Google Scholar] [CrossRef]
- Chen, H.; Zhang, J.; Kan, D.; He, J.; Song, M.; Pang, J.; Wei, S.; Chen, K. The recent progress of Two-Dimensional Transition Metal Dichalcogenides and their phase transition. Crystals 2022, 12, 1381. [Google Scholar] [CrossRef]
- Jia, Z.; Zhao, M.; Chen, Q.; Tian, Y.; Liu, L.; Zhang, F.; Zhang, D.; Ji, Y.; Camargo, B.; Ye, K.; et al. Spintronic Devices upon 2D Magnetic Materials and Heterojunctions. ACS Nano 2025, 19, 9452–9483. [Google Scholar] [CrossRef] [PubMed]
- Xu, X.; Lou, Z.; Cheng, S.; Chow, P.C.; Koch, N.; Cheng, H.-M. Van der Waals organic/inorganic heterostructures in the two-dimensional limit. Chem 2021, 7, 2989–3026. [Google Scholar] [CrossRef]
- Meng, F.; Donnelly, C.; Skoric, L.; Hierro-Rodriguez, A.; Liao, J.-W.; Fernández-Pacheco, A. Fabrication of a 3D Nanomagnetic Circuit with Multi-Layered Materials for Applications in Spintronics. Micromachines 2021, 12, 859. [Google Scholar] [CrossRef] [PubMed]
- Rojas-Lopez, R.R.; Hendriks, F.; van der Wal, C.H.; Guimarães, P.S.S.; Guimarães, M.H.D. Charge dynamics in the 2D/3D semiconductor heterostructure WSe2/GaAs. Appl. Phys. Lett. 2024, 125, 132104. [Google Scholar] [CrossRef]
- Song, T.; Xu, X. The future of 2D spintronics. Nat. Rev. Electr. Eng. 2024, 1, 696–697. [Google Scholar] [CrossRef]
- Hu, X.-M.; Guo, Y.; Liu, B.-H.; Li, C.-F.; Guo, G.-C. Progress in quantum teleportation. Nat. Rev. Phys. 2023, 5, 339–353. [Google Scholar] [CrossRef]
- Guimarães, F.S.M.; Bouaziz, J.; Dias, M.d.S.; Lounis, S. Spin-orbit torques and their associated effective fields from gigahertz to terahertz. Commun. Phys. 2020, 3, 19. [Google Scholar] [CrossRef]
- Davies, C.S.; Kirilyuk, A. Epsilon-near-zero regime for ultrafast opto-spintronics. Npj Spintron. 2024, 2, 20. [Google Scholar] [CrossRef] [PubMed]
- Al-Qatatsheh, A.; Juodkazis, S.; Hameed, N. Bridging performance gaps: Exploring new classes of materials for future spintronics technological challenges. Adv. Quantum Technol. 2023, 6, 2300204. [Google Scholar] [CrossRef]
- Vernon, A.J.; Golat, S.; Rigouzzo, C.; Lim, E.A.; Rodríguez-Fortuño, F.J. A decomposition of light’s spin angular momentum density. Light Sci. Appl. 2024, 13, 160. [Google Scholar] [CrossRef] [PubMed]
- Darrigol, O. A Faradayan principle for selecting classical field theories. Int. Stud. Philos. Sci. 2007, 21, 35–55. [Google Scholar] [CrossRef]
- Seo, Y.; Kwon, K.-W. High-Density 1R/1W Dual-Port Spin-Transfer Torque MRAM. Micromachines 2022, 13, 2224. [Google Scholar] [CrossRef]
- Cai, H.; Kang, W.; Wang, Y.; Naviner, L.A.D.B.; Yang, J.; Zhao, W. High Performance MRAM with Spin-Transfer-Torque and Voltage-Controlled Magnetic Anisotropy Effects. Appl. Sci. 2017, 7, 929. [Google Scholar] [CrossRef]
