Next Article in Journal
Deposition of Organic-Inorganic Nanocomposite Coatings for Biomedical Applications
Next Article in Special Issue
Effect of Vanadium Catalysts on Hydrogen Evolution from NaBH4
Previous Article in Journal
Composites of (C4F)n and (CF)n Synthesized by Uncatalyzed Fluorination of Graphite
Previous Article in Special Issue
An Electron Waveguide Model for FDSOI Transistors
 
 
Font Type:
Arial Georgia Verdana
Font Size:
Aa Aa Aa
Line Spacing:
Column Width:
Background:
Article

Investigation of the Tetrakis(dimethylamino)hafnium and H2S ALD Process: Effects of Deposition Temperature and Annealing

Centre for Energy Research, Institute of Technical Physics and Materials Science, Konkoly Thege M. út 29-33, 1121 Budapest, Hungary
*
Author to whom correspondence should be addressed.
Solids 2022, 3(2), 258-270; https://doi.org/10.3390/solids3020018
Submission received: 18 February 2022 / Revised: 5 April 2022 / Accepted: 6 April 2022 / Published: 5 May 2022
(This article belongs to the Special Issue Solids in Europe)

Abstract

:
HfS2 has recently emerged as a promising 2D semiconductor, but the lack of a reliable method to produce continuous films on a large scale has hindered its spreading. The atomic layer deposition of the material with the precursor tetrakis-dimethylamino-hafnium with H2S is a relatively novel solution to this problem. This paper shows that it is a facile approach to synthesizing homogeneous and smooth HfS2 layers in a controlled and reproducible manner. The deposition is examined at different temperatures and layer thicknesses, exploring the ALD window of the deposition and the chemical, morphological and electronic properties of the films. The method yielded films with wafer-sized uniformity and controlled properties and is, thus, a promising way to prepare this important transition metal dichalcogenide material.
Keywords:
ALD; HfS2; TMD

1. Introduction

Layered 2D semiconductors have recently become widely studied materials as they can be applied in nanosized transistors, photodetector LEDs, solar cells and sensing devices [1]. Due to their atomically smooth surfaces, the built-in trap concentration can be minimal, and therefore more stable and higher performance devices can be fabricated from them [2]. 2D materials with sizable bandgaps, such as transition metal dichalcogenides (TMD), have been the focus of research, as they do not possess the drawback of the absence of an intrinsic band gap in graphene [3]. TMDs can be denoted as MX2, where M is the transition metal and X is the chalcogen. As transition metals have varying numbers of d-electrons, TMDs also have different electronic properties, different sized band gaps and room temperature mobilities, giving way to new technological possibilities [4].
HfS2 is a less examined member of the TMD family, with most properties only theoretically predicted and few reliable ways to synthesize. According to calculations, HfS2 may have ultrahigh room-temperature electron mobility and sheet current density, combined with high chemical stability and reasonable bandgap. Therefore, it could be a very promising material for the transistors, photocatalysts and photodetectors of the future [5,6]. HfS2 has 1T (tetragonal symmetry, one layer per unit with octahedral coordination) crystal structure.
There are only a handful of publications describing the preparation or properties of HfS2 compared to other TMDs. Most are theoretical calculations predicting the promising high mobility and current density of the material. On the other hand, the different models predict different band gaps depending on the pseudopotentials used and ground-state structures. Density functional theory calculations suggest a 1.13 eV wide indirect bandgap [7]. In contrast, hybrid functional methods show that the indirect bandgap of HfS2 increases with the decreasing layer thickness, from 2.7 eV at 5 monolayers to 2.98 eV at a monolayer thickness [3,8]. Experimental results suggest that the bandgap of bulk HfS2 is around 2 eV [9,10].
The preparation of HfS2 films has also met some difficulties. Most experimental procedures are based on mechanical exfoliation, but with this method, only small flakes can be synthesized [11,12,13]. The chemical vapor deposition of HfS2 has also proved possible typically by utilizing the chemical reaction of HfCl4 and elemental S powder [14,15]. Still, these have also only been possible on laterally small substrates and at high temperatures (900–1000 °C). A reliable preparation of HfS2 layers on wafer-sized surfaces would be extremely important for later applications, but it has not been solved yet.
Atomic layer deposition (ALD) is a vapor phase layer deposition method based on self-limiting surface reactions on heated substrate surfaces due to the chemisorption of separate pulses of precursors. ALD is used for the preparation of elements, oxides, nitride, sulfides, and complicated compounds as well [16,17,18]. As the thickness of the deposited layers can be controlled on the atomic level, ALD appears to be a perfect method for the development of 2D materials. Due to the large-scale uniformity and conformity of the ALD deposited layers, the method offers the possibility of the development of wafer-scale 2D materials, which has been lacking so far. There are three main approaches to the preparation of 2D films: The most widespread is the controlled layer-by-layer growth of the required material to the required thickness [1]. The second is the self-limiting layer synthesis process, in which the number of layers is determined by the temperature [19]. Finally, it is also possible to deposit a precursor film with ALD and then achieve the required stoichiometry post-treatment [20].
The ALD of HfS2 has not yet been explored. There are, so far, only three papers describing the ALD of HfS2 films. Mattinen et al. [21] tried the reactions of HfC4, HfI4 and Hf(NEtMe)4 with H2S. The latter two of these precursor materials yielded non-uniform and rough layers. Thus, the HfCl4-H2S process seemed the most promising, resulting in amorphous HfS2 films in the deposition temperature range of 200–300 °C and crystalline HfS2 between 350 and 500 °C, but these films already contained significant oxygen contamination. Chang et al., on the other hand, used Hf(NEtMe)4 for the plasma-enhanced ALD of HfS2 between 150 and 500 °C [22].
The use of the precursor tetrakis-dimethylamino-hafnium (TDMAH) with H2S for the deposition of HfS2 layers was suggested in ref. [23], where the authors described the surface chemistry of this preparation chemistry. This method proved to be a facile approach to synthesizing HfS2 layers. In the present paper this deposition procedure is further explored at different temperatures and layer thicknesses, examining the ALD window of the deposition and the chemical, morphological and electronic properties of the film. The deposition yielded films with wafer-size uniformity and controlled properties and is thus a promising way to prepare this important TMD material.

