Binder Influence on Polyantimonic Acid-Based Membranes’ Electrical Behavior for Low-Temperature Fuel Cells
Abstract
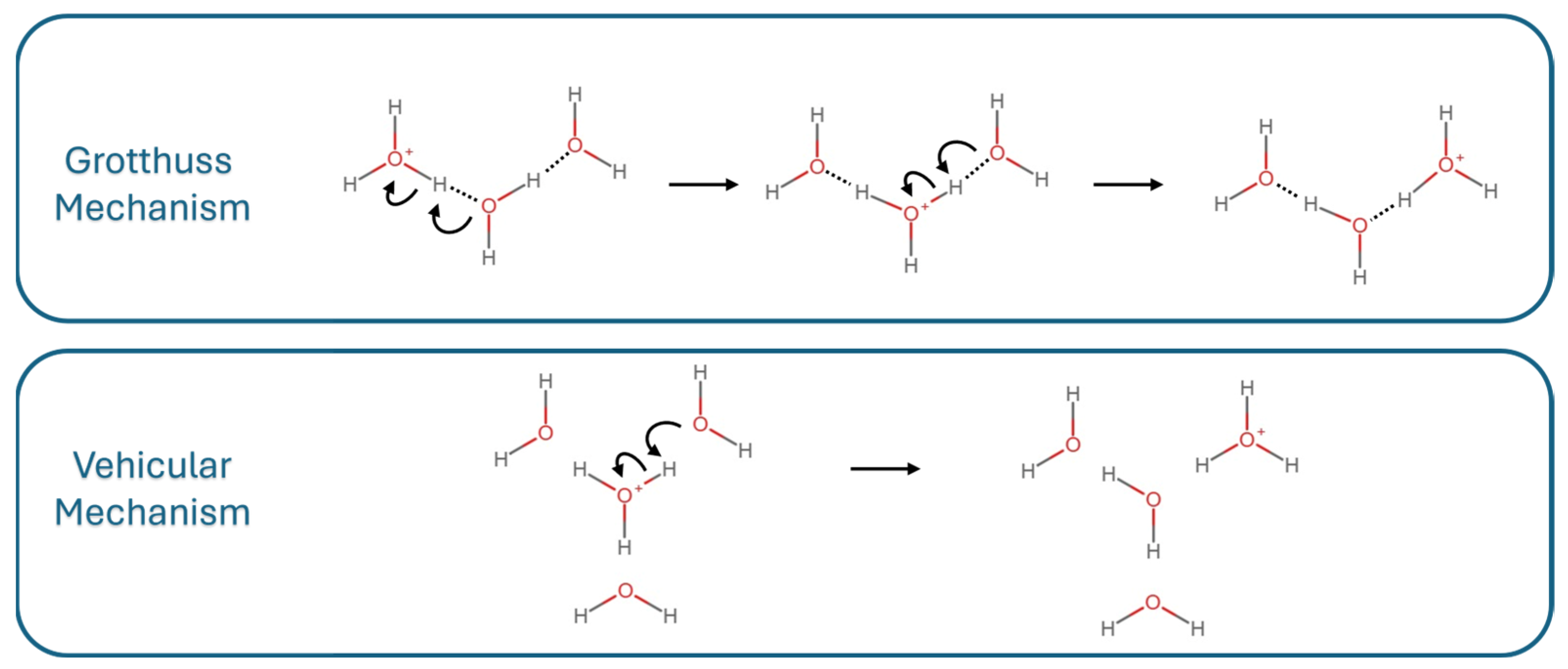
1. Introduction
2. Materials and Methods
2.1. Powder and Binder Preparation
2.2. Solid Electrolytes Preparation
2.3. Structural Characterization of Samples
2.4. Electrical Response Measurements
3. Results and Discussion
3.1. Structural Data Discussion
3.2. Electrical Behavior
4. Conclusions
Author Contributions
Funding
Data Availability Statement
Conflicts of Interest
References
- Colomban, P. Proton Conductors and Their Applications: A Tentative Historical Overview of the Early Researches. Solid State Ion. 2019, 334, 125–144. [Google Scholar] [CrossRef]
- Peighambardoust, S.J.; Rowshanzamir, S.; Amjadi, M. Review of the Proton Exchange Membranes for Fuel Cell Applications. Int. J. Hydrogen Energy 2010, 35, 9349–9384. [Google Scholar] [CrossRef]
- Mahato, N.; Banerjee, A.; Gupta, A.; Omar, S.; Balani, K. Progress in Material Selection for Solid Oxide Fuel Cell Technology: A Review. Prog. Mater. Sci. 2015, 72, 141–337. [Google Scholar] [CrossRef]
- Sun, X.; Simonsen, S.; Norby, T.; Chatzitakis, A. Composite Membranes for High Temperature PEM Fuel Cells and Electrolysers: A Critical Review. Membranes 2019, 9, 83. [Google Scholar] [CrossRef]
- Leysen, R.; Doyen, W.; Proost, R.; Vermeiren, P.; Adriansens, W.; Deknock, R. The Use of Heterogeneous Membranes in Electrochemical Systems. In Synthetic Polymeric Membranes; Sedláček, B., Kahovec, J., Eds.; De Gruyter: Berlin, Germany, 1987; pp. 89–100. [Google Scholar]
- Yurko, Y.; Elbaz, L. The Effect of Membrane Electrode Assembly Methods on the Performance in Fuel Cells. Electrochim. Acta 2021, 389, 138676. [Google Scholar] [CrossRef]
- Chan, S.H.; Xia, Z.T. Polarization Effects in Electrolyte/Electrode-Supported Solid Oxide Fuel Cells. J. Appl. Electrochem. 2002, 32, 339–347. [Google Scholar] [CrossRef]
- Tang, H.; Peikang, S.; Jiang, S.P.; Wang, F.; Pan, M. A Degradation Study of Nafion Proton Exchange Membrane of PEM Fuel Cells. J. Power Sources 2007, 170, 85–92. [Google Scholar] [CrossRef]
- Mérida, W.; Harrington, D.A.; Le Canut, J.M.; McLean, G. Characterisation of Proton Exchange Membrane Fuel Cell (PEMFC) Failures via Electrochemical Impedance Spectroscopy. J. Power Sources 2006, 161, 264–274. [Google Scholar] [CrossRef]
- Hickner, M.A.; Ghassemi, H.; Kim, Y.S.; Einsla, B.R.; McGrath, J.E. Alternative Polymer Systems for Proton Exchange Membranes (PEMs). Chem. Rev. 2004, 104, 4587–4612. [Google Scholar] [CrossRef]
