Self-Assembling Peptides for Vaccine Adjuvant Discovery
Abstract
1. Introduction
2. Structure and Characteristics of Self-Assembling Peptides
2.1. α-Helical
2.2. β-Sheets
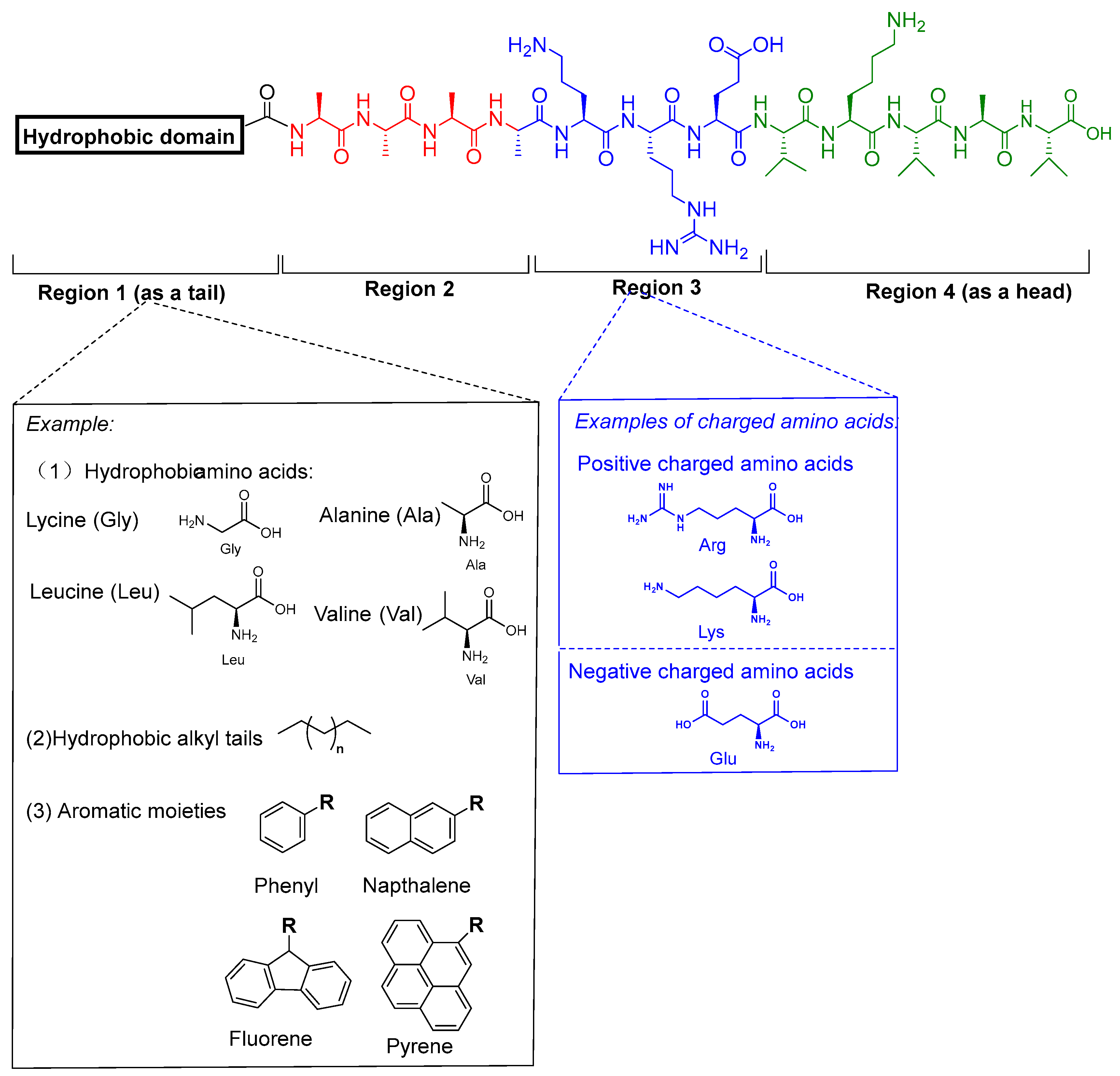
2.3. Peptide Amphiphiles
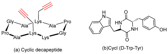
2.4. Cyclic Peptides
3. Applications of Self-Assembling Peptides in Vaccine Development
| Self-Assembling Peptide | Type of Nanostructure | Target Epitope | Results | Ref. |
|---|---|---|---|---|
| α-helix | ||||
| Coil29 | Nanofibers | CD8+ T-cell epitope | Induction of tune the humoral response and CD8+ immune response. | [64] |
| Nanofibers | Ovalbumin (OVA323–33) from S. aureus. | Stimulation of higher antibody titers and activities and raising follicular helper T cells compared to a β-sheet self-assembling peptide | [65] | |
| P41 | Nanocomplexes | Hepatitis C virus nonstructural protein C5 | Decrease of viral loading in mice with adjuvanticity of antiviral immune activation properties. | [66,67] |
| P6HRC1 polypeptide | Coiled-coil poly-nanostructure | Severe acute respiratory syndrome B cell epitope from C-terminal virus spike protein | Production of antibodies with high affinity for pathogenic protein and intensive use against coiled-coil confirmational viruses or other enveloped viruses. | [68] |
| Pentamer and trimer sequence peptide | 5-stranded and 3-stranded coiled-coil nanofiber | Cytotoxic T lymphocytes from PspA and CbpA from Streptococcus pneumoniae. | Stimulation of potent immune response against S. pneumoniae. | [69] |
| β-sheet | ||||
| Q11 | β-sheet nanofibers | Ovalbumin (OVA) OVA323–339 | Protection of IgG1, IgG2a, IgG3 in similar to the peptide epitope delivered in complete Freund’s adjuvant and greater level of IgM in secondary protection response | [70] |
| KFE8 | β-sheet nanotubes | Mycobacterium tuberculosis CD8+ epitope TB 10.4 and CD4 epitope Ag85B240–254 from | Elicitation of anti- Mycobacterium tuberculosis specific CD8+ and CD4+ immunity with the secretion of antigen-specific effector memory T cells and interferon-γ and interlekin-2 cytokines. | [71,72] |
| PAS-Q11 | β-sheet nanofibers | Model peptide antigen OVA323–339 and small molecule epitope, phosphorylcholine | Induction of anti-OVA and anti- phosphorylcholine humoral immune response and significant mucosal immunity following oral administration. | [73] |
| RADA16 | β-sheet nanofibrous hydrogel | Physical mixture of anti-PD-1 antibodies, dendritic cells, and OVA tumor antigen | Induction of superior antitumor immunotherapy efficiency in both prophylactic and therapeutic models via anti-tumor T-cell and potent CD8+ T cell response | [74] |
| EAK16-II | β-sheet nanofibers | HIV-1 CD8+ epitope SL9 | Stimulation of potent SL9 specific cytotoxic T lymphocyte and long-term secondary response. | [75] |
| K2-(SL)6-K2 | Nanohydrogel | Model antigen OVA | Elicitation of potent humoral immune response while evoking limited cellular immune response. | [76] |
