In Situ Synthesis, Crystallization Behavior, and Physical Properties of Biobased Poly(propyl thiophenedicarboxylate)/Multi-Walled Carbon Nanotubes Composites
Abstract
1. Introduction
2. Experimental Section
2.1. Materials
2.2. Synthesis of PPTh and PPTh/MWCNTs Composites
2.3. Characterizations
3. Results and Discussion
3.1. Chemical Structure and [η] Value Studies
3.2. Dispersion of MWCNTs in PPTh Matrix
3.3. Thermal Stability and Basic Thermal Properties Studies
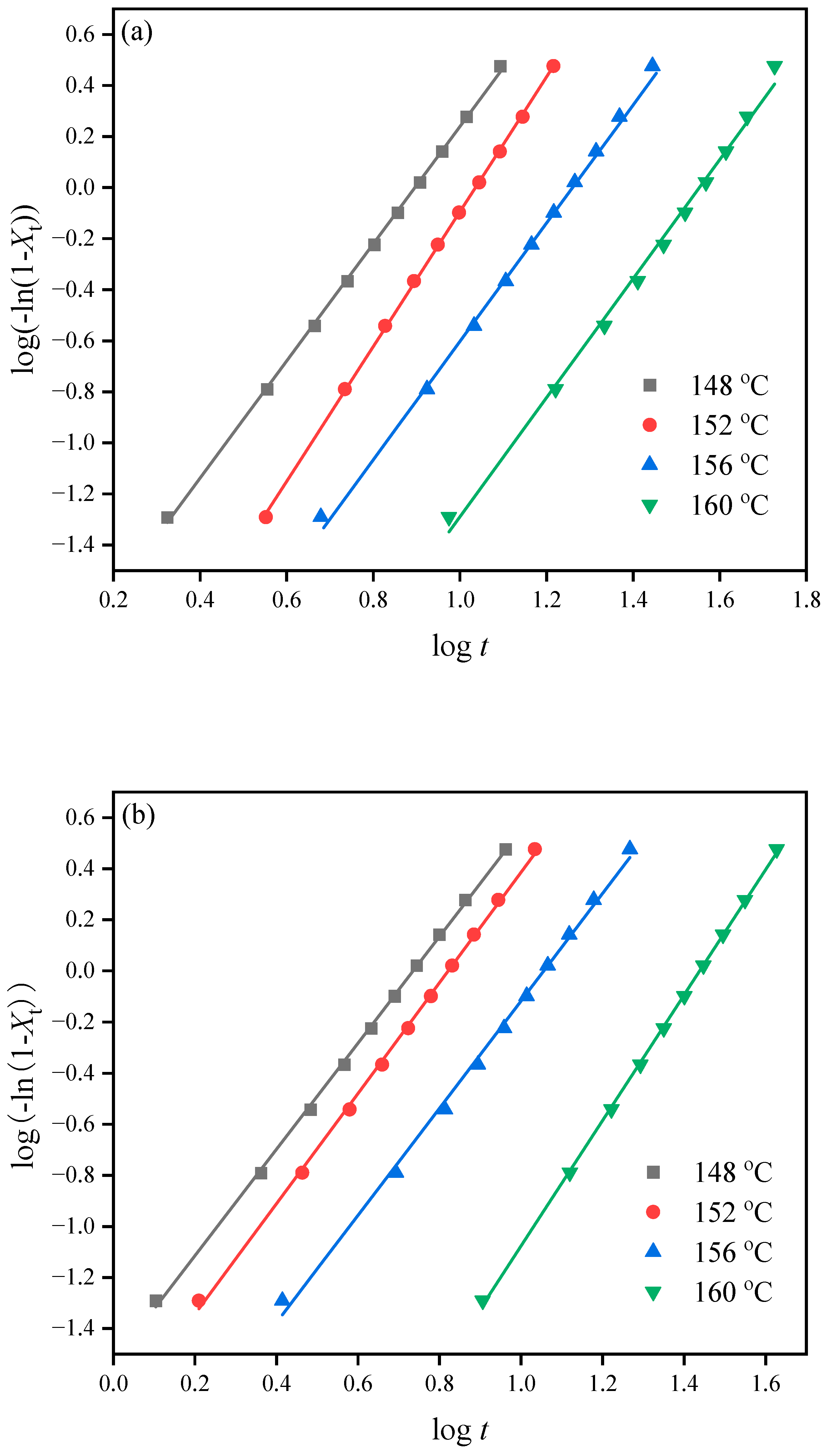
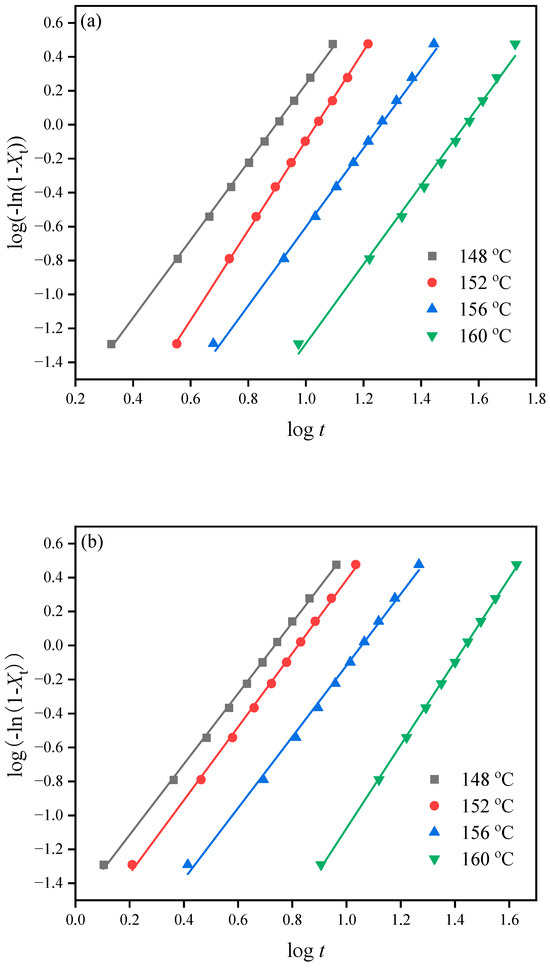
3.4. Crystallization Behavior Study
3.5. Mechanical Property Study
4. Conclusions
Author Contributions
Funding
Data Availability Statement
Acknowledgments
Conflicts of Interest
References
- Jain, R.; Tiwari, A. Biosynthesis of planet friendly bioplastics using renewable carbon source. J. Environ. Health Sci. 2015, 13, 11. [Google Scholar] [CrossRef]
- Park, J.; Koo, M.; Cho, S.; Lyu, M. Comparison of thermal and optical properties and flowability of fossil-based and bio-based polycarbonate. Macromol. Res. 2017, 25, 1135–1144. [Google Scholar] [CrossRef]
- Borrelle, S.; Ringma, J.; Law, K.; Monnahan, C.; Lebreton, L.; McGivern, A.; Murphy, E.; Jambeck, J.; Leonard, G.; Hilleary, M.; et al. Predicted growth in plastic waste exceeds efforts to mitigate plastic pollution. Science 2020, 369, 1515–1518. [Google Scholar] [CrossRef]
- Kane, I.; Clare, M.; Miramontes, E.; Wogelius, R.; Rothwell, J.; Garreau, P.; Pohl, F. Seafloor microplastic hotspots controlled by deep-sea circulation. Science 2020, 368, 1140–1145. [Google Scholar] [CrossRef] [PubMed]
- Li, Y.; Li, S.; Sun, J. Degradable poly(vinyl alcohol)-based supramolecular plastics with high mechanical strength in a watery environment. Adv. Mater. 2021, 33, 2007371. [Google Scholar] [CrossRef] [PubMed]
- Cywar, R.; Rorrer, N.; Hoyt, C.; Beckham, G.; Chen, E. Bio-based polymers with performance-advantaged properties. Nat. Rev. Mater. 2022, 7, 83–103. [Google Scholar] [CrossRef]
- Rai, P.; Mehrotra, S.; Priya, S.; Gnansounou, E.; Sharma, S. Recent advances in the sustainable design and applications of biodegradable polymers. Bioresour. Technol. 2021, 325, 124739. [Google Scholar] [CrossRef] [PubMed]
- Zhang, Q.; Song, M.; Xu, Y.; Wang, W.; Wang, Z.; Zhang, L. Bio-based polyesters: Recent progress and future prospects. Prog. Polym. Sci. 2021, 120, 101430. [Google Scholar] [CrossRef]