- Dyakonov, M.I. Optical Orientation of Spins in Semiconductors. In Encyclopedia of Condensed Matter Physics; Elsevier: Amsterdam, The Netherlands, 2024; pp. 223–232. [Google Scholar] [CrossRef]
- Song, C.; Zhang, R.; Liao, L.; Zhou, Y.; Zhou, X.; Chen, R.; You, Y.; Chen, X.; Pan, F. Spin-orbit torques: Materials, mechanisms, performances, and potential applications. Prog. Mater. Sci. 2021, 118, 100761. [Google Scholar] [CrossRef]
- Mahfouzi, F.; Mishra, R.; Chang, P.-H.; Yang, H.; Kioussis, N. Microscopic origin of spin-orbit torque in ferromagnetic heterostructures: A first-principles approach. Phys. Rev. B 2020, 101, 060405. [Google Scholar] [CrossRef]
- Shao, Q.; Li, P.; Liu, L.; Yang, H.; Fukami, S.; Razavi, A.; Wu, H.; Wang, K.; Freimuth, F.; Mokrousov, Y.; et al. Roadmap of spin-orbit torques. arXiv 2021. [Google Scholar] [CrossRef]
- Ji, G.; Zhang, Y.; Chai, Y.; Nan, T. Recent progress on controlling spin-orbit torques by materials design. Npj Spintron. 2024, 2, 56. [Google Scholar] [CrossRef]
- Lee, S.; Liu, X.; Furdyna, J. Controlling magnetization in ferromagnetic semiconductors by Current-Induced Spin-Orbit torque. Materials 2025, 18, 271. [Google Scholar] [CrossRef]
- Němec, P.; Rozkotová, E.; Tesařová, N.; Trojánek, F.; De Ranieri, E.; Olejník, K.; Zemen, J.; Novák, V.; Cukr, M.; Malý, P.; et al. Experimental observation of the optical spin transfer torque. Nat. Phys. 2012, 8, 411–415. [Google Scholar] [CrossRef]
- Willems, F.; Schmising, C.v.K.; Strüber, C.; Schick, D.; Engel, D.W.; Dewhurst, J.K.; Elliott, P.; Sharma, S.; Eisebitt, S. Optical inter-site spin transfer probed by energy and spin-resolved transient absorption spectroscopy. Nat. Commun. 2020, 11, 871. [Google Scholar] [CrossRef] [PubMed]
- Leitao, D.C.; van Riel, F.J.F.; Rasly, M.; Araujo, P.D.R.; Salvador, M.; Paz, E.; Koopmans, B. Enhanced performance and functionality in spintronic sensors. Npj Spintron. 2024, 2, 54. [Google Scholar] [CrossRef]
- Aeschlimann, M.; Bange, J.P.; Bauer, M.; Bovensiepen, U.; Elmers, H.-J.; Fauster, T.; Gierster, L.; Höfer, U.; Huber, R.; Li, A.; et al. Time-resolved photoelectron spectroscopy at surfaces. Surf. Sci. 2024, 753, 122631. [Google Scholar] [CrossRef]
- Haney, P.M.; Stiles, M.D. Current-Induced torques in the presence of Spin-Orbit coupling. Phys. Rev. Lett. 2010, 105, 126602. [Google Scholar] [CrossRef]
- Spin Orbit torque. Intuitive Tutorials. Available online: https://intuitivetutorial.com/2024/08/05/harnessing-quantum-forces-the-microscopic-origins-of-spin-orbit-torque (accessed on 10 January 2025).