2. Materials and Methods

The HfS2 films were deposited with a Picosun R-200 ALD reactor on sapphire and silicon substrates. All substrates were cleaned prior to deposition in conc. HNO3 and DI water. The precursors used were TDMAH purchased from STREM chemicals and 4.0 purity H2S purchased from Linde. The TDMAH precursor was heated to 105 °C to ac sufficient vapor pressure. The depositions were performed at temperatures between 200 and 400 °C. Some layers were treated by post-deposition annealing for an hour and performed in the same ALD reactor at 400 °C in an H2S atmosphere. The carrier gas was 6N purity nitrogen from Messer.
The morphology of the films was determined with a Zeiss-SMT LEO 1540 XB scanning electron microscope (SEM) and an AIST-NT, Smart- SPM 1010 type atomic force microscope (AFM) in tapping mode.
The high-resolution transmission electron microscopy (TEM) observation of the interface was performed by a Titan Themis 200 image corrected TEM/STEM microscope. The TEM lamellae were prepared with focused ion bear technology after the deposition of a protective Pt layer on the surface. For the EDS mapping, a Super-X detector was used. Cross-sectional TEM specimens were prepared by ion beam milling, using a Technoorg Linda ionmill with 10 keV Ar+ ions at an incidence angle of 5° with respect to the surface. In the final period of the milling process, the ion energy was decreased gradually to 0.3 keV to minimize ion-induced structural changes in the surface layers.
X-ray photoelectron spectroscopy (XPS) analysis was carried out under ultra-high vacuum conditions (2 × 10−9 mbar). The samples were mounted to a sample holder using adhesive carbon tape. The specimens were exposed to a 70 °C heat treatment for 48 h, which is the standard baking procedure of the vacuum system. The photoelectron spectra were obtained using X-ray radiation from an Al anode with 15 keV excitation. A constant energy resolution of 1.5 eV was provided by a special cylindrical mirror analyzer with retarding field (type DESA 150, Staib Instruments Ltd.). All spectra were recorded with 0.1 eV energy steps.
The binding energy of observed XPS peaks was determined by using the adventitious carbon peak at 284.6 eV as a reference. The following XPS peaks were measured (listed with binding energies): O 1s—532 eV, C 1s—285 eV, Hf 4d 3/2 and 5/2—211 eV and 221 eV, S 2p—164 eV, S 2s—229 eV, Si 2p—99 eV, Hf 4f—15 eV
The information depth is determined by the inelastic mean free paths of photoelectrons which is about 2 nm in HfO2. The observed XPS peaks yield information for the average composition of this limited volume at the surface region of the specimen.
The “as received” state of the HfS2 surface showed some organic contamination that is usual on surfaces arriving from open air. To reveal the true composition of the layer, ion sputtering was applied. A further dose of ion sputtering was applied to reach and reveal the depth of the layer in some steps, where the ion sputtering conditions were the following: a 1 keV Ar+ beam was scanned over the surface to assure an even sputtering of the whole observed area; 75° angle of incidence. The vacuum pressure during ion sputtering was 2.5 × 10−7 mbar.
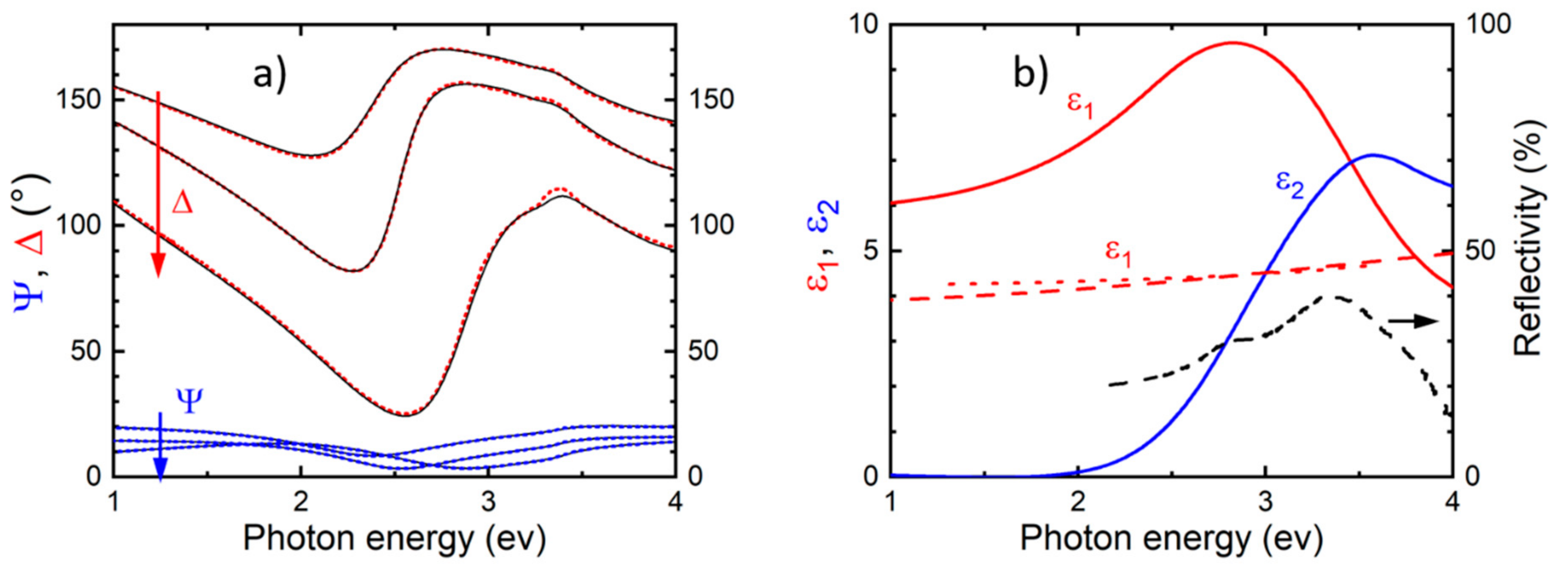
A Woollam M-2000DI rotating compensator spectroscopic ellipsometer (SE) was used to measure Ψ and Δ spectra that describe the complex reflection coefficient by the equation of ρ = tan(Ψ)exp(iΔ) = rp/rs, where rp and rs denote the reflection coefficients of light polarized parallel and perpendicular to the plane of incidence, respectively. Multiple angles of incidence were applied in the range of 60–70° to increase the amount of recorded data and to increase the reliability of the fitted model parameters. The thicknesses of the layers were determined using a layer structure of HfS2/Si and a Cauchy model for the HfS2 layer in the wavelength range below the band gap (≈0.7–1.8 eV). In the next step, the layer thickness was fixed, and a B-Spline model was used for the dispersion to determine the dielectric function [24,25,26]. The advantage of the B-Spline model is that the application of an assumed dispersion model is avoided.