- Yu, J.; Pan, M.; Yuan, R. Nafion/Silicon Oxide Composite Membrane for High Temperature Proton Exchange Membrane Fuel Cell. J. Wuhan Univ. Technol.-Mater. Sci. Ed. 2007, 22, 478–481. [Google Scholar] [CrossRef]
- Miyoshi, S.; Akao, Y.; Kuwata, N.; Kawamura, J.; Oyama, Y.; Yagi, T.; Yamaguchi, S. Low-Temperature Protonic Conduction Based on Surface Protonics: An Example of Nanostructured Yttria-Doped Zirconia. Chem. Mater. 2014, 26, 5194–5200. [Google Scholar] [CrossRef]
- Maglia, F.; Tredici, I.G.; Spinolo, G.; Anselmi-Tamburini, U. Low Temperature Proton Conduction in Bulk Nanometric TiO2 Prepared by High-Pressure Field Assisted Sintering. J. Mater. Res. 2012, 27, 1975–1981. [Google Scholar] [CrossRef]
- Kreuer, K.D. On the Development of Proton Conducting Polymer Membranes for Hydrogen and Methanol Fuel Cells. J. Memb. Sci. 2001, 185, 29–39. [Google Scholar] [CrossRef]
- Malavasi, L.; Fisher, C.A.J.; Islam, M.S. Oxide-Ion and Proton Conducting Electrolyte Materials for Clean Energy Applications: Structural and Mechanistic Features. Chem. Soc. Rev. 2010, 39, 4370. [Google Scholar] [CrossRef]
- Slodczyk, A.; Colomban, P.; André, G.; Zaafrani, O.; Grasset, F.; Lacroix, O.; Sala, B. Structural Modifications Induced by Free Protons in Proton Conducting Perovskite Zirconate Membrane. Solid State Ion. 2012, 225, 214–218. [Google Scholar] [CrossRef]
- Baranov, A.; Grebenev, V.; Khodan, A.; Dolbinina, V.; Efremova, E. Optimization of Superprotonic Acid Salts for Fuel Cell Applications. Solid State Ion. 2005, 176, 2871–2874. [Google Scholar] [CrossRef]
- Ponomareva, V.G.; Lavrova, G.V. Effect of the Excess Protons on the Electrotansport, Structural and Thermodynamic Properties of CsH2PO4. Solid State Ion. 2017, 304, 90–95. [Google Scholar] [CrossRef]
- De Grotthuss, C.J.T. Sur La Décomposition de l’eau et Des Corps Qu’elle Tient En Dissolution à l’aide de l’électricité Galvanique. Ann. Chim. 1806, 58, 54–74. [Google Scholar]
- Bhagat, M.S.; Mungray, A.K.; Mungray, A.A. Recent Advances in Osmotic Microbial Fuel Cell Technology: A Review. J. Indian Chem. Soc. 2022, 99, 100552. [Google Scholar] [CrossRef]
- Mendes, S.R.; da Silva, G.M.G.; Araújo, E.S.; Faia, P.M. A Review on Low-Temperature Protonic Conductors: Principles and Chemical Sensing Applications. Chemosensors 2024, 12, 96. [Google Scholar] [CrossRef]
- Kovalenko, L.Y.; Burmistrov, V.A.; Lupitskaya, Y.A.; Yaroshenko, F.A.; Filonenko, E.M.; Bulaeva, E.A. Ion Exchange of H+ /Na+ in Polyantimonic Acid, Doped with Vanadium Ions. Pure Appl. Chem. 2020, 92, 505–514. [Google Scholar] [CrossRef]
- England, W.; Cross, M.; Hamnett, A.; Wiseman, P.; Goodenough, J. Fast Proton Conduction in Inorganic Ion-Exchange Compounds. Solid State Ion. 1980, 1, 231–249. [Google Scholar] [CrossRef]