- Žutić, I.; Fabian, J.; Sarma, S.D. Spintronics: Fundamentals and applications. Rev. Mod. Phys. 2004, 76, 323–410. [Google Scholar] [CrossRef]
- Li, J.; Haney, P.M. Optical spin transfer and spin-orbit torques in thin-film ferromagnets. Phys. Rev. B 2017, 96, 054447. [Google Scholar] [CrossRef]
- Chen, J.; Koc, H.; Zhao, S.; Wang, K.; Chao, L.; Eginligil, M. Emerging nonlinear photocurrents in lead halide perovskites for spintronics. Materials 2024, 17, 1820. [Google Scholar] [CrossRef]
- Amin, V.P.; Haney, P.M.; Stiles, M.D. Interfacial spin–orbit torques. J. Appl. Phys. 2020, 128, 151101. [Google Scholar] [CrossRef]
- Seo, Y.; Kwon, K.-W. Ultra High-Density SOT-MRAM design for Last-Level On-Chip Cache Application. Electronics 2023, 12, 4223. [Google Scholar] [CrossRef]
- Kim, K.-W.; Park, B.-G.; Lee, K.-J. Spin current and spin-orbit torque induced by ferromagnets. Npj Spintron. 2024, 2, 8. [Google Scholar] [CrossRef]
- Oberbauer, F.; Winkel, T.J.; Böhnert, T.; Claro, M.S.; Benetti, L.; Çaha, I.; Francis, L.; Moradi, F.; Ferreira, R.; Münzenberg, M.; et al. Hybrid Opto-Electrical excitation of Spin-Transfer torque Nano-Oscillators for advanced computing. arXiv 2025. [Google Scholar] [CrossRef]
- Moradi, F.; Farkhani, H.; Zeinali, B.; Ghanatian, H.; Pelloux-Prayer, J.M.A.; Böhnert, T.; Zahedinejad, M.; Heidari, H.; Nabaei, V.; Ferreira, R.; et al. Spin-Orbit-Torque-based devices, circuits and architectures. arXiv 2019. [Google Scholar] [CrossRef]
- Lopez-Dominguez, V.; Shao, Y.; Amiri, P.K. Perspectives on field-free spin–orbit torque devices for memory and computing applications. J. Appl. Phys. 2023, 133, 040902. [Google Scholar] [CrossRef]
- Yang, Y.; Wang, J. Enhancing Unconventional Spin-Orbit Torque Efficiency: First numerical study on the influence of crystallographic texture and polycrystalline effects on Low-Symmetry materials. arXiv 2025. [Google Scholar] [CrossRef]
- Hu, G.; Xiang, B. Recent advances in Two-Dimensional Spintronics. Nanoscale Res. Lett. 2020, 15, 1–17. [Google Scholar] [CrossRef] [PubMed]
- Hu, H.; Wang, K.; Li, W.; Zuo, C.; Tang, R.; Dong, K. Spin–orbit torque-induced memristor in Ta/GdFeCo/Ta structures for neuromorphic computing. J. Magn. Magn. Mater. 2023, 589, 171582. [Google Scholar] [CrossRef]