3. Results and Discussion

To achieve a sufficient vapor pressure of the TDMAH precursor used in the ALD of HfS2, the precursor was heated to 105 °C, which limited the depositions to temperatures above 120 °C to prevent the condensation of the precursor material. Practically, to achieve a reasonable growth rate, the temperature range between 200 and 400 °C proved to be optimal. As it is elaborated in the discussion, however, the films deposited at 400 °C did not have the appropriate stoichiometry. Therefore, it can be concluded that the ALD window of the deposition of HfS2 with these precursors is between 200 and 350 °C. The self-limiting growth behavior was investigated by examining the growth rate as a function of the pulsing parameters. In the case of the present ALD system with a heatable booster source, the optimal pulsing parameters mean defining a fill time, when nitrogen is led into the heatable source to increase the pressure in the precursor source, and then the actual pulse time when the precursor is dosed into the nitrogen flow. A saturated growth could be achieved with a 1.1 s fill time and 0.5 s pulse time of the TDMAH followed by a 4 s purge, 0.1 s H2S pulse followed by another 4 s purge. With these settings, a linear dependence of the film thickness on the number of cycles was achieved. The thicknesses of the samples were measured by spectroscopic ellipsometry and TEM. The growth rates were the following: 0.074 nm/cycle at 200 °C, 0.084 nm/cycle at 300 °C and 0.066 nm/cycle at 400 °C. As the thickness of one monolayer of the material, that is, the distance between two metal layers is 0.58 nm [21], this growth rate corresponds to a 0.11 and a 0.33 monolayer/cycle growth. This can be considered to be usual in atomic layer deposition, and the lower than one monolayer/cycle growth can be attributed to the bulky ligands and the lower adsorption rate of the precursors. The thicknesses and growth cycles of the different samples are summarised in Table 1. The growth rate in the case of the 10 nm thick film is lower than (less than half of) that of the thicker films. The reason for this is the lower growth rate in the first few cycles of ALD growth due to nucleation issues. The longer pulses were intended to counteract this effect by leaving a longer time for the precursor molecules to bind to the OH groups on the surface and thus enhancing the nucleation of the layer [27].
The wafer-scale uniformity of the films was determined by SE, and the thickness was found uniform within ±1 nm in the case of all the 45 nm thick layers measured on a 4″ sized silicon wafer, which corresponds to a relative standard deviation of 2.5%. This is an excellent result previously not reported in the preparation of HfS2 layers. The atomic layer deposition of HfO2 from the same precursor always has a CVD-like component, and the deposition of uniform films is not straightforward. It requires a precise tuning of the parameters and long pulsing and purging times. In light of this, it is surprising that the ALD of HfS2 provides such high-quality layers, and it may be attributed to the higher reactivity of H2S.
The morphology of the layers was investigated with SEM (Figure 1) and AFM (Figure 2 and Figure 3). According to these, the films are not smooth at an atomic level. They have a slightly granular surface structure with typical grain sizes between 60 and 100 nm. However, all the layers are very smooth, with RMS roughness below 9 nm in the case of silicon substrates and 1 nm on sapphire.
It can be seen from the AFM measurement that all the films are continuous. The grain sizes on Si substrates are around 60 to 100 nm, but the height of the grains is below 30 nm. This results in a low RMS roughness, as Table 2 shows. The films on the sapphire show a different morphology: They are smoother, and the grain sizes are smaller as well, below 50 nm in all cases. A roughening of the samples after annealing is generally expected due to aggregation and crystallization of the layer resulting in the growth of the grain size. This expected effect can be seen in the samples deposited at 200 °C and the one deposited at 300 °C on sapphire, where the RMS roughness calculated from the AFM images increases. The layer deposited on Si at 300 °C shows a decreased RMS roughness after annealing, but this is the result of smoothening of the smaller grained areas, whereas the larger (~100 nm) grains increase after annealing. Therefore, recrystallization can take place in this case as well.
The composition of the deposited layers was determined by XPS. Since XPS detects and provides information from the range of a few nm and the top surface is presumably oxidized and somewhat contaminated, a depth profile of composition was measured. The spectra were detected with an alternating ion sputtering and measurement of the HfS2 layer. The applied ion sputtering was regarded as not influencing the atomic composition. A typical spectrum is shown in Figure 4. The black dots show the detected spectrum. Color lines show the fitted component peaks. Component fitting was necessary because the oxygen peak (530 eV) is in the vicinity of the Hf 4s peak, and thus, some overlapping occurs. A similar coincidence is visible at 225 eV, where the sulfur 2s peak overlaps the hafnium 4d 3/2 peak.