| E-(SL)6-E | Nanofiber | Spike-binding peptide sequence from SARS-CoV-2 | Antiviral abilities to reduce the strength of multivalent binding to the viral receptors | [77] |
| Peptide amphiphile | ||||
| 15 (Poly)leucine residues | Nanofibers | J8 antigen from group A Streptococcus | Induction of high IgG titers and clear bacterial load from target organs without triggering the release of soluble inflammatory mediators | [78] |
| Fmoc-KCRGDE (FK) | Nanohydrogel | A bromodomain containing protein 4 inhibitor JQ1and indocyanine green (ICG) co-loaded tumor cells | Irradiation significantly inhibits of cytotoxic T lymphocytes and the induction of patient-specific memory immune response, contributing to prevent tumor recurrence and metastasis, | [79] |
| Ac-I3SLKG-NH2 | Nanohydrogel | Tumor peptide G(IIKK)3I-NH2 (G3) | Induction of inhibitory tumor growth with an effective antitumor immune response | [80] |
| DiC16-OVA | Nanomicelle | CD8+ T-cell epitope SIINFEKL from OVA protein. | Promotion of a cellular immune response and significant protective response in vivo. | [81] |
| Lipid-core peptide | Nanoparticle | J8 antigen from group A Streptococcus | Induction of high titers of antigen specific IgG antigens | [82,83] |
| J8-DiC16 | Cylindrical micelle nanoparticle | J8 antigen from group A Streptococcus | Production of J8-specific IgG2a immune response compared with J8 alone | [84] |
| Ada-GFFYGKKK-NH2 | Nanofibers | Model antigen OVA | Induction of a potent innate and adaptive immune response, with loading antigen with high efficiency | [85] |
| Nap-GFFY | Nanohydrogel | Model antigen OVA | Stimulation of strong cellular immune response and inhibition of tumor growth | [86] |
| Nap-GFFY-OMe | Nanohydrogel | HIV EnV DNA encoding the HIV-1 envelope protein gp145 | Induction of strong humoral and cellular immune responses. | [87] |
| Ac-AAVVLLLW-COOH | Nanovesicular structure | Human papillomavirus (HPV) peptide E743–57 | Production of antitumor immunity and increase of mice survival, delaying tumor cell growth | [88] |
| Cyclic peptide | ||||
| Cyclic decapeptide | Nanoparticle or microparticle | J8 antigen from group A Streptococcus | Induction of J8-specific systemic immune response without an additional adjuvant | [89] |
| Eight residue cyclic D, L-α cyclic peptides | Nanotube | Hepatitis C viral envelope protein (E2) antigen | Antiviral activity of cyclic peptide inhibited hepatitis C viruses entered into host cells. | [90] |
| Cyclo-(D-Trp-Tyr) | Nanotube | VP2 protein of goose parvovirus | Induction of significant antibody response and highest IgA levels in serum and tract after oral immunization. | [91] |
| Other Self-Assembling Vaccines | ||||
| Polyacrylate-based self-adjuvanting | Nanoparticle | 8Qmin (E744–57) | Decrease of tumor cell growth and induction of a strong cellular immune response and portion of up taken by dendritic cells dendritic cells and macrophages, and efficiently activated CD4+ T-helper cells and CD8+ cytotoxic T lymphocyte cells. | [92] |