- Kumar, D.; Maddu, R.; Chung, H.J.; Rahaman, H.; Jin, T.; Bhatti, S.; Ter Lim, S.; Sbiaa, R.; Piramanayagam, S.N. Emulation of neuron and synaptic functions in spin–orbit torque domain wall devices. Nanoscale Horiz. 2024, 9, 1962–1977. [Google Scholar] [CrossRef]
- Shao, Q.; Wang, Z.; Zhou, Y.; Fukami, S.; Querlioz, D.; Yang, J.J.; Chen, Y.; Chua, L.O. Spintronic memristors for computing. arXiv 2021. [Google Scholar] [CrossRef]
- Lone, A.H.; Zou, X.; Mishra, K.K.; Singaravelu, V.; Sbiaa, R.; Fariborzi, H.; Setti, G. Multilayer ferromagnetic spintronic devices for neuromorphic computing applications. Nanoscale 2024, 16, 12431–12444. [Google Scholar] [CrossRef] [PubMed]
- Karak, P.; Moitra, T.; Chakrabarti, S. Relativistic Effects on Photodynamical Processes; Elsevier: Amsterdam, The Netherlands, 2023; pp. 258–279. [Google Scholar] [CrossRef]
- Majumdar, S.; Majumdar, H.; Österbacka, R.; McCarthy, E. Organic Spintronics; Elsevier: Amsterdam, The Netherlands, 2015. [Google Scholar] [CrossRef]
- Zhang, L.; Wang, Y.; Liu, X.; Liu, F. Electrical switching of spin-polarized current in multiferroic tunneling junctions. Npj Comput. Mater. 2022, 8, 197. [Google Scholar] [CrossRef]
- Cheng, F.; Wang, C.; Su, Z.; Wang, X.; Cai, Z.; Sun, N.X.; Liu, Y. All-Optical manipulation of magnetization in ferromagnetic thin films enhanced by plasmonic resonances. Nano Lett. 2020, 20, 6437–6443. [Google Scholar] [CrossRef]
- Mahmood, M.A.; Khan, R.; Al Otaibi, S.; Althubeiti, K.; Abdullaev, S.S.; Rahman, N.; Sohail, M.; Iqbal, S. The Effect of Transition Metals Co-Doped ZnO Nanotubes Based-Diluted Magnetic Semiconductor for Spintronic Applications. Crystals 2023, 13, 984. [Google Scholar] [CrossRef]
- Rusu, M.I.; Tenciu, D.; Zoita, N.C.; Notonier, R.; Tonetto, A.; Grigorescu, C.E.A. Preparation of Bulk Polycrystalline MnGexSby (x = 0.5-1.0; y = 1.5-2.2) Doped with Co or Fe. Appl. Mech. Mater. 2015, 760, 329–334. [Google Scholar] [CrossRef]
- Gish, J.T.; Lebedev, D.; Song, T.W.; Sangwan, V.K.; Hersam, M.C. Van der Waals opto-spintronics. Nat. Electron. 2024, 7, 336–347. [Google Scholar] [CrossRef]
- Mallik, S.K.; Jena, A.K.; Sharma, N.K.; Sahoo, S.; Sahu, M.C.; Gupta, S.K.; Ahuja, R.; Sahoo, S. Transition metal substituted MoS2/WS2 van der Waals heterostructure for realization of dilute magnetic semiconductors. J. Magn. Magn. Mater. 2022, 560, 169567. [Google Scholar] [CrossRef]