The Hf 4f peak seems to be a single wide peak, whereas, in reality, it is a sum of 4 subpeaks because the 4f doublet (5/2 and 4f 7/2) peaks are shifted differently for Hf-sulfide and Hf-oxide. The close vicinity of the 4 subpeaks prevents their separation in the spectra measured by this equipment. However, the shape of their sum shows that hafnium atoms are bound partially to oxygen and partially to sulfur.
The spectra were evaluated using a homogeneous model and yielded a concentration distribution shown in Figure 5a. Both Hf peaks (Hf 4d 5/2 and Hf 4f) were evaluated, and they resulted in the same composition within 2%. Figure 5 shows the results derived from the Hf 4d peak. The profile shows the elemental distribution from the surface (at zero sputtering time) down to the SiO2 substrate (at 40 min). We can conclude the following from the depth profile:
-
The surface contamination is limited to the topmost atomic layer, and no extra carbon penetrated into the layer from the surface after deposition, but there is a built-in carbon content (~13%) in the film.
-
Oxidation took place after layer deposition, which resulted in increased oxygen content in the surface region (0–10 min in the figure).
-
The HfS2 layer is not pure sulfide, but instead a mixture of oxide and sulfide. Though the sulfur concentration (~30 at%) well exceeds the oxygen concentration (~20 atom%), the film is not pure HfS2.
-
The oxygen and sulfur combined amount (~50 at%) does not reach the value attributed to a saturated Hf oxide or sulfide compound or a mixture of the two (which would be ~70 at%).
The atomic ratios are presented in a separate graph in Figure 5b. The sulfur/hafnium ratio is constant along with the layer thickness (blue line). The combined (oxygen + sulfur)/hafnium ratio, which refers to the saturation level of HfO2 or HfS2 compounds, is presented by the red line. According to the oxygen penetration mentioned above, this combined ratio changes along with the layer thickness. However, it is almost stable inside the layer. Its value of 1.45 is not close to the nominal value of 2.0 (green band).
The occurrence of oxidation during the deposition of HfS2 layers is a problem encountered by all research. Most papers report the presence of some HfO2 in the prepared films. Mattinen et al. found around a 5% oxygen ratio in the films deposited at over 400 °C, despite every effort of eliminating residual oxygen from the reactor [21], while Chang et al. [22] found between 37 and 50% oxygen content. It appears that the present work does not solve this problem either but presents proof of the preparation of crystalline HfS2, contaminated with some HfO2.
The structure of the layers was further explored with TEM measurements (see Figure 6 and Figure 7). The FFT analysis of the film deposited at 300 °C and annealed at 400 °C can be seen in Figure 6a. The annealed layer consists of crystalline 2D HfS2 films stacked upon each other with an average distance of 0.59 nm between them. This distance is in good agreement with the lattice distance of HfS2 (001). The (001) planes of HfS2 are, on average, parallel to the surface of the substrate, but this is only true with a very heavy grip. This strong scattering is shown by the smeared (001) peak in Figure 6b and the corrugated HfS2 layers in Figure 6a. Most of the layer is crystalline, but due to the wavy and intermittent HfS2 layers, it is difficult to rule out the presence of an amorphous phase between the sections of the HfS2 layers. A few nm amorphous layers can be observed on the surface of the deposited layers. This amorphization is due to the oxidation based on the EDS investigations in Figure 7. As can also be seen from the elemental mapping (Figure 7), the layers contain some oxygen, though mostly in the surface areas. The measurement showed no crystalline HfO2 present. The minor oxygen contamination is mostly present at the surface.
After the thicker films, an ultra-thin layer was also synthesized. For this purpose, ten ALD cycles were performed, with three times longer TDMAH pulses followed by the closure of the ALD reactor for 1.5 s, then the evacuation of the reaction chamber was closed down for 6 s to ensure enough time for the precursors to chemisorb to the surface and react with one another (picoflow mode). This method ensures that this ultra-thin film is also continuous and uniform. The thickness of the resulting thin film was measured by AFM (after etching a step with buffered oxide etchant in the layer), and it was found to be 2.6 nm. This means that the resulting film was about 5–6 monolayers thick (Figure 6b).
The dielectric function spectra of the as-deposited films on Si measured by SE also reveal an amorphous structure. The imaginary part of the dielectric function (ε2) shows a broad absorption peak around the E1 and E2 electronic transition energies (Figure 8), the positions of which are clearly visible on the reflectivity measurement on crystalline HfS2 [26]. The SE measurements revealed high-quality, dense, compact, and homogeneous layers with a thickness of ≈40 nm. The optical band gaps of the layers were also calculated from the SE data. The gap of the film deposited at 200 °C was 2.2 eV, and that of the film deposited at 300 °C was higher, 3.3 eV. The film deposited at 400 °C showed no definable band gap and instead appeared to present dielectric properties. This suggested a HfO2-like behavior and implied that the layer might be partly or completely oxidized. Therefore, this film was further investigated.