- Vilela, C.; Sousa, A.; Fonseca, A.; Serra, A.; Coelho, J.; Freire, C.; Silvestre, A. The quest for sustainable polyesters—Insights into the future. Polym. Chem. 2014, 5, 3119–3141. [Google Scholar] [CrossRef]
- Bozell, J.; Petersen, G. Technology development for the production of biobased products from biorefinery carbohydrates-the US Department of Energy’s “Top 10” revisited. Green Chem. 2010, 12, 539–554. [Google Scholar] [CrossRef]
- Fei, X.; Wang, J.; Zhang, X.; Jia, Z.; Jiang, Y.; Liu, X. Recent progress on bio-based polyesters derived from 2,5-furandicarbonxylic acid (FDCA). Polymers 2022, 14, 625. [Google Scholar] [CrossRef] [PubMed]
- Papageorgiou, G.; Papageorgiou, D.; Terzopoulou, Z.; Bikiaris, D. Production of bio-based 2,5-furan dicarboxylate polyesters: Recent progress and critical aspects in their synthesis and thermal properties. Eur. Polym. J. 2016, 83, 202–229. [Google Scholar] [CrossRef]
- Zhang, J.; Li, J.; Tang, Y.; Lin, L.; Long, M. Advances in catalytic production of bio-based polyester monomer 2,5-furandicarboxylic acid derived from lignocellulosic biomass. Carbohydr. Polym. 2015, 130, 420–428. [Google Scholar] [CrossRef]
- Polen, T.; Spelberg, M.; Bott, M. Toward biotechnological production of adipic acid and precursors from biorenewables. J. Biotechnol. 2013, 167, 75–84. [Google Scholar] [CrossRef]
- Zhi, W.; Hu, Y.; Liang, M.; Liu, Y.; Li, J.; Yin, J.; Shi, Y. Solid-liquid equilibrium and thermodynamic of 2,5-thiophenedicarboxylic acid in different organic solvents. Fluid Phase Equilib. 2014, 375, 110–114. [Google Scholar] [CrossRef]
- Guidotti, G.; Soccio, M.; Lotti, N.; Gazzano, M.; Siracusa, V.; Munari, A. Poly(propylene 2,5-thiophenedicarboxylate) vs. Poly(propylene 2,5-furandicarboxylate): Two examples of high gas barrier bio-based polyesters. Polymers 2018, 10, 785. [Google Scholar] [CrossRef]
- Bertolini, F.; Soccio, M.; Weinberger, S.; Guidotti, G.; Gazzano, M.; Guebitz, G.; Lotti, N.; Pellis, A. Unveiling the enzymatic degradation process of biobased thiophene polyesters. Front. Chem. 2021, 9, 771612. [Google Scholar] [CrossRef]
- Djouonkep, L.; Cheng, Z.; Siegu, K.; Jing, X.; Chen, J.; Adom, E.; Muaz, A.; Gauthier, M. High performance sulfur-containing copolyesters from bio-sourced aromatic monomers. eXPRESS Polym. Lett. 2022, 16, 102–114. [Google Scholar] [CrossRef]