- Yaroslavtsev, A.B.; Dobrovolsky, Y.A.; Shaglaeva, N.S.; Frolova, L.A.; Gerasimova, E.V.; Sanginov, E.A. Nanostructured Materials for Low-Temperature Fuel Cells. Russ. Chem. Rev. 2012, 81, 191–220. [Google Scholar] [CrossRef]
- Baetsle, L.H.; Huys, D. Structure and Ion-Exchange Characteristics of Polyantimonic Acid. J. Inorg. Nucl. Chem. 1968, 30, 639–649. [Google Scholar] [CrossRef]
- Belinskaya, F.A.; Militsina, E.A. Inorganic Ion-Exchange Materials Based on Insoluble Antimony(V) Compounds. Russ. Chem. Rev. 1980, 49, 933–952. [Google Scholar] [CrossRef]
- Yaroshenko, F.A.; Burmistrov, V.A. Proton Conductivity of Polyantimonic Acid Studied by Impedance Spectroscopy in the Temperature Range 370–480 K. Inorg. Mater. 2015, 51, 783–787. [Google Scholar] [CrossRef]
- Leysen, R.; Vandenborre, H. Synthesis and Characterization of Polyantimonic Acid Membranes. Mater. Res. Bull. 1980, 15, 437–450. [Google Scholar] [CrossRef]
- Yaroshenko, F.A.; Burmistrov, V.A. Dielectric Losses and Proton Conductivity of Polyantimonic Acid Membranes. Russ. J. Electrochem. 2016, 52, 690–693. [Google Scholar] [CrossRef]
- Yaroshenko, F.A.; Burmistrov, V.A. Dielectric Relaxation and Protonic Conductivity of Polyantimonic Crystalline Acid at Low Temperatures. Russ. J. Electrochem. 2015, 51, 391–396. [Google Scholar] [CrossRef]
- Yaroshenko, F.A.; Burmistrov, V.A. Synthesis of Hybrid Materials Based on MF-4SK Perfluorinated Sulfonated Cation-Exchange Membranes Modified with Polyantimonic Acid and Characterization of Their Proton Conductivity. Pet. Chem. 2018, 58, 770–773. [Google Scholar] [CrossRef]
- Amarilla, J. Antimonic Acid and Sulfonated Polystyrene Proton-Conducting Polymeric Composites. Solid State Ion. 2000, 127, 133–139. [Google Scholar] [CrossRef]
- Kurapova, O.Y.; Faia, P.M.; Zaripov, A.A.; Pazheltsev, V.V.; Glukharev, A.A.; Konakov, V.G. Electrochemical Characterization of Novel Polyantimonic-Acid-Based Proton Conductors for Low- and Intermediate-Temperature Fuel Cells. Appl. Sci. 2021, 11, 11877. [Google Scholar] [CrossRef]
- Vandenborre, H.; Leysen, R.; Baetsle, L. Alkaline Inorganic-Membrane-Electrolyte (IME) Water Electrolysis. Int. J. Hydrogen Energy 1980, 5, 165–171. [Google Scholar] [CrossRef]
- Mendes, S.; Kurapova, O.; Faia, P. Enhancing Polyantimonic-Based Materials’ Moisture Response with Binder Content Tuning. Chemosensors 2023, 11, 423. [Google Scholar] [CrossRef]
- Pielichowski, K.; Njuguna, J.; Majka, T.M. Mechanisms of Thermal Degradation of Polymers. In Thermal Degradation of Polymeric Materials; Elsevier: Amsterdam, The Netherlands, 2023; pp. 9–11. [Google Scholar]
