Simple Summary
Patients with unresectable breast cancer may undergo ablative radiation therapy (RT) for local control. Patient-specific responses to RT are variable. There is evidence to suggest that immune markers predict RT response. In this study, spatial information from tumor immune cells is computed to predict radiation response. The results demonstrate an association with RT response and may be used in the future to individualize RT plans.
Abstract
Background: Patients with advanced breast cancer (BC) may be treated with stereotactic ablative radiotherapy (SABR) for tumor control. Variable treatment responses are a clinical challenge and there is a need to predict tumor radiosensitivity a priori. There is evidence showing that tumor infiltrating lymphocytes (TILs) are markers for chemotherapy response; however, this association has not yet been validated in breast radiation therapy. This pilot study investigates the computational analysis of TILs to predict SABR response in patients with inoperable BC. Methods: Patients with inoperable breast cancer (n = 22) were included for analysis and classified into partial response (n = 12) and stable disease (n = 10) groups. Pre-treatment tumor biopsies (n = 104) were prepared, digitally imaged, and underwent computational analysis. Whole slide images (WSIs) were pre-processed, and then a pre-trained convolutional neural network model (CNN) was employed to identify the regions of interest. The TILs were annotated, and spatial graph features were extracted. The clinical and spatial features were collected and analyzed using machine learning (ML) classifiers, including K-nearest neighbor (KNN), support vector machines (SVMs), and Gaussian Naïve Bayes (GNB), to predict the SABR response. The models were evaluated using receiver operator characteristics (ROCs) and area under the curve (AUC) analysis. Results: The KNN, SVM, and GNB models were implemented using clinical and graph features. Among the generated prediction models, the graph features showed higher predictive performances compared to the models containing clinical features alone. The highest-performing model, using computationally derived graph features, showed an AUC of 0.92, while the highest clinical model showed an AUC of 0.62 within unseen test sets. Conclusions: Spatial TIL models demonstrate strong potential for predicting SABR response in inoperable breast cancer. TILs indicate a higher independent predictive performance than clinical-level features alone.
1. Introduction
Approximately 10% of patients exhibit de novo metastatic breast cancer (MBC), defined as the presence of a primary breast tumor and synchronous distal metastasis at diagnosis [1,2]. Patients with de novo MBC are often not surgical candidates due to a lack of data supporting a survival advantage. There is also a group of patients deemed to have medically inoperable disease; for example, those with advanced age, poor performance status, or exhibiting comorbid conditions that carry a high risk of surgical complications, such as severe cardiac disease [3,4]. Many patients will therefore undergo drug therapy and radiation for palliation. Treatments are aimed at managing symptoms while gaining local tumor control, mitigating distal progression, improving quality of life, and prolonging survival, according to the patient’s goals of care.
Palliative radiation therapy (RT) is used for patients with inoperable breast cancer (BC) when medical treatments are contraindicated or ineffective [5]. Advanced RT techniques include stereotactic ablative radiotherapy (SABR), which delivers conformal high-dose radiation per fraction [6]. Current challenges with SABR for palliative treatment include suboptimal tumor response, as patients exhibit variable dose tolerances and tumor-resistance factors. Additionally, a delay in tumor shrinkage acutely after RT poses a challenge in monitoring RT response. Thus, there is a need to develop a prediction tool for SABR response [7]. There is evidence to suggest that immune-mediated markers, such as tumor infiltrating lymphocytes (TILs), may yield signals for radiation-induced tumor-killing effects [8,9].
TILs are immunoregulatory cells comprising T-cells, B-cells, and natural-killer cells [10]. The presence of immune infiltrates has been implicated in BC and is a positive prognostic indicator in highly proliferative BC subtypes [11]. TIL assessment may have a potential role in predicting local radiotherapy response in BC. In previous studies, high-dose radiation has been shown to elicit an immune response, leading to enhanced tumor cell clearance [12,13,14]. Such a mechanism has been described in experimental works identifying specific damage-associated molecular patterns (DAMPs) following radiation injury. DAMPs include the upregulation of calreticulin to the surface of apoptotic tumor cells, the extracellular release of adenosine triphosphate, and high mobility group box-1. These processes mediate dendritic cell maturation and the presentation of tumor antigens to TILs. TILs are then activated and reinstate a mode of tumor cell killing [9,14,15]. The growing body of evidence for TILs as a mediator of tumor cell clearance demonstrates an opportunity to evaluate its utility as a biomarker of RT response.
In this study, TILs were tested as candidate immune biomarkers to predict tumor response to SABR in inoperable breast cancer. We developed a computational approach for evaluating TILs using pre-therapeutic whole slide images (WSIs) of the tumor. The clinical data were also incorporated into multiple machine learning (ML) models to predict SABR response.
2. Materials and Methods
2.1. Clinical Data Source
This pilot study was a retrospective, single-institution study at Sunnybrook Health Sciences Centre (Toronto, Canada). The research project was approved by the institutional research ethics board. The clinical data included radiation treatment details (dose, treatment plans, and radiation fields), diagnosis, imaging modalities, patient demographic data, and tumor receptor status. The clinical and pathologic information was collected from the hospital’s electronic medical record system (EMR). Additional radiation oncology information was collected using a radiation treatment EMR (MOSAIQ, Elekta Inc., Stockholm, Sweden). All the data collected was anonymized and assigned an accession number to maintain patient privacy.
2.2. Patient Population
A retrospective data search identified 56 patients with inoperable BC treated with SABR between 2014 and 2021. The individuals were screened to meet the following inclusion criteria: (i) a pathologic diagnosis of invasive ductal carcinoma on core needle biopsy (CNB), (ii) medically inoperable, (iii) locally advanced, and/or (iv) presenting with de novo MBC and primary breast tumors treated with SABR at the discretion of the radiation oncologist. The exclusion criteria were based on the following attributes: (i) patients who underwent any surgical intervention in the ipsilateral breast preceding SABR, (ii) lobular carcinomas due to differences in recurrence patterns, (iii) failure to complete SABR dose regimens, and (iv) patients lost to follow-up. Individuals presenting with widespread (diffuse) metastatic disease were also excluded from this study; however, those with oligometastatic disease (defined here as ≤5 lesions) were included. This is due to recent evidence showing durable survival outcomes for these patients, thus permitting short-term follow-up after SABR [16]. A total of 22 individuals were included in the final analysis.