- Guidotti, G.; Soccio, M.; Gazzano, M.; Siracusa, V.; Lotti, N. Poly(alkylene 2,5-thiophenedicarboxylate) polyesters: A new class of bio-based high-performance polymers for sustainable packaging. Polymers 2021, 13, 2460. [Google Scholar] [CrossRef]
- Wang, G.; Liang, Y.; Jiang, M.; Zhang, Q.; Wang, R.; Wang, H.; Zhou, Y. Synthesis and characterization of bio-based polyesters from 2,5-thiophenedicarboxylic acid. Polym. Degrad. Stab. 2019, 168, 108942. [Google Scholar] [CrossRef]
- Wang, J.; Zhang, X.; Shen, A.; Zhu, J.; Song, P.; Wang, H.; Liu, X. Synthesis and properties investigation of thiophene-aromatic polyesters: Potential alternatives for the 2,5-furandicarboxylic acid-based ones. Chin. J. Polym. Sci. 2020, 38, 1082–1091. [Google Scholar] [CrossRef]
- Guidotti, G.; Gigli, M.; Soccio, M.; Lotti, N.; Gazzano, M.; Siracusa, V.; Munari, A. Poly(butylene 2,5-thiophenedicarboxylate): An added value to the class of high gas barrier biopolyesters. Polymers 2018, 10, 167. [Google Scholar] [CrossRef] [PubMed]
- Chen, C.; Pan, S.; Qiu, Z. Crystallization kinetics and melting behavior of novel biobased poly(butylene 2,5-thiophenedicarboxylate). Chemistryselect 2024, 9, e202401725. [Google Scholar] [CrossRef]
- Tian, S.; Shi, K.; Xu, J.; Guo, B. Synthesis and structure-property relationships of novel high molecular weight fully biobased 2,5-thiophenedicarboxylic acid-based polyesters. Biomacromolecules 2023, 24, 2998–3008. [Google Scholar] [CrossRef] [PubMed]
- Wang, G.; Dong, Y. Bio-based poly(propylene 2,5-furandicarboxylate -co-propylene 2,5-thiophenedicarboxylate): Synthesis and characterization. Polym. Bull. 2024, 81, 4609–4627. [Google Scholar] [CrossRef]
- Wang, G.; Jiang, M.; Zhang, Q.; Wang, R.; Liang, Q.; Zhou, G. New bio-based copolyesters poly(trimethylene 2,5-thiophenedicarboxylate-co-trimethylene terephthalate): Synthesis, crystallization behavior, thermal and mechanical properties. Polymer 2019, 173, 27–33. [Google Scholar] [CrossRef]
- Wang, G.; Yang, G.; Jiang, M.; Wang, R.; Liang, Y.; Zhou, G. Poly(propylene naphthalate-co-propylene 2,5-thiophenedicarboxylate)s derived from bio-based 2,5-thiophenedicarboxylic acid (TDCA): Synthesis and properties. Polym. Test. 2021, 93, 106955. [Google Scholar] [CrossRef]