- Wulandari, R.; Swasono, Y.A.; Ichsan, M.Z.N.; Rifathin, A. Thermal Behavior and Kinetic of Degradation of PVA and PVA/CS/AL Blend. Sainteknol J. Sains Dan Teknol. 2023, 21, 1–10. [Google Scholar] [CrossRef]
- Holland, B.J.; Hay, J.N. The Thermal Degradation of Poly(Vinyl Alcohol). Polymer 2001, 42, 6775–6783. [Google Scholar] [CrossRef]
- Suleiman, G.S.A.; Zeng, X.; Chakma, R.; Wakai, I.Y.; Feng, Y. Recent Advances and Challenges in Thermal Stability of PVA-based Film: A Review. Polym. Adv. Technol. 2024, 35, e6327. [Google Scholar] [CrossRef]
- Abe, M.; Ito, T. Synthetic Inorganic Ion-Exchange Materials. X. Preparation and Properties of So-Called Antimonic(V) Acid. Bull. Chem. Soc. Jpn. 1968, 41, 333–342. [Google Scholar] [CrossRef]
- Kovalenko, L.Y.; Burmistrov, V.A.; Biryukova, A.A. Kinetics of H+/Me+ (Me = Na, K) Ion Exchange in Polyantimonic Acid. Russ. J. Electrochem. 2016, 52, 694–698. [Google Scholar] [CrossRef]
- Kurapova, O.Y.; Zaripov, A.A.; Pazheltsev, V.V.; Glukharev, A.G.; Konakov, V.G. Bulk Solid-State Polyantimonic-Acid-Based Proton-Conducting Membranes. Refract. Ind. Ceram. 2022, 63, 90–95. [Google Scholar] [CrossRef]
- Ma, F.; Shi, W.; Meng, H.; Li, Z.; Zhou, W.; Zhang, L. Preparation, Characterization and Ion-Exchange Behavior of Polyantimonic Acid-Polyacrylonitrile (PAA–PAN) Composite Beads for Strontium(II). J. Radioanal. Nucl. Chem. 2016, 308, 155–163. [Google Scholar] [CrossRef]













| Sample Ratio (PAA:PVA Binder) | Δm (%) < 300 °C | |
|---|---|---|
| Fluoroplastic | PVA | |
| 100:0 | 14.8 [33] | 11.1 |
| 90:10 | 14.7 [33] | 12.4 |
| 80:20 | 14.5 [33] | 15.9 |
| Temperature (K) | ln (τp) | Activation Energy, Ea (eV) |
|---|---|---|
| 298.15 | −15.49 | 0.000 |
| 323.15 | −15.63 | 0.011 |
| 348.15 | −15.20 | −0.025 |
| 373.15 | −14.59 | −0.082 |
| 423.15 | −14.79 | −0.072 |
| 473.15 | −13.33 | −0.252 |
| Temp/Time | Re [Ω] | −Img [Ω] |
|---|---|---|
| 25 °C_i | 1.20 × 105 | 2.60 × 105 |
| 25 °C_1w | 1.05 × 105 | 2.79 × 105 |
| 25 °C_1m | 3.01 × 105 | 5.89 × 105 |
| 25 °C_3m | 2.21 × 105 | 4.64 × 105 |
| 50 °C_i | 1.06 × 105 | 2.40 × 105 |
| 50 °C_1w | 2.39 × 105 | 3.18 × 105 |
| 50 °C_1m | 6.22 × 105 | 6.54 × 105 |
| 50 °C_3m | 4.48 × 105 | 5.68 × 105 |
| 75 °C_i | 1.20 × 105 | 2.49 × 105 |
| 75 °C_1w | 4.89 × 105 | 3.53 × 105 |
| 75 °C_1m | 1.07 × 106 | 7.73 × 105 |
| 75 °C_3m | 7.04 × 105 | 6.71 × 105 |
| 100 °C_i | 1.46 × 105 | 2.39 × 105 |
| 100 °C_1w | 6.62 × 105 | 3.75 × 105 |
| 100 °C_1m | 8.79 × 105 | 4.92 × 105 |
| 100 °C_3m | 1.01 × 106 | 7.62 × 105 |