Radiation was delivered using an intensity-modulated radiation therapy (IMRT) technique where treatment plans were created for the anatomical mass and organs at risk. The treating radiation oncologist contoured the gross tumor volume (GTV) identified on standard computed tomography (CT) imaging. An internal tumor volume (ITV) was contoured based on a 4DCT, accounting for motion management. The 4DCT scan was used to measure the anatomical displacement from inspiration, expiration, maximum intensity projection, and average datasets. A PTV was delineated for each volume using a 5 mm margin.
The SABR dose regimens accepted for analysis included 35 Gray (Gy) in 5 fractions, 36 Gy in 4 fractions, 40 Gy in 4 fractions, 40 in 5 fractions, 44 Gy in 4 fractions, and 48 Gy in 4 fractions. The palliative doses, including 8 Gy in 1 fraction, 20 Gy in 5 fractions, or 30 Gy in 10 fractions, and high dose regimens indicated as palliative were excluded, as the radiobiological properties and cell survival curves from these regimens differ from normal SABR regimens.
Standard surveillance follow-up and imaging were conducted before the SABR treatment (baseline measurement) and a median follow-up period of 3.5 months following the completion of SABR. Acceptable diagnostic imaging modalities to measure tumor size from baseline included MRI, mammography, and ultrasound. MRI and mammography image assessment took precedence over ultrasound measurements in this study [17]. Image analysis and measurement were completed by the treating clinician and reported in the EMR.
2.3. Treatment Response Evaluation (Ground Truth Labels for Modeling)
Changes in breast lesion sizes were reported using the Response Evaluation Criteria in Solid Tumor version 1.1 (RECIST 1.1) criteria guidelines [17]. The RECIST framework objectively measures disease stability, tumor progression, or time to progression within clinical studies [18]. It represents a standardized approach and ground truth for the objective assessment of tumors. The imaging modalities for measurement remained consistent at baseline and at first follow-up post-treatment, where possible. MRI and mammography imaging were used for consistency and reproducibility. The lesion measurements were taken from physician-evaluated images before SABR (baseline) and post-SABR.
The primary endpoint measure was tumor shrinkage from SABR; thus, changes in tumor size were evaluated and labeled into binary classes: (Class 1) partial response (PR) and (Class 2) stable disease (SD). There were no patients who derived a complete response or had local tumor progression during the follow-up interval and were, therefore, not included in the endpoint labels.
2.4. Clinicopathologic Parameters
Clinical features were collected for analysis and modeling, including (i) age, (ii) systemic therapy administration (yes/no), and (iii) AJCC TNM staging information. Pathology information included biomarkers such as (i) estrogen-receptor expression, (ii) progesterone-receptor expression, and (iii) HER2 expression. Radiation treatment-related variables included (i) total RT dose to the primary breast tumor, (ii) number of treatment fractions, (iii) dose per fraction, and (iv) Biological Effective Dose.
2.5. Tissue Preparation and Digital Pathology
As part of the standard of care, diagnostic exams were completed by a board-certified radiologist and tumor CNBs were collected under ultrasound guidance. Four or five core tissue samples were collected from each patient according to the radiologist’s discretion. The CNBs were extracted using a 14-gauge TRU-CUT system, and samples measured 1 mm (diameter) × 10–20 mm (length). The core biopsies were fixed in formalin for at least 4–6 h. The samples were then processed into paraffin-embedded (FFPE) blocks for sectioning. The CNB blocks were cut into 4 μm sections using a microtome and prepared on glass slides. The sections were stained with hematoxylin and eosin (H&E). The slides were prepared by pathology technicians and evaluated for quality assurance by a board-certified pathologist. Quality control was completed on slides to remove any external contamination or artifacts. The slides were scanned using a digital pathology image scanner (TissueScope LE, Huron Digital Pathology Inc., St. Jacobs, ON, Canada) and digitized into WSIs at 40× magnification, with a resolution of 1472 × 922 pixels. The WSIs underwent further quality control to remove image blurriness using industry software from Huron Digital Pathology Inc. (St. Jacob, ON, Canada).
2.6. Quantitative Image Analysis and Feature Extraction
We first identified the invasive tumor bed from normal breast tissue on the digitized slides. A board-certified pathologist reviewed the digitized CNBs and manually annotated the invasive components, and these were used as ground truths for training the model for segmentation [18]. Otsu’s method was used to delineate the segmentation boundaries, which is a form of binary classification of an image using pixel intensities and a threshold that minimizes intraclass variance. Morphological operations, including binary closing and removal, were performed to remove noise from the resulting binary images [19].
Connected component labeling (region labeling) was subsequently used to determine the individual regions of interest (ROIs) for each CNB. The connected component algorithm from the CV2 Python library was utilized to scan and group pixels into binary images according to a connectivity function [20]. Adjacent pixels were assigned similar labels and were assumed to be related [21,22]. Each of these labeled regions was defined as a CNB section. Image masks were created for each of the CNB sections and tiled into 750 × 750-pixel tiles with a maximum background of 10%. Additionally, the tiles were stain normalized to reduce color variations across the image. A pre-trained convolutional neural network (CNN) (modified Visual Geometry Group-19) was utilized to determine the probability of each tile belonging to the tumor bed [18]. A probability heatmap of the WSIs was constructed utilizing a cutoff value of 0.8. Tiles indicating a probability higher than 0.8 were used for further analysis, while those below the cutoff were not used (Figure 1E).
Figure 1.
The cores were prepared using H&E staining, then imaged and digitized. The subsequent masks were created and sectioned into different regions (A). The core sections were tiled into 750 × 750 pixels with a maximum of 10% overlap in each tile and a magnification of 40× (B). Tissue stained and normalized for variation (C). VGG-19 was utilized to identify the probability of each tile as part of the tumor bed (D). The final heatmap created for tumor probability within each core section (E). HoVer-Net architecture was utilized to identify TILs within malignant sections of the tumor bed tiles (F).