- Wang, Q.; Li, J.; Dong, Y.; Hu, H.; Oyoung, D.; Hu, D.; Zhang, Y.; Wei, D.; Wang, J.; Zhu, J. Biodegradable copolyesters derived from 2,5-thiophenedicarboxylic acid for high gas barrier packaging applications: Synthesis, crystallization properties, and biodegradation mechanisms. ACS Sustain. Chem. Eng. 2024, 12, 12086–12100. [Google Scholar] [CrossRef]
- Kourtidou, D.; Klonos, P.; Papadopoulos, L.; Kyritsis, A.; Bikiaris, D.; Chrissafis, K. Molecular mobility and crystallization of renewable poly(ethylene furanoate) filled with carbon nanotubes and graphene nanoparticles. Soft Matter 2021, 17, 5815–5828. [Google Scholar] [CrossRef]
- Papadopoulos, L.; Terzopoulou, Z.; Bikiaris, D.; Patsiaoura, D.; Chrissafis, K.; Papageorgiou, D.; Papageorgiou, G. Synthesis and characterization of in-situ-prepared nanocomposites based on poly(propylene 2,5-furan dicarboxylate) and aluminosilicate clays. Polymers 2018, 10, 937. [Google Scholar] [CrossRef]
- Sanusi, O.; Papadopoulos, L.; Klonos, P.; Terzopoulou, Z.; Hocine, N.; Benelfellah, A.; Papageorgiou, G.; Kyritsis, A.; Bikiaris, D. Calorimetric and dielectric study of renewable poly(hexylene 2,5-furan-dicarboxylate)-based nanocomposites on situ filled with small amounts of graphene platelets and silica nanoparticles. Polymers 2020, 12, 1239. [Google Scholar] [CrossRef]
- Xie, H.; Meng, H.; Wu, L.; Li, B.; Dubois, P. In-situ synthesis, thermal and mechanical properties of biobased poly (ethylene 2,5-furandicarboxylate) /montmorillonite (PEF/MMT) nanocomposites. Eur. Polym. J. 2019, 121, 109266. [Google Scholar] [CrossRef]
- Klonos, P.; Papadopoulos, L.; Papageorgiou, G.; Kyritsis, A.; Pissis, P.; Bikiaris, D. Interfacial interactions, crystallization, and molecular dynamics of renewable poly(propylene furanoate) filled with initial and surface functionalized carbon nanotubes and graphene oxide. J. Phys. Chem. C 2020, 124, 10220–10234. [Google Scholar] [CrossRef]
- Klonos, P.; Papadopoulos, L.; Tzetzis, D.; Kyritsis, A.; Papageorgiou, G.; Bikiaris, D. Thermal, nanoindentation and dielectric study of nanocomposites based on poly(propylene furanoate) and various inclusions. Mater. Today Commun. 2019, 20, 100585. [Google Scholar] [CrossRef]
- Xu, C.; Qiu, Z. Crystallization behavior and thermal property of biodegradable poly(3-hydroxybutyrate)/multi-walled carbon nanotubes nanocomposite. Polym. Advan. Technol. 2011, 22, 538–544. [Google Scholar] [CrossRef]