Deposition at 400 °C

The films deposited at 400 °C showed completely different properties from the previous ones (Figure S1). The growth rate was somewhat lower, 0.06 nm/cycle at this temperature, which shows that the ALD window for the deposition of HfS2 material has already been surpassed. The resulting layers were just as homogeneous as the previous ones, with an RMS roughness of 1.77 nm (on sapphire).
As the SE suggested an oxide-like composition, the film was investigated by XPS too. As this layer was a much thinner one (due to the lower growth per cycle), the depth profile only consisted of three steps: the surface, the medium part of the layer and the interface to the wafer. These three measurements are not fully independent; the depth range overlaps with each other since the total observed range of photoelectrons is ~10 nm. The surface spectrum showed a HfO2-like composition with some extra features. Accordingly, the Hf 4f twin peaks are presented in a clear doublet form typical of Hf-oxide. In this spectrum, the carbon content of the layer cannot be distinguished from the carbon diffused after the deposition, and it had an enhanced carbon concentration. The Si substrate also yielded some contributions to this spectrum.
The most significant spectrum is the one from the middle of the layer. The contribution of the Si wafer to the spectrum, as well as the Si 2p peaks corresponding to elemental and oxide silicon and the oxygen peaks attributed to Si-oxide, were removed from the measured values resulting in values shown in Table 3.
The carbon may be over-detected if we assume that the surface contamination was not fully removed. The hafnium 4d peak showed a smaller distortion due to the presence of a sulfide peak but is still dominantly an oxide shape. The observed sulfur is the actual physical quantity. However, it needs to be corrected according to the 3rd spectrum, which revealed that the wafer interface had an increased sulfur content. Though the accurate subtraction of the interface contribution to the observed sulfur cannot be carried out, an estimated sulfur concentration can be given for the layer composition. It is shown in Table 3. Additionally, it needs to be noted that the sulfur peak observed in this layer originated from oxygen-bound sulfur atoms (sulfite or sulfate). This differs from the layer prepared at 300 °C, where the sulfur content was in a sulfide state. This can be explained by the oxidation of the sulfur due to the high oxygen content.
It is clear from these results that the growth at 400 °C is already outside of the ALD window of HfS2 growth, and instead of forming sulfides, at this temperature, the residual oxygen in the reaction chamber and provided by the purging nitrogen gas (although 6N purity nitrogen in our case) reacts with the precursor, forming HfO2 somewhat contaminated with sulfates. However, this may also be an interesting result from a technological point of view. As the preparation of HfO2 is always cumbersome, and the resulting films are rarely uniform and always granular in structure, this technique can result in superior insulating films. The resistivity of the layer was measured with a four-point probe, and its insulating properties were as good as that of HfO2, but the uniformity and smoothness of the layer exceeded those of HfO2.

4. Conclusions

The ALD of HfS2 with the use of the precursor tetrakis-dimethylamino-hafnium with H2S for the deposition of HfS2 layers is a facile approach to synthesizing HfS2 layers. The present paper shows that the ALD window of this deposition procedure is between 200 °C and 350 °C, with the highest growth rates at 300 °C. The as-grown films are amorphous but homogeneous and uniform at a 4′ scale. The layers are smoothest at the 200 °C deposition temperature. The RMS roughness grows with the increasing temperature. The films grown between 200 and 300 °C can be considered as good quality semiconducting HfS2 layers that can also be reproducibly grown at a thickness of a few atomic layers. The band gap of the film grown at 200 °C was 2.2 eV, that of the one at 300 °C was 3.3 eV. The method proved to be a promising way to prepare this important TMD material. The crystallization of the layers can be achieved by a 400 °C annealing for an hour, which results in crystalline 2D HfS2 layers stacked upon each other with 0.59 nm between them.
After the thicker films, an ultra-thin, smooth, and continuous layer was also synthesized with a thickness of 3 nm. This procedure proves the feasibility of atomic layer deposition for the preparation of 2D layers.

Supplementary Materials

The following supporting information can be downloaded at: https://www.mdpi.com/article/10.3390/solids3020018/s1, Figure S1: XPS spectrum observed on 400C HfS2 layer. It shows a low S content and partially oxidized state of Hf. Figure S2: The alteration of sulfur chemical state is shown here by the S 2p peak. The change of binding energy clearly shows that the layer made at 300C is in a well-defined sulfide state while the 400C layer present a mixture of differently oxidized sulfure compounds (SO3 and SO4) with smeared peak shape.