HoVer-Net is a well-known deep learning architecture capable of the simultaneous segmentation and classification of different cells within the WSIs. This architecture has been used in a number of other studies for digital pathology analysis and has demonstrated equal performance to humans when used in conjunction with high-quality images [23,24]. This architecture was used to classify the centroids and boundaries of several cell types (epithelial, lymphocytes, macrophages, and neutrophils) within tumor bed tiles. The deep learning model comprised three branches: (1) determined if a pixel belonged to a target nucleus, (2) determined the horizontal and vertical distances of nuclear pixels to resolve cell separation, and (3) determined the type of cell [23]. The model was pre-trained using the public Multi-Organ Nuclei Segmentation and Classification (MoNuSaC) dataset [24]. The pre-training data used to adjust the model weights consisted of over 15,000 lymphocyte annotations, annotated by expert pathologists from four different cancer sites (breast, lung, kidney, and prostate) at 40× magnification. This pre-trained model was then used to segment and classify lymphocytes within our tiled images and extract centroids [24]. The annotated lymphocytes were later verified by a pathologist [24].
The extracted centroids of the lymphocytes were used to compute 300 unique first-order global cell graph features. The feature outputs included 12 Voronoi, 8 Delaunay, 4 minimum spanning trees, 216 nuclear densities, and 60 cell count features. These features were used to quantify the morphological and spatial arrangement of the TILs within the tumor bed. The Voronoi features partitioned the space such that each region contained points close to only one specific vertex, while the Delaunay features were obtained by connecting points in a plane into triangles of different properties. These features were adopted from Doyle et al. (2008), who looked at categorizing low- and high-grade BC based on digital pathology [25].
2.7. Statistical Analysis
The clinical features and histopathological features were summarized using descriptive statistics. The clinical features consisted of continuous and categorical variables, while the histopathological features consisted solely of continuous features. Univariate analysis was conducted on the study data. A Shapiro–Wilks test was completed to test for normality between the populations. The normally distributed features (p > 0.05) underwent a Levene’s test to determine group variance. A standard independent two-sample t-test was performed if the variance from the Levene’s test indicated equal variances (p > 0.05). A Welch’s t-test was performed if there was an indication of unequal variances from the Levene’s test (p ≤ 0.05). The non-normally distributed populations (p ≤ 0.05) underwent a Mann–Whitney U-test to compare differences between independent groups.
2.8. Machine Learning Prediction Modeling
Two experiments were conducted to build prediction models. Experiment 1 evaluated the clinical features as a baseline model, while Experiment 2 used the graph features derived from the coordinates of the TILs (Figure 2). A multicollinearity test was first conducted to remove the highly correlated features (r ≥ 0.7). The features were then tested against the dependent outcome variable, where the most highly correlated feature was retained. Collinearity was tested using Pearson’s R, Cramer’s V, and Correlation Ratio according to the data type. The data was subsequently divided into training (70%) and test (30%) sets at the patient level and core level for the respective models. This equated to a training set (n = 15) and test set (n = 7) within the clinical models and a training set (n = 73) and test set (n = 31) within the graph models. The training set was standardized using Z-score normalization, where the parameters (mean and standard deviation) were retained to standardize the test set. The test dataset was kept unseen from the training data for the entire modeling process.
Figure 2.
Process map of Experiment 1 (clinical dataset) and Experiment 2 (graph features), outlining methods used to develop classification models. Both experiments determined optimal features for predicting radiological tumor response.
Three different ML models were trained and evaluated, which included K-nearest neighbor (K-NN), support vector machines (SVMs), and Gaussian Naive Bayes (GNB). An exhaustive feature selection (EFS) technique was used to iterate the overall possible combinations of the feature sets. Using the clinical (n = 22) and graph (n = 104) cohorts, a ratio of one feature to ten samples (1:10) was used in the model construction. This allowed for a maximum of three features in each model. Both 7-fold and 10-fold GridSearch cross-validation (CV) techniques were implemented in the clinical and graph models, respectively. These were performed to iterate through the optimal features and hyperparameters for each model. Additionally, SMOTE was integrated to account for any balancing issues between the classes at the core level [26]. The classes indicated a mild imbalance, with a total of 60 (58%) cores in the PR group and 44 (42%) cores in the SD group. The performance of each fold was measured using the AUC of the ROCs to determine the most optimal performing features and hyperparameters.
3. Results
3.1. Patients and Dataset
This study cohort included 22 patients with unresected invasive ductal carcinoma (IDC) tumors. Three patients presented with de novo metastatic disease of five lesions or less. The median age of this population was 83.5 years (range: 45–98) and consisted of 21 (95%) female patients and 1 (5%) male patient. As the primary aim of this study was to predict responses to SABR, the 22 patients were categorized into Class 1 (PR) and Class 2 (SD). A total of 12 patients exhibited PR, while 10 exhibited SD. No patients exhibited complete response or progressive disease.
Each patient received palliative-intent SABR. Of these, four (18%) patients received 35 Gy in five fractions, six patients (27%) received 36 Gy in four fractions, three patients (14%) received 40 Gy in four fractions, four (18%) received 40 Gy in five fractions, and five patients (23%) received 44 Gy in four fractions. These radiotherapy doses, along with clinicopathological features, are presented in Table 1.
Table 1.
Baseline characteristics of this 22-patient cohort with IDC of the breast.
3.2. Significant Univariate Features
Analysis of the clinical features indicated that none of the clinical variables were statistically significant between the response groups (p < 0.05). The correlated features were removed to retain only the most significant attributes. Eight unique clinical features were identified and retained. These included C1 ‘Largest Diameter’, C2 ‘Previous Systemic Therapy’, C3 ‘Age’, C4 ‘Total Dose’, C5 ‘Fraction’, C6 ‘ER Percentage’, C7 ‘PgR Percentage’, and C8 ‘HER2-Status’.