- Yue, J.; Liu, C.; Zhou, C.; Fu, X.; Luo, L.; Gan, L.; Yang, X.; Huang, J. Enhancing flame retardancy and promoting initial combustion carbonization via incorporating electrostatically surface-functionalized carbon nanotube synergist into intumescent flame-retardant poly (butylene succinate). Polymer 2020, 189, 122197. [Google Scholar] [CrossRef]
- Zhao, Y.; Qiu, Z.; Yang, W. Effect of functionalization of multiwalled nanotubes on the crystallization and hydrolytic degradation of biodegradable poly(L-lactide). J. Phys. Chem. B 2008, 112, 16461–16468. [Google Scholar] [CrossRef]
- Zhou, W.; Wu, Y.; Wei, F.; Luo, G.; Qian, W. Elastic deformation of multiwalled carbon nanotubes in electrospun MWCNTs-PEO and MWCNTs-PVA nanofibers. Polymer 2005, 46, 12689–12695. [Google Scholar] [CrossRef]
- Jyoti, J.; Singh, B.; Arya, A.; Dhakate, S. Dynamic mechanical properties of multiwall carbon nanotube reinforced ABS composites and their correlation with entanglement density, adhesion, reinforcement and factor. RSC Adv. 2016, 6, 3997. [Google Scholar] [CrossRef]
- Qiu, Z.; Wang, H.; Xu, C. Crystallization, mechanical properties, and controlled enzymatic degradation of biodegradable poly(ε-caprolactone)/multi-walled carbon nanotubes nanocomposites. J. Nanosci. Nanotechnol. 2011, 11, 7884–7893. [Google Scholar] [CrossRef]
- Wang, H.; Qiu, Z. Crystallization behaviors of biodegradable poly(L-lactic acid)/graphene oxide nanocomposites from the amorphous state. Thermochim. Acta 2011, 526, 229–236. [Google Scholar] [CrossRef]
- Zhao, Y.; Qiu, Z.; Yan, S.; Yang, W. Crystallization behavior of biodegradable poly(L-lactide)/multiwalled carbon nanotubes nanocomposites from the amorphous state. Polym. Eng. Sci. 2011, 51, 1564–1573. [Google Scholar] [CrossRef]
- Liao, W.; Tien, H.; Hsiao, S.; Li, S.; Wang, Y.; Huang, Y.; Yang, S.; Ma, C.; Wut, Y. Effects of multiwalled carbon nanotubes functionalization on the morphology and mechanical and thermal properties of carbon fiber/vinyl ester composites. ACS Appl. Mater. Interfaces 2013, 5, 3975–3982. [Google Scholar] [CrossRef]
- Shokrieh, M.; Saeedi, A.; Chitsazzadeh, M. Evaluating the effects of multi-walled carbon nanotubes on the mechanical properties of chopped strand mat/polyester composites. Mater Des. 2014, 56, 274–279. [Google Scholar] [CrossRef]
- Lotti, N.; Munari, A.; Gigli, M.; Gazzano, M.; Tsanaktsis, V.; Bikiaris, D.; Papageorgiou, G. Thermal and structural response of in situ prepared biobased poly(ethylene 2,5-furan dicarboxylate) nanocomposites. Polymer 2016, 103, 288–298. [Google Scholar] [CrossRef]