Author Contributions

Conceptualization and writing: Z.B.; investigation, all authors; ALD: Z.B.; TEM: Z.F.; ellipsometry: P.P.; XPS: A.S. All authors have read and agreed to the published version of the manuscript.

Funding

This research was funded by the Hungarian National Science Fund OTKA (Grant No. FK 139075 and K131515), VEKOP-2.3.3-15-2016-00010 and VEKOP-2.3.3-15-2016-00002 of the European Structural and Investment Funds, as well as the Janos Bolyai Research Scholarship of the Hungarian Academy of Sciences.

Conflicts of Interest

The authors declare no conflict of interest.

Sample Availability

Samples of the compounds are available from the authors.

References

  1. Cai, J.; Han, X.; Wang, X.; Meng, X. Atomic Layer Deposition of Two-Dimensional Layered Materials: Processes, Growth Mechanisms, and Characteristics. Matter 2020, 2, 587. [Google Scholar] [CrossRef] [Green Version]
  2. Lu, Y.; Warner, J.H. Synthesis and Applications of Wide Bandgap 2D Layered Semiconductors Reaching the Green and Blue Wavelengths. ACS Appl. Electron. Mater. 2020, 2, 1777–1814. [Google Scholar] [CrossRef]
  3. Wang, D.; Zhang, X.; Wang, Z. Recent Advances in Properties, Synthesis and Applications of Two-Dimensional HfS2. J. Nanosci. Nanotechnol. 2018, 18, 7319–7334. [Google Scholar] [CrossRef]
  4. Xu, K.; Wang, Z.; Wang, F.; Huang, Y.; Wang, F.; Yin, L.; Jiang, C.; He, J. Ultrasensitive Phototransistors Based on Few-Layered HfS2. Adv. Mater. 2015, 27, 7881–7887. [Google Scholar] [CrossRef] [PubMed]
  5. Chang, J. Modeling of anisotropic two-dimensional materials monolayer HfS2 and phosphorene metal-oxide semiconductor field effect transistors. J. Appl. Phys. 2015, 117, 214502. [Google Scholar] [CrossRef] [Green Version]
  6. Kanazawa, T.; Amemiya, T.; Ishikawa, A.; Upadhyaya, V.; Tsuruta, K.; Tanaka, T.; Miyamoto, Y. Few layer HfS2 transistors. Sci. Rep. 2016, 6, 22277. [Google Scholar] [CrossRef] [PubMed]
  7. Traving, M.; Seydel, T.; Kipp, L.; Skibowski, M.; Starrost, F.; Krasovskii, E.E.; Perlov, A.; Schattke, W. Combined photoemission and inverse photoemission study ofHfS2. Phys. Rev. B 2001, 63, 035107. [Google Scholar] [CrossRef] [Green Version]
  8. Zhao, Q.; Guo, Y.; Si, K.; Ren, Z.; Bai, J.; Xu, X. Elastic, electronic, and dielectricproperties of bulk and monolayer ZrS2,ZrSe2, HfS2, HfSe2from van der Waals density-functional theory. Phys. Status Solidi B 2017, 254, 1700033. [Google Scholar] [CrossRef]
  9. Wang, D.; Zhang, X.; Liu, H.; Meng, J.; Xia, J.; Yin, Z.; Wang, Y.; You, J.; Meng, X.-M. Epitaxial growth of HfS 2 on sapphire by chemical vapor deposition and application for photodetectors. 2D Mater. 2017, 4, 031012. [Google Scholar] [CrossRef]
  10. Conroy, L.E.; Park, K.C. Electrical Properties of the Group IV Disulfides TiS2, ZrS2, HfS2, and SnS,12. Inorg. Chem. 1968, 7, 459–463. [Google Scholar] [CrossRef]
  11. Kaur, H.; Yadav, S.; Srivastava, A.K.; Singh, N.; Rath, S.; Schneider, J.J.; Srivastava, R. High-yield synthesis and liquid-exfoliation of two-dimensional belt-like hafnium disulphide. Nano Res. 2018, 11, 343–353. [Google Scholar] [CrossRef] [Green Version]
  12. Lai, S.; Byeon, S.; Jang, S.K.; Lee, J.; Lee, B.H.; Park, J.H.; Kim, Y.H.; Lee, S. HfO3/HfS2 hybrid heterostructure fabricated via controllable chemical conversion of two-dimensional HfS2. Nanoscale 2018, 10, 18758. [Google Scholar] [CrossRef] [PubMed]
  13. Tan, C.; Cao, X.; Wu, X.-J.; He, Q.; Yang, J.; Zhang, X.; Chen, J.; Zhao, W.; Han, S.; Nam, G.-H.; et al. Recent advances in ultrathin two-dimensional nanomaterials. Chem. Rev. 2017, 117, 6225–6331. [Google Scholar] [CrossRef] [PubMed]
  14. Fu, L.; Wang, F.; Wu, B.; Wu, N.; Huang, W.; Wang, H.; Jin, C.; Zhuang, L.; He, J.; Liu, Y. Van der Waals Epitaxial Growth of Atomic Layered HfS2 Crystals for Ultrasensitive Near-Infrared Phototransistors. Adv. Mater. 2017, 29, 1700439. [Google Scholar] [CrossRef] [PubMed]
  15. Wang, D.; Meng, J.; Zhang, X.; Guo, G.; Yin, Z.; Liu, H.; Cheng, L.; Gao, M.; You, J.; Wang, R. Selective Direct Growth of Atomic Layered HfS2 on Hexagonal Boron Nitride for High Performance Photodetectors. Chem. Mater. 2018, 30, 3819–3826. [Google Scholar] [CrossRef]
  16. George, S.M. Atomic Layer Deposition: An Overview. Chem. Rev. 2010, 110, 111–131. [Google Scholar] [CrossRef]
  17. Leskela, M.; Ritala, M. Atomic layer deposition (ALD): From precursors to thin film structures. Thin Solid Films 2002, 409, 138–146. [Google Scholar] [CrossRef]
  18. Ritala, M.; Leskela, M. Atomic Layer Deposition. In Handbook of Thin Film Materials; Nalwa, H.S., Ed.; Academic Press: Cambridge, MA, USA, 2002; Volume 1. [Google Scholar]
  19. Kim, Y.; Song, J.G.; Park, Y.J.; Ryu, G.H.; Lee, S.J.; Kim, J.S.; Kim, H. Self Limiting Layer synthesis of transition metal dichalcogenides. Sci. Rep. 2016, 6, 18754. [Google Scholar] [CrossRef] [Green Version]
  20. Weber, M.; Koonkaew, B.; Balme, S.; Utke, I.; Picaud, F.; Eatsunskyi, I.; Coy, E.; Miele, P.; Bechelany, M. Boron nitride naoporous membranes with high surface charge by atomic layer deposition. Appl. Mater. Interfaces 2017, 9, 16669. [Google Scholar] [CrossRef]
  21. Mattinen, M.; Popov, G.; Vehkamäki, M.; King, P.J.; Mizohata, K.; Jalkanen, P.; Räisänen, J.; Leskelä, M.; Ritala, M. Atomic Layer Deposition of Emerging 2D Semiconductors, HfS2 and ZrS2, for Optoelectronics. Chem. Mater. 2019, 31, 5713–5724. [Google Scholar] [CrossRef] [Green Version]
  22. Chang, A.; Mao, Y.; Huang, Z.; Hong, H.; Xu, J.; Huang, W.; Chen, S.; Li, C. Low-temperature plasma enhanced atomic layer deposition of large area HfS2 nanocrystal thin films. Chin. Phys. B 2020, 29, 038102. [Google Scholar] [CrossRef]
  23. Cao, Y.; Wähler, T.; Park, H.; Will, J.; Prihoda, A.; Moses Badlyan, N.; Bachmann, J. Area Selective Growth of HfS2 thin films via atomic layer deposition at low temperature. Adv. Mater. Interfaces 2020, 7, 2001493. [Google Scholar] [CrossRef]