Of the 300 graph features analyzed, the univariate analysis determined two-hundred and twenty-one features to be significant between the response groups (p < 0.05). The Pearson correlation coefficient was used for features that showed significant differences between the response groups. A total of seven unique independent variables were subsequently identified that had the highest correlation with the outcome variable. These features included f1 ‘Delaunay Sides Min–Max Ratio’, f2 ‘MST Branches Std Dev’, f3 ‘Density Neighbors in Distance 0 Mean’, f4 ‘Density Neighbors in Distance 1 Disorder’, f5 ‘Density Neighbors in Distance 7 Min–Max Ratio’, f6 ‘Density Neighbors in Distance 11 Mean’, and f7 ‘Density Distance for Neighbors 1 Min–Max Ratio’. These features were then used for modeling (Figure 3).
Figure 3.
Box and whisker plots, combined with swarm plots, for each of the identified spaces that were statistically significant. The statistical tests included a Levene’s test, followed by a t-test or a Welch’s t-test.
3.3. Multiparametric Clinical Models
Six different clinical-level classification models were created using the derived optimal features. The AUC performance score was used to determine the most optimal features. The models were developed with two or three optimal features to account for the sample size. The highest-performing clinical model was identified as the KNN model, with an AUC of 0.62. The lowest-performing model was the two-feature SVM, with an AUC of 0.38 (Table 2).
Table 2.
Performance metrics for binary classification models created using optimal clinical and graph features in terms of Acc: accuracy, Sn: sensitivity, Sp: specificity, and AUC.
3.4. Single-Feature Graph Models
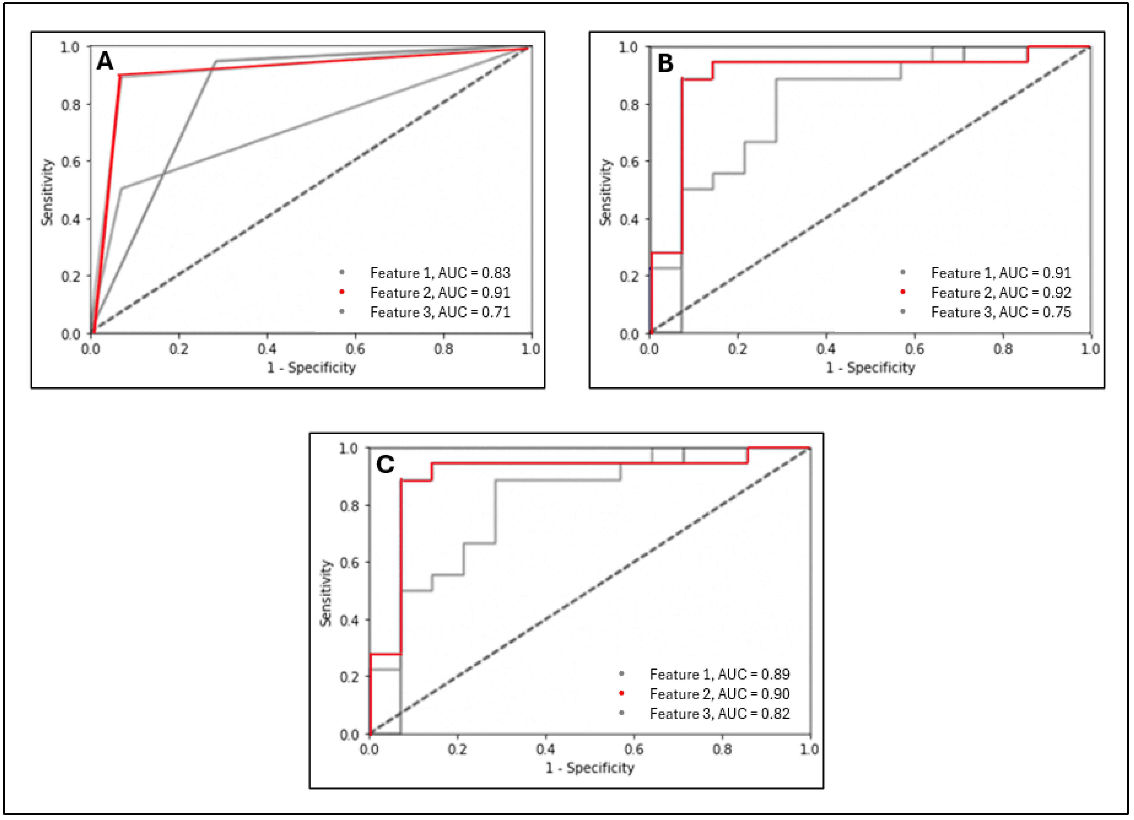
The single-feature KNN models demonstrated varying performance. The top-performing KNN model utilized feature 2 (f2 ‘MST Branches StdDev’) and achieved an AUC of 0.91 and an accuracy of 90.6%. The sensitivity and specificity for this model were 88.9% and 92.8%, respectively. The least effective KNN model using a single feature was based on f7 ‘Density Distance for Neighbors Min–Max Ratio’, with an AUC of 0.57 and an accuracy of 56.2%. The sensitivity and specificity for this model were 50.0% and 64.2%, respectively. The SVM models built with one feature displayed similar trends. The most successful SVM model, featuring f2 ‘MST Branches StdDev’, achieved an AUC of 0.90 and an accuracy of 87.5%. The sensitivity and specificity for this model were 94.4% and 78.5%, respectively. In contrast, the lowest performing SVM model incorporated feature 7 (f7 ‘Density Distance for Neighbors Min–Max Ratio’), exhibiting an AUC and accuracy of 0.62 and 56.2% and a sensitivity and specificity of 66.7% and 42.8%, respectively. The GNB models with single features also followed a similar trend. The most effective GNB model utilized feature 2 (f2 ‘MST Branches StdDev’) with an AUC of 0.92, accuracy of 84.4%, sensitivity of 94.4%, and specificity of 71.4%. Conversely, the least effective GNB model remained linked to feature 7 (f7 ‘Density Distance for Neighbors Min–Max Ratio’) and displayed an AUC of 0.64 and an accuracy of 62.5%. Its sensitivity and specificity were 83.3% and 35.7%, respectively (Figure 4).