- Yue, Y.; Jiang, C.; Han, Y.; Wang, M.; Ren, J.; Wu, Y. Magnetic anisotropies of Mn-, Fe-, and Co-doped monolayer MoS2. J. Magn. Magn. Mater. 2020, 496, 165929. [Google Scholar] [CrossRef]
- Yazyev, O.V.; Moore, J.E.; Louie, S.G. Spin polarization and transport of surface states in the topological insulators Bi2Te3 and Bi2Te3 from first. Phys. Rev. Lett. 2010, 105, 266806. [Google Scholar] [CrossRef]
- Holtgrewe, K.; Hogan, C.; Sanna, S. Evolution of topological surface states following SB layer adsorption on Bi2Se3. Materials 2021, 14, 1763. [Google Scholar] [CrossRef]
- Ogrodnik, P.; Grochot, K.; Karwacki, Ł.; Kanak, J.; Prokop, M.; Chȩciński, J.; Skowroński, W.; Ziȩtek, S.; Stobiecki, T. Study of Spin–Orbit interactions and interlayer ferromagnetic coupling in Co/Pt/Co trilayers in a wide range of Heavy-Metal thickness. ACS Appl. Mater. Interfaces 2021, 13, 47019–47032. [Google Scholar] [CrossRef] [PubMed]
- Li, J.; Haney, P.M. Optical spintronics in organic-inorganic perovskite photovoltaics. Phys. Rev. B 2016, 93, 155432. [Google Scholar] [CrossRef] [PubMed]
- Němec, P.; Fiebig, M.; Kampfrath, T.; Kimel, A.V. Antiferromagnetic opto-spintronics. Nat. Phys. 2018, 14, 229–241. [Google Scholar] [CrossRef]
- Redjem, W.; Zhiyenbayev, Y.; Qarony, W.; Ivanov, V.; Papapanos, C.; Liu, W.; Jhuria, K.; Balushi, Z.A.; Dhuey, S.; Schwartzberg, A.; et al. All-silicon quantum light source by embedding an atomic emis-sive center in a nanophotonic cavity. arXiv 2023. [Google Scholar] [CrossRef]
- Krasnok, A.; Dhakal, P.; Fedorov, A.; Frigola, P.; Kelly, M.; Kutsaev, S. Advancements in superconducting microwave cavities and qubits for quantum information systems. arXiv 2023. [Google Scholar] [CrossRef]
- Reserbat-Plantey, A.; Epstein, I.; Torre, I.; Costa, A.T.; Gonçalves, P.A.D.; Mortensen, N.A.; Polini, M.; Song, J.C.W.; Peres, N.M.R.; Koppens, F.H.L. Quantum Nanophotonics in Two-Dimensional Materials. ACS Photon. 2021, 8, 85–101. [Google Scholar] [CrossRef]
- Clarke, D.D.A.; Hess, O. Near-field strong coupling and entanglement of quantum emitters for room-temperature quantum technologies. arXiv 2024. [Google Scholar] [CrossRef]
- Wang, Y.; Lee, J.; Berezovsky, J.; Feng, P.X.-L. Cavity quantum electrodynamics design with single photon emitters in hexagonal boron nitride. Appl. Phys. Lett. 2021, 118, 244003. [Google Scholar] [CrossRef]