  24. Wiatrowski, A.; Obstarczyk, A.; Mazur, M.; Kaczmarek, D.; Wojcieszak, D. Characterization of HfO2 Optical Coatings Deposited by MF Magnetron Sputtering. Coatings 2019, 9, 106. [Google Scholar] [CrossRef] [Green Version]
  25. Johs, B.; Hale, J.S. Dielectric function representation by B-splines. Phys. Status Solidi A 2008, 205, 715–719. [Google Scholar] [CrossRef]
  26. Likhachev, D.V. On the optimization of knot allocation for B-spline parameterization of the dielectric function in spectroscopic ellipsometry data analysis. J. Appl. Phys. 2021, 129, 034903. [Google Scholar] [CrossRef]
  27. Baji, Z.; Lábadi, Z.; Horváth, Z.E.; Molnár, G.; Volk, J.; Bársony, I.; Barna, P. Nucleation and growth modes of ALD ZnO. Cryst. Growth Des. 2012, 12, 5615–5620. [Google Scholar] [CrossRef]
  28. Greenaway, D.L.; Nitsche, R. Preparation and optical properties of group IV-VI2 chalcogenides having the CdI2 structure. J. Phys. Chem. Solids 1965, 26, 1445–1458. [Google Scholar] [CrossRef]
Figure 1. The HfS2 films deposited at 200 °C (a), at 300 °C (c) and the same ones after a 1 h annealing at 400° in S atmosphere ((b,d), respectively).
Figure 1. The HfS2 films deposited at 200 °C (a), at 300 °C (c) and the same ones after a 1 h annealing at 400° in S atmosphere ((b,d), respectively).
Solids 03 00018 g001
Figure 2. AFM images of the films on silicon, deposited at 200 °C (a), at 300 °C (c) and the same ones after a 1 h annealing in H2S atmosphere at 400 °C ((b,d) respectively).
Figure 2. AFM images of the films on silicon, deposited at 200 °C (a), at 300 °C (c) and the same ones after a 1 h annealing in H2S atmosphere at 400 °C ((b,d) respectively).
Solids 03 00018 g002
Figure 3. AFM micrographs of the films on sapphire deposited at 200 °C (a), at 300 °C (c) and the same ones after a 1 h annealing in H2S atmosphere at 400 °C ((b,d) respectively).
Figure 3. AFM micrographs of the films on sapphire deposited at 200 °C (a), at 300 °C (c) and the same ones after a 1 h annealing in H2S atmosphere at 400 °C ((b,d) respectively).
Solids 03 00018 g003
Figure 4. XPS spectra of the HfS2 layer deposited at 300 °C. Color codes: black dots—observed spectrum; color lines—component peaks fitted to the spectrum according to the denotations.
Figure 4. XPS spectra of the HfS2 layer deposited at 300 °C. Color codes: black dots—observed spectrum; color lines—component peaks fitted to the spectrum according to the denotations.
Solids 03 00018 g004
Figure 5. Elemental depth profile of HfS2 layer determined by XPS. (a) concentration profile through the whole layer. Color codes: Hf-blue, S-orange, O-red, C-black, Si-green. (b) atomic percentage ratios. Color codes: S/Hf ratio-blue, (S+O)/Hf ratio-orange.
Figure 5. Elemental depth profile of HfS2 layer determined by XPS. (a) concentration profile through the whole layer. Color codes: Hf-blue, S-orange, O-red, C-black, Si-green. (b) atomic percentage ratios. Color codes: S/Hf ratio-blue, (S+O)/Hf ratio-orange.
Solids 03 00018 g005
Figure 6. The FFT image of the film deposited on Si at 300 °C and annealed at 400 °C (a), and the ultra-thin layer deposited at 300 °C (as deposited) (b).
Figure 6. The FFT image of the film deposited on Si at 300 °C and annealed at 400 °C (a), and the ultra-thin layer deposited at 300 °C (as deposited) (b).
Solids 03 00018 g006
Figure 7. HRTEM images of the HfS2 film deposited on Si at 300 °C, annealed at 400 °C (a), the high angle annular dark-field image (b) of the same layer and the elemental distribution of Hf (c), S (d), and O (e).
Figure 7. HRTEM images of the HfS2 film deposited on Si at 300 °C, annealed at 400 °C (a), the high angle annular dark-field image (b) of the same layer and the elemental distribution of Hf (c), S (d), and O (e).
Solids 03 00018 g007
Figure 8. Measured (dotted red and blue lines) and fitted (solid black lines) Ψ and Δ spectra measured by SE (a). The arrows show the order of increasing angles of incidence for 60°, 65° and 70°. Real (ε1) and imaginary (ε2) parts of the dielectric function (solid lines) determined from the B-Spline fit on the measured spectra using the optical model described in Section 2 (b). Reflection data from Ref. [24] is also plotted for comparison using a dashed black line. The thickness of the layer is 44.6 nm. The dashed and dotted red lines show ε1 data (with ε2 = 0) of HfO2 from the layer prepared at 400 °C and from Ref. [28] (@ 600 W), respectively.
Figure 8. Measured (dotted red and blue lines) and fitted (solid black lines) Ψ and Δ spectra measured by SE (a). The arrows show the order of increasing angles of incidence for 60°, 65° and 70°. Real (ε1) and imaginary (ε2) parts of the dielectric function (solid lines) determined from the B-Spline fit on the measured spectra using the optical model described in Section 2 (b). Reflection data from Ref. [24] is also plotted for comparison using a dashed black line. The thickness of the layer is 44.6 nm. The dashed and dotted red lines show ε1 data (with ε2 = 0) of HfO2 from the layer prepared at 400 °C and from Ref. [28] (@ 600 W), respectively.
Solids 03 00018 g008
Table 1. Parameters of the different layers.
Table 1. Parameters of the different layers.
Deposition Temp.Nr. of CyclesThicknessGrowth/Cycle
200 °C50037 nm0.074 nm
300 °C50042 nm0.084 nm
400 °C50033 nm0.066 nm
300 °C102.6 nm0.26 nm
Table 2. Surface roughness values of the deposited films.
Table 2. Surface roughness values of the deposited films.
layerSi/SapphSi 200 °CSi 300 °CSapphire 200 °CSapphire 300 °C
Substrate Annealed Annealed Annealed Annealed
RMS roughness0.5 nm/0.8 nm6.17 nm8.63 nm4.8 nm3.54 nm0.354 nm0.64 nm0.64 nm0.77 nm
Table 3. Calculated composition (at%) of the HfS2 layer deposited at 400 °C as determined by XPS.
Table 3. Calculated composition (at%) of the HfS2 layer deposited at 400 °C as determined by XPS.
HfSOCSi
composition after interface correction23.73.550.522.6-
Publisher’s Note: MDPI stays neutral with regard to jurisdictional claims in published maps and institutional affiliations.