Figure 4.
Highest performing single graph feature models using different classification models. Classification models included KNN (A), SVMs (B), and GNB (C).
3.5. Multiple Feature Graph Models
A total of six multi-feature graph models were constructed, including two KNNs, two SVMs, and two GNBs (Figure 5). The two-feature KNN model displayed the highest performance, achieving an AUC score of 0.91 and an accuracy rate of 81.2%. The features utilized within this model included f2 and f7 (‘MST Branches StdDev’ and ‘Density Distance for Neighbors Min–Max Ratio’). The sensitivity and specificity in this model were 77.8% and 85.7%, respectively. The three-feature KNN model achieved an AUC performance of 0.86. The support vector machine (SVM) models, both with two and three features, produced AUC scores of 0.91 and 0.76, respectively. Notably, the three-feature SVM model displayed the lowest performance among the six models, employing features f5, f6, and f7, namely ‘Density Neighbors in Distance’, ‘Density Neighbors in Distance 11 Mean’, and ‘Density Distance for Neighbors Min–Max Ratio’. Further, both the two and three-feature Gaussian Naive Bayes (GNB) models exhibited AUC performances of 0.88.
Figure 5.
Classification models using multiple graph features. The KNN 2 features (A), SVM 2 features (B), GNB 2 features (C), KNN 3 features (D), SVM 3 features (E), and GNB 3 features (F). The AUC scores are presented in the bottom right of each respective model. Model A was the highest-performing classification model.
4. Discussion
The results of this pilot study suggest that computational spatial TILs are predictive markers for SABR response in breast cancer. There is ongoing interest in developing immunomarkers to guide radiation therapy in BC [27,28,29]. The ABLATIVE trial (NCT06863301) investigated TILs in low-risk BC patients treated with pre-operative partial breast irradiation (20 Gy/single fraction) [30]. The patients (n = 22) were evaluated for pathologic complete response, and TILs were measured in the pre-treatment biopsies and post-treatment excisional specimens. The results indicated a significant reduction in TILs (CD3+, CD4+, and CD8+) associated with complete and partial tumor response [30]. Data from the DBCG82bc trial was used to investigate the prognostic value of TILs for patients treated with post-mastectomy radiotherapy (PMRT). The study followed 1011 high-risk (node +, >5 cm tumor, or skin invasion) BC patients. ER-negative status and high pre-treatment TILs were associated with a lower risk of distant relapse after 20 years and longer OS [31]. Kovacs et al. investigated 936 patients from the SweBC91RT cohort. Patients underwent breast conservation therapy, and high TILs were an independent variable for a lower risk of ipsilateral breast tumor recurrence [32]. These studies demonstrate that TILs can potentially guide radiation oncologists in deciding the optimal dose and radiation treatment plan to steer better prognostic outcomes. Collectively, a better understanding of the tumor microenvironment will help plan for personalized regimens. In radiation oncology, this could be carried out in the form of dose escalation or, possibly, a dose-reduced regimen that could spare patients from adverse RT-related side effects while maintaining an appropriate therapeutic ratio.
In this pilot study, we analyzed computationally derived graph features and used ML to predict SABR radiomic response. The ML models demonstrated discriminative features for partial response (i.e., tumor regression) versus patients who had no radiological tumor changes after RT. Among the multiple classification models, the KNN model, which comprised two predictive graph features, showed the highest performance. The ‘MST Branches Std Dev’ feature was the most discriminative graph feature based on the single-feature model’s performance. Overall, our baseline experiments using clinical-based features showed poor ML classification performance compared to the graph feature models. Spatial TIL assessment demonstrated better predictive performance compared to density scores alone [33]. Computational TIL analysis allows for a systematized approach to characterize the immune microenvironment. Higher-order quantitative features capture complex relationships between TILs and surrounding structures that are not possible through visual assessment [34]. Such relationships may include varying degrees of clustering and dispersion [33]. Implementing a computer vision pipeline into digital pathology may also enrich the information derived from tumor specimens, such as the mapping of intratumor heterogeneity based on the density of immune infiltrates [34]. Evaluation of TILs in the context of radiotherapy could aid in quantifying tumor response and establish new dosimetric strategies. The application of such systems could be designed to seamlessly integrate into clinical workflow without the demand for expert knowledge. These systems could be packaged such that clinicians could interpret the complex data and make informed decisions quickly [35]. Implementing these pipelines would allow medical professionals to better tailor radiation treatment and avoid ineffective or unnecessary therapies. This would alleviate increased healthcare costs associated with over-treatment and potential medical complications. Although the establishment of such a system would carry high initial acquisition costs (hardware, software, and personnel), many pathology departments are already outfitting digital pathology into their clinical workflow. Over the long term, such systems could improve overall clinical workflow and provide major healthcare savings [36].
Patients with inoperable or metastatic breast cancer have been shown to achieve durable local control (LC) when treated with SABR, making it a viable option when there are limited treatment options [37,38,39,40]. The BOMB trial demonstrated that local SABR therapy led to an LC rate of 100% after one year, with a 61.4% mean reduction in tumor size [38]. Similarly, Milano et al. conducted a clinical investigation on multiple cancers treated to oligometastatic lesions (<5), where overall tumor LC at two and four years was 77% and 73%, respectively. Larger lesions were associated with worse LC; however, lesions from BC were better controlled than lesions originating from other primary sites [37]. The initial findings from the SABR-COMET trial have outlined the benefit of standard-of-care treatment with additional SABR for metastatic lesions (one to five lesions) in various primary cancers. The SABR-COMET trial showed the benefits of using SABR in improving LC and overall survival (OS) among patients with BC [41]. More recent trials, such as the NRG-BR002 study, showed that SABR improves breast cancer-specific LC but not OS or progression-free survival (PFS) [39]. Individuals with controlled locoregional BC and four or fewer metastases had a PFS of 19.5 and 23 months and a 36-month OS of 68.9% and 71.8% in the SABR and non-SABR arms, respectively. The key findings here suggested that SABR may not be a universally beneficial treatment but may have benefits in select individuals. More studies are needed to identify which patients would derive the greatest benefit from SABR [39]. Thus, studying TILs as a radiation response marker may inform future radiation oncology practice and guide treatment decisions.