- Harvey-Collard, P.; Dijkema, J.; Zheng, G.; Sammak, A.; Scappucci, G.; Vandersypen, L.M.K. Coherent Spin-Spin coupling mediated by virtual microwave photons. Phys. Rev. X 2022, 12, 021026. [Google Scholar] [CrossRef]
- Prem, S.; Shen, P.-X.; Wysokiński, M.M.; Trif, M. Longitudinal coupling between electrically driven spin qubits and a resonator. Phys. Rev. B 2024, 109, 155304. [Google Scholar] [CrossRef]
- Osika, E.N.; Kocsis, S.; Hsueh, Y.-L.; Monir, S.; Chua, C.; Lam, H.; Voisin, B.; Simmons, M.Y.; Rogge, S.; Rahman, R. Spin-Photon coupling for atomic Qubit devices in silicon. Phys. Rev. Appl. 2022, 17, 054007. [Google Scholar] [CrossRef]
- Fang, R.; Lai, X.; Li, T.; Su, R.; Lu, B.; Yang, C.; Liu, R.; Qiao, Y.; Li, C.; He, Z.; et al. Experimental Generation of Spin-Photon Entanglement in Silicon Carbide. Phys. Rev. Lett. 2024, 132, 160801. [Google Scholar] [CrossRef]
- Song, T.; Anderson, E.; Tu, M.W.-Y.; Seyler, K.; Taniguchi, T.; Watanabe, K.; McGuire, M.A.; Li, X.; Cao, T.; Xiao, D.; et al. Spin photovoltaic effect in magnetic van der Waals heterostructures. Sci. Adv. 2021, 7, abg8094. [Google Scholar] [CrossRef]
- Savadkoohi, M.; Gopman, D.; Suh, P.; Rojas-Dotti, C.; Martínez-Lillo, J.; Tyagi, P. Spin solar cell phenomenon on a Single-Molecule magnet (SMM) impacted CoFeB-Based magnetic tunnel junctions. ACS Appl. Electron. Mater. 2023, 5, 3333–3339. [Google Scholar] [CrossRef]
- Wongjom, P.; Pinitsoontorn, S. Investigation of the spin Seebeck effect and anomalous Nernst effect in a bulk carbon material. Results Phys. 2018, 8, 1245–1249. [Google Scholar] [CrossRef]
- Uchida, K.; Ishida, M.; Kikkawa, T.; Kirihara, A.; Murakami, T.; Saitoh, E. Longitudinal spin Seebeck effect: From fundamentals to applications. J. Phys. Condens. Matter 2014, 26, 343202. [Google Scholar] [CrossRef]
- Kim, J.-M.; Kim, S.-J.; Kang, M.-G.; Choi, J.-G.; Lee, S.; Park, J.; Van Phuoc, C.; Kim, K.-W.; Kim, K.-J.; Jeong, J.-R.; et al. Enhanced spin Seebeck effect via oxygen manipulation. Nat. Commun. 2023, 14, 3365. [Google Scholar] [CrossRef]
- Kumawat, K.; Jain, A.; Yusuf, S. Enhanced longitudinal spin Seebeck effect in Au/Y3Fe5O12. J. Alloys Compd. 2024, 1001, 175187. [Google Scholar] [CrossRef]
- Correa, M.A.; Svalov, A.V.; Ferreira, A.; Gamino, M.; da Silva, E.F.; Bohn, F.; Vaz, F.; de Oliveira, D.F.; Kurlyandskaya, G.V. Longitudinal Spin Seebeck Effect thermopiles based on flexible Co-Rich amorphous Ribbons/Pt Thin-Film heterostructures. Sensors 2023, 23, 7781. [Google Scholar] [CrossRef]