| 150 °C_i | 1.58 × 105 | 2.50 × 105 |
| 150 °C_1w | 8.18 × 105 | 4.22 × 105 |
| 150 °C_1m | 1.29 × 106 | 5.95 × 105 |
| 150 °C_3m | 1.67 × 106 | 9.53 × 105 |
| 200 °C_i | 5.17 × 105 | 3.74 × 105 |
| 200 °C_1w | 1.03 × 106 | 5.75 × 105 |
| 200 °C_1m | 1.52 × 106 | 7.71 × 105 |
| 200 °C_3m | 2.84 × 106 | 1.47 × 106 |
| T (°C) | R (Ω) | C (F) | QCPE1 (S) | nCPE1 (a.u.) | QCPE2 (S) | nCPE2 (a.u.) | CGEO (F) | Wcoeffi. (Ω × s−1/2) |
|---|---|---|---|---|---|---|---|---|
| 25 | 4.12 × 102 | 1.03 × 10−10 | 7.25 × 10−6 | 8.04 × 10−2 | 3.85 × 10−9 | 8.84 × 10−1 | 3.38 × 10−12 | 6.33 × 10−10 |
| 50 | 5.20 × 102 | 4.97 × 10−10 | 7.58 × 10−6 | 9.13 × 10−2 | 4.01 × 10−9 | 8.89 × 10−1 | 3.51 × 10−12 | 5.29 × 10−10 |
| 75 | 3.48 × 103 | 2.17 × 10−10 | 6.56 × 10−6 | 9.54 × 10−2 | 4.08 × 10−9 | 8.83 × 10−1 | 3.87 × 10−12 | 7.23 × 10−10 |
| 100 | 1.32 × 104 | 3.81 × 10−11 | 6.09 × 10−6 | 7.48 × 10−2 | 4.03 × 10−9 | 8.91 × 10−1 | 4.15 × 10−12 | 1.33 × 10−10 |
| 150 | 4.54 × 103 | 7.72 × 10−11 | 6.93 × 10−6 | 3.55 × 10−2 | 3.87 × 10−9 | 8.88 × 10−1 | 3.53 × 10−12 | 4.24 × 10−10 |
| 200 | 1.05 × 104 | 1.62 × 10−11 | 1.57 × 10−6 | 6.50 × 10−2 | 2.15 × 10−9 | 9.20 × 10−1 | 6.01 × 10−12 | 4.52 × 10−10 |
Disclaimer/Publisher’s Note: The statements, opinions and data contained in all publications are solely those of the individual author(s) and contributor(s) and not of MDPI and/or the editor(s). MDPI and/or the editor(s) disclaim responsibility for any injury to people or property resulting from any ideas, methods, instructions or products referred to in the content. |
© 2025 by the authors. Licensee MDPI, Basel, Switzerland. This article is an open access article distributed under the terms and conditions of the Creative Commons Attribution (CC BY) license (https://creativecommons.org/licenses/by/4.0/).
Share and Cite
Mendes, S.; Faia, P. Binder Influence on Polyantimonic Acid-Based Membranes’ Electrical Behavior for Low-Temperature Fuel Cells. Solids 2025, 6, 19. https://doi.org/10.3390/solids6020019
Mendes S, Faia P. Binder Influence on Polyantimonic Acid-Based Membranes’ Electrical Behavior for Low-Temperature Fuel Cells. Solids. 2025; 6(2):19. https://doi.org/10.3390/solids6020019
Chicago/Turabian StyleMendes, Sofia, and Pedro Faia. 2025. "Binder Influence on Polyantimonic Acid-Based Membranes’ Electrical Behavior for Low-Temperature Fuel Cells" Solids 6, no. 2: 19. https://doi.org/10.3390/solids6020019
APA StyleMendes, S., & Faia, P. (2025). Binder Influence on Polyantimonic Acid-Based Membranes’ Electrical Behavior for Low-Temperature Fuel Cells. Solids, 6(2), 19. https://doi.org/10.3390/solids6020019