- Yudaev, P.; Tamboura, B.; Chistyakov, E. Antistatic polymer materials. Nanotechnol. Constr. 2023, 15, 139–151. [Google Scholar]
- Liu, J.; Liu, R.; Yuan, Y.; Zhang, S.; Liu, X. Preparation of superhydrophobic antistatic coatings from branched alternating copolymers P(St-alt-MAn) and carbon nanotubes based on organic–inorganic hybrid approach. Prog. Org. Coat. 2013, 73, 1251–1257. [Google Scholar] [CrossRef]
- Chen, M.; Jiang, Z.; Qiu, Z. In situ synthesis, crystallization behavior, and mechanical property of biobased poly(hexamethylene 2,5-furandicarboxylate)/ multiwalled carbon nanotube nanocomposites. Ind. Eng. Chem. Res. 2022, 61, 9745–9754. [Google Scholar] [CrossRef]
- Li, J.; Qiu, Z. Influence of two different nanofillers on the crystallization Behavior and dynamic mechanical properties of biodegradable poly(ethylene adipate). J. Polym. Environ. 2019, 27, 2674–2681. [Google Scholar] [CrossRef]
- Yu, Z.; Jiang, Z.; Qiu, Z. In-situ synthesis and thermal properties of biobased poly(neopentyl glycol 2,5-furandicarboxylate)/multi-walled carbon nanotubes composites. Polymer 2021, 229, 124019. [Google Scholar] [CrossRef]
- Solomon, Y.; Ciuta, I. Determination de la viscosite intrinseque de solutions de polymeres par une simple determination de la viscosite. J. Appl. Polym. Sci. 1962, 24, 683–686. [Google Scholar] [CrossRef]
- Avrami, M. Kinetics of phase change. II Transformation-time relations for randomdistribution of nuclei. J. Chem. Phys. 1940, 8, 212–224. [Google Scholar] [CrossRef]
- Avrami, M. Granulation, phase change, and microstructure kinetics of phase change. III. J. Chem. Phys. 1941, 9, 177–184. [Google Scholar] [CrossRef]
- Avramov, I.; Avramova, K.; Russel, C. New method to analyze data on overall crystallization kinetics. J. Cryst. Growth 2005, 285, 394–399. [Google Scholar] [CrossRef]













| Sample | [η] (dL/g) | Tg (°C) | Tch (°C) | ΔHch (J/g) | Tm (°C) | ΔHm (J/g) | Td (°C) |
|---|---|---|---|---|---|---|---|
| PPTh | 0.91 | 36.8 | 92.1 | 36.6 | 185.4 | 45.1 | 379.2 |
| PPTh/MWCNTs-0.1 | 0.85 | 37.3 | 94.1 | 37.1 | 185.7 | 45.3 | 378.7 |
| PPTh/MWCNTs-0.2 | 0.87 | 37.9 | 97.2 | 37.5 | 186.2 | 46.1 | 379.8 |
| Samples | Tc (°C) | n | k (min–n) |
|---|---|---|---|
| PPTh | 148 | 2.3 | 8.79 × 10−3 |