- Lin, Z.; Li, H.; Lv, S.; Zhang, B.; Wu, Z.; Yang, J. Magnetic Force-Assisted nonlinear Three-Dimensional wideband energy harvester using Magnetostrictive/Piezoelectric composite transducers. Micromachines 2022, 13, 1633. [Google Scholar] [CrossRef]
- Pogorzelski, J.; Horsthemke, L.; Homrighausen, J.; Stiegekötter, D.; Gregor, M.; Glösekötter, P. Compact and fully integrated LED Quantum sensor based on NV centers in Diamond. Sensors 2024, 24, 743. [Google Scholar] [CrossRef] [PubMed]
- Wu, Y.; Jelezko, F.; Plenio, M.B.; Weil, T. Diamond Quantum Devices in Biology. Angew. Chem. Int. Ed. Engl. 2016, 55, 6586–6598. [Google Scholar] [CrossRef]
- Fang, H.-H.; Wang, X.-J.; Marie, X.; Sun, H.-B. Quantum sensing with optically accessible spin defects in van der Waals layered materials. Light Sci. Appl. 2024, 13, 303. [Google Scholar] [CrossRef] [PubMed]
- Gibertini, M.; Koperski, M.; Morpurgo, A.F.; Novoselov, K.S. Magnetic 2D materials and heterostructures. Nat. Nanotechnol. 2019, 14, 408–419. [Google Scholar] [CrossRef]
- Chen, Q.; Wang, N.-Y.; Shen, K.-W.; Sun, J. The effect of magnetic order on the thermal transport properties of the intrinsic two-dimensional magnet 2H-VSe2. Phys. Chem. Chem. Phys. 2023, 25, 9817–9823. [Google Scholar] [CrossRef]
- Wu, F.; Gibertini, M.; Watanabe, K.; Taniguchi, T.; Gutiérrez-Lezama, I.; Ubrig, N.; Morpurgo, A.F. Gate-Controlled Magnetotransport and Electrostatic Modulation of Magnetism in 2D Magnetic Semiconductor CrPS4. Adv. Mater. 2023, 35, e2211653. [Google Scholar] [CrossRef]
- Ren, H.; Xiang, G. Strain Engineering of Intrinsic Ferromagnetism in 2D van der Waals Materials. Nanomaterials 2023, 13, 2378. [Google Scholar] [CrossRef] [PubMed]
- Lohmann, M.; Su, T.; Niu, B.; Hou, Y.; Alghamdi, M.; Aldosary, M.; Xing, W.; Zhong, J.; Jia, S.; Han, W.; et al. Probing magnetism in insulating Cr2Ge2Te6 by induced anomalous hall effect in Pt. Nano Lett. 2019, 19, 2397–2403. [Google Scholar] [CrossRef]
- Liu, J.; Long, L.; Yang, Y. Modeling of enhanced Polar Magneto-Optic KERR effect by surface plasmons in Au Bowtie Arrays. Nanomaterials 2023, 13, 253. [Google Scholar] [CrossRef]
- Mena, A.; Mann, S.K.; Cowley-Semple, A.; Bryan, E.; Heutz, S.; McCamey, D.R.; Attwood, M.; Bayliss, S.L. Room-Temperature optically detected coherent control of molecular spins. Phys. Rev. Lett. 2024, 133, 120801. [Google Scholar] [CrossRef]