Limitations for this study are associated with the evaluation of TILs across multiple molecular subtypes, where spatial heterogeneity has shown evidence of variation, potentially due to TIL subtypes [42]. Further limitations include the use of standardized unidimensional measurements obtained using RECIST 1.1, despite available volumetric measurements. This results in variations associated with technical factors, tumor morphology, and reader decisions. Further, limitations are associated with using different imaging modalities in size-based measurements to predict treatment response. As well, this study included a small number of samples derived from a single institution, which would benefit from an external validation cohort.
5. Conclusions
Advancements in personalized medicine will allow clinicians in the future to tailor treatments in BC. However, predictive markers in radiotherapy remain in the early clinical and validation stages [29]. Immunoradiotherapy has been indicated as a ‘window of opportunity’ for designing treatments in locally advanced cancers by the radiation community. Herein, the spatial organization of TILs on H&E-stained histological images indicates a predictive response of BC to SABR, where clinical feature-based models alone showed poor predictive probability. TILs, therefore, may show potential as independent predictors of radiotherapy-specific radiological tumor response.
Author Contributions
Conceptualization, M.B. and W.T.T.; methodology, M.B.; software, M.B.; validation, M.B.; formal analysis, M.B.; investigation, M.B.; resources, S.K., D.V., K.J.J., R.K. and W.T.T.; data curation, M.B., F.-I.L. and W.T.T.; writing—original draft preparation, M.B.; writing—review and editing, K.S., F.-I.L., S.K, D.V., K.J.J., R.S., R.K. and W.T.T.; visualization, M.B.; supervision, R.K. and W.T.T.; funding acquisition, R.K. and W.T.T. All authors have read and agreed to the published version of the manuscript.
Funding
W.T.T. has received funding from the Terry Fox Research Institute (TFRI, Grant #1083), from the Tri-Agency Council Government of Canada’s New Frontiers in Research Fund (NFRF, Grant # NFRFE-2019-00193) and the CAMRT Research Grant (Grant # 2021-01).
Institutional Review Board Statement
The institutional review board approved this research study.
Informed Consent Statement
Patient consent was waived, as this was a retrospective study.
Data Availability Statement
The dataset curated and analyzed during the current study is not available to the public, however, may be made available by the corresponding author upon reasonable request.
Acknowledgments
The authors thank members of the Tran lab for their support in this research.
Conflicts of Interest
The authors declare no conflicts of interest.
References
- Cheng, Y.C.; Ueno, N.T. Improvement of survival and prospect of cure in patients with metastatic breast cancer. Breast Cancer 2012, 19, 191–199. [Google Scholar] [CrossRef] [PubMed]
- Jones, S.E. Metastatic Breast Cancer: The Treatment Challenge. Clin. Breast Cancer 2008, 8, 224–233. [Google Scholar] [CrossRef] [PubMed]
- O’Sullivan, C.C.; Loprinzi, C.L.; Haddad, T.C. Updates in the Evaluation and Management of Breast Cancer. Mayo Clin. Proc. 2018, 93, 794–807. [Google Scholar] [CrossRef]
- Ruiterkamp, J.; Ernst, M.F. The role of surgery in metastatic breast cancer. Eur. J. Cancer 2011, 47, S6–S22. [Google Scholar] [CrossRef] [PubMed]
- Coelho, R.C.; Da Silva, F.M.L.; Do Carmo, I.M.L.; Bonaccorsi, B.V.; Hahn, S.M.; Faroni, L.D. Is there a role for salvage radiotherapy in locally advanced breast cancer refractory to neoadjuvant chemotherapy? Breast 2017, 31, 192–196. [Google Scholar] [CrossRef]
- Jardel, P.; Kammerer, E.; Villeneuve, H.; Thariat, J. Stereotactic radiation therapy for breast cancer in the elderly. Transl. Cancer Res. 2020, 9, S86–S96. [Google Scholar] [CrossRef]
- Barker, H.E.; Paget, J.T.E.; Khan, A.A.; Harrington, K.J. The Tumour Microenvironment after Radiotherapy: Mechanisms of Resistance and Recurrence. Nat. Rev. Cancer 2015, 15, 409–425. [Google Scholar] [CrossRef]
- Lhuillier, C.; Rudqvist, N.-P.; Yamazaki, T.; Zhang, T.; Charpentier, M.; Galluzzi, L.; Dephoure, N.; Clement, C.C.; Santambrogio, L.; Zhou, X.K.; et al. Radiotherapy-exposed CD8+ and CD4+ neoantigens enhance tumor control. J. Clin. Investig. 2021, 131, e138740. [Google Scholar] [CrossRef]
- Lugade, A.; Moran, J.; Gerber, S.; Rose, R.; Frelinger, J.; Lord, E. Local Radiation Therapy of B16 Melanoma Tumors Increases the Generation of Tumor Antigen-Specific Effector Cells That Traffic to the Tumor. J. Immunol. 2005, 174, 7516–7523. [Google Scholar] [CrossRef]
- Denkert, C.; Loibl, S.; Noske, A.; Roller, M.; Müller, B.M.; Komor, M.; Budczies, J.; Darb-Esfahani, S.; Kronenwett, R.; Hanusch, C.; et al. Tumor-associated lymphocytes as an independent predictor of response to neoadjuvant chemotherapy in breast cancer. J. Clin. Oncol. 2010, 28, 105–113. [Google Scholar] [CrossRef]