| 152 | 2.6 | 1.84 × 10−3 | |
| 156 | 2.3 | 1.22 × 10−3 | |
| 160 | 2.3 | 2.39 × 10−4 | |
| PPTh/MWCNTs-0.1 | 148 | 2.1 | 2.94 × 10−2 |
| 152 | 2.3 | 1.68 × 10−2 | |
| 156 | 2.2 | 6.08 × 10−3 | |
| 160 | 2.1 | 4.12 × 10−4 | |
| PPTh/MWCNTs-0.2 | 148 | 2.3 | 5.02 × 10−2 |
| 152 | 2.3 | 3.07 × 10−2 | |
| 156 | 2.2 | 1.59 × 10−2 | |
| 160 | 2.1 | 4.12 × 10−3 |
| Samples | E (MPa) | σy (MPa) | εy (%) | σb (MPa) | εb (%) |
|---|---|---|---|---|---|
| PPTh | 1122.5 ± 35.1 | 26.1 ± 0.6 | 4.1 ± 0.2 | 12.4 ± 0.2 | 469 ± 3.2 |
| PPTh/MWCNTs-0.1 | 1344.3 ± 9.7 | 40.8 ± 0.9 | 5.1 ± 0.1 | 20.6 ± 2.2 | 447.5 ± 6.6 |
| PPTh/MWCNTs-0.2 | 1412.1 ± 8.1 | 46.6 ± 3.2 | 5.2 ± 0.1 | 28.3 ± 0.5 | 390.2 ± 28.7 |
Disclaimer/Publisher’s Note: The statements, opinions and data contained in all publications are solely those of the individual author(s) and contributor(s) and not of MDPI and/or the editor(s). MDPI and/or the editor(s) disclaim responsibility for any injury to people or property resulting from any ideas, methods, instructions or products referred to in the content. |
© 2025 by the authors. Licensee MDPI, Basel, Switzerland. This article is an open access article distributed under the terms and conditions of the Creative Commons Attribution (CC BY) license (https://creativecommons.org/licenses/by/4.0/).
Share and Cite
Zhang, C.; Feng, S.; Qiu, Z. In Situ Synthesis, Crystallization Behavior, and Physical Properties of Biobased Poly(propyl thiophenedicarboxylate)/Multi-Walled Carbon Nanotubes Composites. Macromol 2025, 5, 31. https://doi.org/10.3390/macromol5030031
Zhang C, Feng S, Qiu Z. In Situ Synthesis, Crystallization Behavior, and Physical Properties of Biobased Poly(propyl thiophenedicarboxylate)/Multi-Walled Carbon Nanotubes Composites. Macromol. 2025; 5(3):31. https://doi.org/10.3390/macromol5030031
Chicago/Turabian StyleZhang, Chaoran, Shiwei Feng, and Zhaobin Qiu. 2025. "In Situ Synthesis, Crystallization Behavior, and Physical Properties of Biobased Poly(propyl thiophenedicarboxylate)/Multi-Walled Carbon Nanotubes Composites" Macromol 5, no. 3: 31. https://doi.org/10.3390/macromol5030031
APA StyleZhang, C., Feng, S., & Qiu, Z. (2025). In Situ Synthesis, Crystallization Behavior, and Physical Properties of Biobased Poly(propyl thiophenedicarboxylate)/Multi-Walled Carbon Nanotubes Composites. Macromol, 5(3), 31. https://doi.org/10.3390/macromol5030031