- Jin, W.; Zhang, G.; Wu, H.; Yang, L.; Zhang, W.; Chang, H. Room-temperature spin-valve devices based on Fe3GaTe2/MoS2/Fe3GaTe2 2D van der Waals heterojunctions. Nanoscale 2023, 15, 5371–5378. [Google Scholar] [CrossRef] [PubMed]
- Abdelsalam, H.; Abd-Elkader, O.H.; Zaghloul, N.S.; Zhang, Q. Magnetic and electronic properties of Edge-Modified Triangular WS2 and MoS2 quantum dots. Crystals 2023, 13, 251. [Google Scholar] [CrossRef]
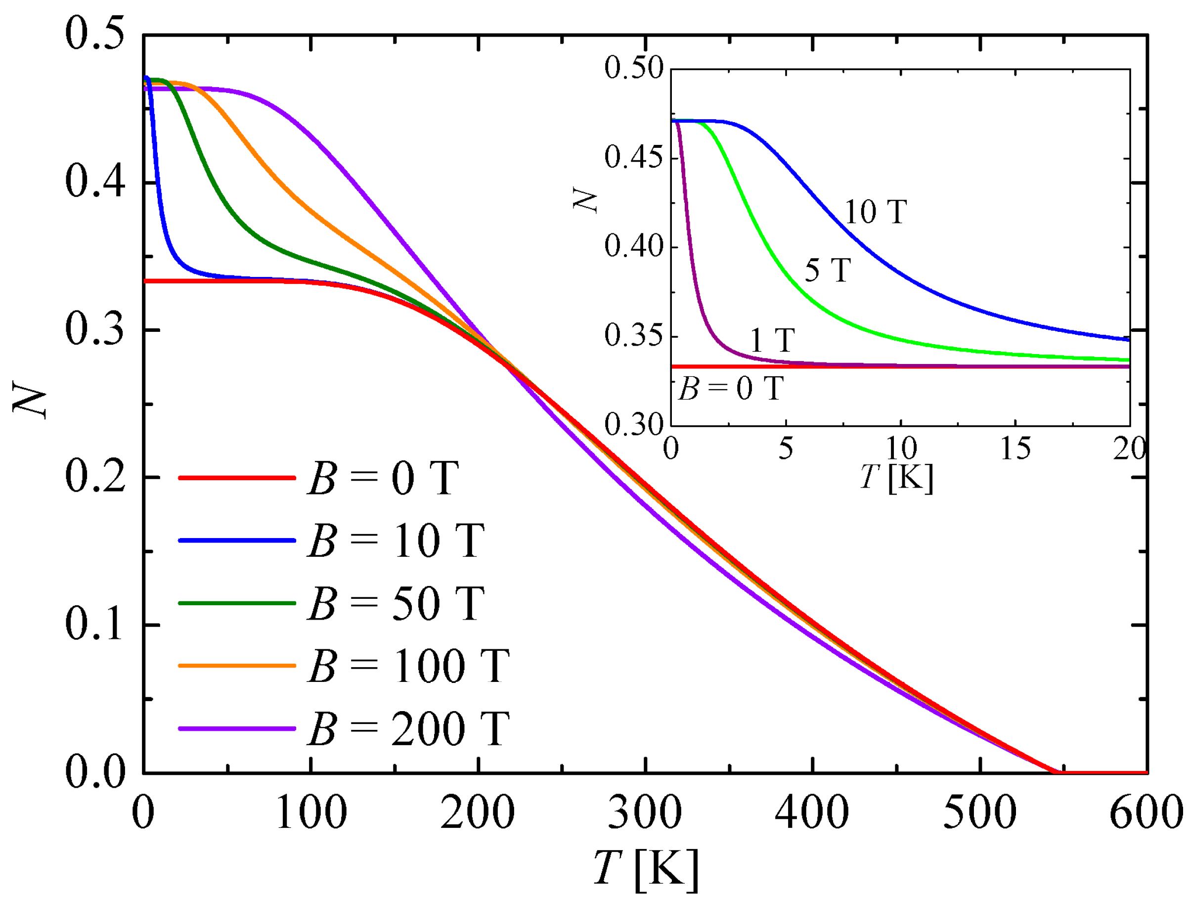
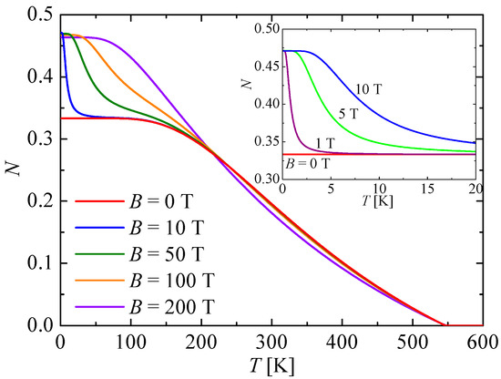
- Strečka, J.; Shahrabadi, E.S. Room-Temperature Entanglement of the Nickel-Radical Molecular Complex (Et3NH)[Ni(hfac)2L] Reinforced by the Magnetic Field. Inorganics 2024, 12, 102. [Google Scholar] [CrossRef]






Disclaimer/Publisher’s Note: The statements, opinions and data contained in all publications are solely those of the individual author(s) and contributor(s) and not of MDPI and/or the editor(s). MDPI and/or the editor(s) disclaim responsibility for any injury to people or property resulting from any ideas, methods, instructions or products referred to in the content. |
© 2025 by the authors. Licensee MDPI, Basel, Switzerland. This article is an open access article distributed under the terms and conditions of the Creative Commons Attribution (CC BY) license (https://creativecommons.org/licenses/by/4.0/).
Share and Cite
Florea, A.-M.; Caramizoiu, S.; Iordache, A.-M.; Iordache, S.-M.; Bita, B. Solid-State Materials for Opto-Spintronics: Focus on Ferromagnets and 2D Materials. Solids 2025, 6, 25. https://doi.org/10.3390/solids6020025
Florea A-M, Caramizoiu S, Iordache A-M, Iordache S-M, Bita B. Solid-State Materials for Opto-Spintronics: Focus on Ferromagnets and 2D Materials. Solids. 2025; 6(2):25. https://doi.org/10.3390/solids6020025
Chicago/Turabian StyleFlorea (Raduta), Ana-Maria, Stefan Caramizoiu, Ana-Maria Iordache, Stefan-Marian Iordache, and Bogdan Bita. 2025. "Solid-State Materials for Opto-Spintronics: Focus on Ferromagnets and 2D Materials" Solids 6, no. 2: 25. https://doi.org/10.3390/solids6020025
APA StyleFlorea, A.-M., Caramizoiu, S., Iordache, A.-M., Iordache, S.-M., & Bita, B. (2025). Solid-State Materials for Opto-Spintronics: Focus on Ferromagnets and 2D Materials. Solids, 6(2), 25. https://doi.org/10.3390/solids6020025