- Pusztai, L.; Karn, T.; Safonov, A.; Abu-Khalaf, M.M.; Bianchini, G. New Strategies in Breast Cancer: Immunotherapy. Clin. Cancer Res. 2016, 22, 2105–2110. [Google Scholar] [CrossRef] [PubMed]
- Dewan, M.Z.; Galloway, A.E.; Kawashima, N.; Dewyngaert, J.K.; Babb, J.S.; Formenti, S.C.; Demaria, S. Fractionated but not single dose radiotherapy induces an immune-mediated abscopal effect when combined with anti-CTLA-4 antibody. Clin. Cancer Res. 2009, 15, 5379–5388. [Google Scholar] [CrossRef]
- Lee, Y.; Auh, S.L.; Wang, Y.; Burnette, B.; Wang, Y.; Meng, Y.; Beckett, M.; Sharma, R.; Chin, R.; Tu, T.; et al. Therapeutic Effects of Ablative Radiation on Local Tumor Require CD8+ T Cells: Changing Strategies for Cancer Treatment. Blood 2009, 114, 589–595. [Google Scholar] [CrossRef]
- Ko, E.C.; Benjamin, K.T.; Formenti, S.C. Generating antitumor immunity by targeted radiation therapy: Role of dose and fractionation. Adv. Radiat. Oncol. 2018, 3, 486–493. [Google Scholar] [CrossRef]
- Krombach, J.; Hennel, R.; Brix, N.; Orth, M.; Schoetz, U.; Ernst, A.; Schuster, J.; Zuchtriegel, G.; Reichel, C.A.; Bierschenk, S.; et al. Priming anti-tumor immunity by radiotherapy: Dying tumor cell-derived DAMPs trigger endothelial cell activation and recruitment of myeloid cells. OncoImmunology 2019, 8, e1523097. [Google Scholar] [CrossRef] [PubMed]
- Stewart, R.; White, M.; Tan, J.; Siva, S.; Karroum, L.; David, S. SABR in oligometastatic breast cancer: Current status and future directions. Breast 2021, 60, 223–229. [Google Scholar] [CrossRef] [PubMed]
- Eisenhauer, E.A.; Therasse, P.; Bogaerts, J.; Schwartz, L.H.; Sargent, D.; Ford, R.; Dancey, J.; Arbuck, S.; Gwyther, S.; Mooney, M.; et al. New response evaluation criteria in solid tumours: Revised RECIST guideline (version 1.1). Eur. J. Cancer 2009, 45, 228–247. [Google Scholar] [CrossRef]
- Lagree, A.; Shiner, A.; Alera, M.A.; Fleshner, L.; Law, E.; Law, B.; Lu, F.-I.; Dodington, D.; Gandhi, S.; Slodkowska, E.A.; et al. Assessment of Digital Pathology Imaging Biomarkers Associated with Breast Cancer Histologic Grade. Curr. Oncol. 2021, 28, 4298–4316. [Google Scholar] [CrossRef]
- Otsu, N. A Tlreshold Selection Method from Gray-Level Histograms. Automatica 1975, 11, 23–27. [Google Scholar]
- OpenCV: Structural Analysis and Shape Descriptors. Available online: https://docs.opencv.org/3.4/d3/dc0/group__imgproc__shape.html#ga107a78bf7cd25dec05fb4dfc5c9e765f (accessed on 13 February 2024).
- Dillencourt, M.B.; Samet, H.; Tamminen, M. A general approach to connected-component labeling for arbitrary image representations. J. ACM 1992, 39, 253–280. [Google Scholar] [CrossRef]
- He, L.; Ren, X.; Gao, Q.; Zhao, X.; Yao, B.; Chao, Y. The connected-component labeling problem: A review of state-of-the-art algorithms. Pattern Recognit. 2017, 70, 25–43. [Google Scholar] [CrossRef]
- Graham, S.; Vu, Q.D.; Raza, S.E.A.; Azam, A.; Tsang, Y.W.; Kwak, J.T.; Rajpoot, N. Hover-Net: Simultaneous segmentation and classification of nuclei in multi-tissue histology images. Med. Image Anal. 2019, 58, 101563. [Google Scholar] [CrossRef] [PubMed]
- Verma, R.; Kumar, N.; Patil, A.; Kurian, N.C.; Rane, S.; Graham, S.; Vu, Q.D.; Zwager, M.; Raza, S.E.A.; Rajpoot, N.; et al. MoNuSAC2020: A Multi-Organ Nuclei Segmentation and Classification Challenge. IEEE Trans. Med. Imaging 2021, 40, 3413–3423. [Google Scholar] [CrossRef] [PubMed]
- Doyle, S.; Agner, S.; Madabhushi, A.; Feldman, M.; Tomaszewski, J. Automated Grading of Breast Cancer Histopathology Using Spectral Clustering with Textural and Architectural Image Features. In Proceedings of the 2008 5th IEEE International Symposium on Biomedical Imaging: From Nano to Macro, Paris, France, 14–17 May 2008; Volume 29, p. 499, ISBN 978-1-4244-2002-5. [Google Scholar]
- Chawla, N.V.; Bowyer, K.W.; Hall, L.O.; Kegelmeyer, W.P.; et al. SMOTE: Synthetic Minority over-Sampling Technique. J. Artif. Intell. Res. 2002, 16, 321–357. [Google Scholar] [CrossRef]
- Scott, J.G.; Berglund, A.; Schell, M.J.; Mihaylov, I.; Fulp, W.J.; Yue, B.; Welsh, E.; Caudell, J.J.; Ahmed, K.; Strom, T.S.; et al. A genome-based model for adjusting radiotherapy dose (GARD): A retrospective, cohort-based study. Lancet Oncol. 2017, 18, 202–211. [Google Scholar] [CrossRef]
- Tanić, M.; Krivokuća, A.; Čavić, M.; Mladenović, J.; Plesinac Karapandžić, V.; Beck, S.; Radulović, S.; Susnjar, S.; Janković, R. Molecular signature of response to preoperative radiotherapy in locally advanced breast cancer. Radiat. Oncol. 2018, 13, 193. [Google Scholar] [CrossRef]
- Thomas, G.; Eisenhauer, E.; Bristow, R.G.; Grau, C.; Hurkmans, C.; Ost, P.; Guckenberger, M.; Deutsch, E.; Lacombe, D.; Weber, D.C.; et al. The European Organisation for Research and Treatment of Cancer, State of Science in radiation oncology and priorities for clinical trials meeting report. Eur. J. Cancer 2020, 131, 76–88. [Google Scholar] [CrossRef]