Share and Cite

MDPI and ACS Style

Baji, Z.; Fogarassy, Z.; Sulyok, A.; Petrik, P. Investigation of the Tetrakis(dimethylamino)hafnium and H2S ALD Process: Effects of Deposition Temperature and Annealing. Solids 2022, 3, 258-270. https://doi.org/10.3390/solids3020018

AMA Style

Baji Z, Fogarassy Z, Sulyok A, Petrik P. Investigation of the Tetrakis(dimethylamino)hafnium and H2S ALD Process: Effects of Deposition Temperature and Annealing. Solids. 2022; 3(2):258-270. https://doi.org/10.3390/solids3020018

Chicago/Turabian Style

Baji, Zsófia, Zsolt Fogarassy, Attila Sulyok, and Péter Petrik. 2022. "Investigation of the Tetrakis(dimethylamino)hafnium and H2S ALD Process: Effects of Deposition Temperature and Annealing" Solids 3, no. 2: 258-270. https://doi.org/10.3390/solids3020018

APA Style

Baji, Z., Fogarassy, Z., Sulyok, A., & Petrik, P. (2022). Investigation of the Tetrakis(dimethylamino)hafnium and H2S ALD Process: Effects of Deposition Temperature and Annealing. Solids, 3(2), 258-270. https://doi.org/10.3390/solids3020018

Article Metrics

Back to TopTop