- Vasmel, J.E.; Vreuls, C.P.H.; Manson, Q.F.; Charaghvandi, R.K.; van Gorp, J.; van Leeuwen, A.M.G.; van Diest, P.J.; Verkooijen, H.M.; van den Bongard, H.J.G.D. Tumor-Infiltrating Lymphocytes in Low-Risk Patients with Breast Cancer Treated with Single-Dose Preoperative Partial Breast Irradiation. Int. J. Radiat. Oncol. 2021, 109, 1325–1331. [Google Scholar] [CrossRef]
- Tramm, T.; Vinter, H.; Vahl, P.; Özcan, D.; Alsner, J.; Overgaard, J. Tumor-infiltrating lymphocytes predict improved overall survival after post-mastectomy radiotherapy: A study of the randomized DBCG82bc cohort. Acta Oncol. Stockh. Swed. 2022, 61, 153–162. [Google Scholar] [CrossRef]
- Kovács, A.; Stenmark Tullberg, A.; Werner Rönnerman, E.; Holmberg, E.; Hartman, L.; Sjöström, M.; Lundstedt, D.; Malmström, P.; Fernö, M.; Karlsson, P. Effect of Radiotherapy After Breast-Conserving Surgery Depending on the Presence of Tumor-Infiltrating Lymphocytes: A Long-Term Follow-Up of the SweBCG91RT Randomized Trial. J. Clin. Oncol. 2019, 37, 1179–1187. [Google Scholar] [CrossRef]
- Saltz, J.; Gupta, R.; Hou, L.; Kurc, T.; Singh, P.; Nguyen, V.; Samaras, D.; Shroyer, K.R.; Zhao, T.; Batiste, R.; et al. Spatial Organization and Molecular Correlation of Tumor-Infiltrating Lymphocytes Using Deep Learning on Pathology Images. Cell Rep. 2018, 23, 181–193.e7. [Google Scholar] [CrossRef]
- Amgad, M.; Stovgaard, E.S.; Balslev, E.; Thagaard, J.; Chen, W.; Dudgeon, S.; Sharma, A.; Kerner, J.K.; Denkert, C.; Yuan, Y.; et al. Report on computational assessment of Tumor Infiltrating Lymphocytes from the International Immuno-Oncology Biomarker Working Group. npj Breast Cancer 2020, 6, 16. [Google Scholar] [CrossRef]
- Ngiam, K.Y.; Khor, W. Big data and machine learning algorithms for health-care delivery. Lancet Oncol. 2019, 20, e262–e273. [Google Scholar] [CrossRef] [PubMed]
- Ho, J.; Ahlers, S.M.; Stratman, C.; Aridor, O.; Pantanowitz, L.; Fine, J.L.; Kuzmishin, J.A.; Montalto, M.C.; Parwani, A.V. Can digital pathology result in cost savings? A financial projection for digital pathology implementation at a large integrated health care organization. J. Pathol. Inform. 2014, 5, 33. [Google Scholar] [CrossRef]
- Milano, M.T.; Katz, A.W.; Schell, M.C.; Philip, A.; Okunieff, P. Descriptive Analysis of Oligometastatic Lesions Treated With Curative-Intent Stereotactic Body Radiotherapy. Int. J. Radiat. Oncol. 2008, 72, 1516–1522. [Google Scholar] [CrossRef] [PubMed]
- Ippolito, E.; Silipigni, S.; Pantano, F.; Matteucci, P.; Carrafiello, S.; Marrocco, M.; Alaimo, R.; Palumbo, V.; Fiore, M.; Orsaria, P.; et al. BOMB trial: First results of stereotactic radiotherapy to primary breast tumor in metastatic breast cancer patients. Front. Oncol. 2023, 13, 1062355. [Google Scholar] [CrossRef]
- Chmura, S.J.; Winter, K.A.; Woodward, W.A.; Borges, V.F.; Salama, J.K.; Al-Hallaq, H.A.; Matuszak, M.; Milano, M.T.; Jaskowiak, N.T.; Bandos, H.; et al. NRG-BR002: A phase IIR/III trial of standard of care systemic therapy with or without stereotactic body radiotherapy (SBRT) and/or surgical resection (SR) for newly oligometastatic breast cancer (NCT02364557). J. Clin. Oncol. 2022, 40, 1007. [Google Scholar] [CrossRef]
- Courdi, A.; Ortholan, C.; Hannoun-Lévi, J.-M.; Ferrero, J.-M.; Largillier, R.; Balu-Maestro, C.; Chapellier, C.; Ettore, F.; Birtwisle-Peyrottes, I. Long-term results of hypofractionated radiotherapy and hormonal therapy without surgery for breast cancer in elderly patients. Radiother. Oncol. 2006, 79, 156–161. [Google Scholar] [CrossRef]
- Palma, D.A.; Olson, R.; Harrow, S.; Gaede, S.; Louie, A.V.; Haasbeek, C.; Mulroy, L.; Lock, M.; Rodrigues, G.B.; Yaremko, B.P.; et al. Stereotactic Ablative Radiotherapy for the Comprehensive Treatment of Oligometastatic Cancers: Long-Term Results of the SABR-COMET Phase II Randomized Trial. J. Clin. Oncol. 2020, 38, 2830–2838. [Google Scholar] [CrossRef]
- Khan, A.M.; Yuan, Y. Biopsy variability of lymphocytic infiltration in breast cancer subtypes and the ImmunoSkew score. Sci. Rep. 2016, 6, 36231. [Google Scholar] [CrossRef]
Disclaimer/Publisher’s Note: The statements, opinions and data contained in all publications are solely those of the individual author(s) and contributor(s) and not of MDPI and/or the editor(s). MDPI and/or the editor(s) disclaim responsibility for any injury to people or property resulting from any ideas, methods, instructions or products referred to in the content. |
© 2025 by the authors. Licensee MDPI, Basel, Switzerland. This article is an open access article distributed under the terms and conditions of the Creative Commons Attribution (CC BY) license (https://creativecommons.org/licenses/by/4.0/).