| Cholesteryl PADRE-EGFRvIII lipopeptide | Micelle nanoparticle | Positive cutaneous melanoma EGFRvIII epitope | Stimulation of potent humoral immunoreaction and cellular immunity with significant tumor inhibitory capacity. | [93] |
| Natural hepatitis B core protein nanocage | Nanocage | CD8+ T-cell epitope SIINFEKL | Generation of cellular response and protective antitumor response, delaying tumor growth. | [94] |
| Protein annexin V (ANXA5) | Nanoparticle | Peptide major histocompatibility complex | Increase of fusion augments lymphocyte response with inducing potent cellular immunity. | [95] |
3.1. α-Helical
3.2. β-Sheets
3.3. Peptide Amphiphiles
3.4. Cyclic Peptide
3.5. Other Self-Assembling Vaccines
4. Challenges of Self-Assembling Peptides and Future Perspectives
Author Contributions
Funding
Conflicts of Interest
References
- Worboys, M. Vaccines: Conquering untreatable diseases. BMJ 2007, 334, s19. [Google Scholar] [CrossRef] [PubMed]
- O’NEill, C.L.; Shrimali, P.C.; Clapacs, Z.E.; Files, M.A.; Rudra, J.S. Peptide-based supramolecular vaccine systems. Acta Biomater. 2021, 133, 153–167. [Google Scholar] [CrossRef] [PubMed]
- Fan, J.; Jin, S.; Gilmartin, L.; Toth, I.; Hussein, W.M.; Stephenson, R.J. Advances in Infectious Disease Vaccine Adjuvants. Vaccines 2022, 10, 1120. [Google Scholar] [CrossRef]
- Skwarczynski, M.; Toth, I. Peptide-based synthetic vaccines. Chem. Sci. 2015, 7, 842–854. [Google Scholar] [CrossRef]
- Skwarczynski, M.; Toth, I. Peptide-Based Subunit Nanovaccines. Curr. Drug Deliv. 2011, 8, 282–289. [Google Scholar] [CrossRef] [PubMed]
- Rogers, B.; Dennison, K.; Adepoju, N.; Dowd, S.; Uedoi, K. Vaccine cold chain: Part 1. proper handling and storage of vaccine. AAOHN J. 2010, 58, 337–344, quiz 345–346. [Google Scholar] [CrossRef]
- Francis, M.J. Recent Advances in Vaccine Technologies. Veter-Clin. N. Am. Small Anim. Pract. 2017, 48, 231–241. [Google Scholar] [CrossRef]
- Madge, Y.R.; Stephenson, R.J.; Toth, I. Chapter 20—Nanocarrier-based vaccine delivery systems for synthetic peptide vaccines. In Handbook of Nanotechnology Applications; Lau, W.J., Ed.; Elsevier: Amsterdam, The Netherlands, 2021; pp. 509–535. [Google Scholar]
- Skwarczynski, M.; Toth, I. Recent Advances in Peptide-Based Subunit Nanovaccines. Nanomedicine 2014, 9, 2657–2669. [Google Scholar] [CrossRef] [PubMed]
- Zhao, T.; Cai, Y.; Jiang, Y.; He, X.; Wei, Y.; Yu, Y.; Tian, X. Vaccine adjuvants: Mechanisms and platforms. Signal Transduct. Target. Ther. 2023, 8, 283. [Google Scholar] [CrossRef]
- Pulendran, B.; Arunachalam, P.S.; O’hAgan, D.T. Emerging concepts in the science of vaccine adjuvants. Nat. Rev. Drug Discov. 2021, 20, 454–475. [Google Scholar] [CrossRef]
- Guy, B. The perfect mix: Recent progress in adjuvant research. Nat. Rev. Microbiol. 2007, 5, 396–397. [Google Scholar] [CrossRef] [PubMed]
- Qi, G.; Gao, Y.; Wang, L.; Wang, H. Self-Assembled Peptide-Based Nanomaterials for Biomedical Imaging and Therapy. Adv. Mater. 2018, 30, e1703444. [Google Scholar] [CrossRef] [PubMed]
- Mattia, E.; Otto, S. Supramolecular systems chemistry. Nat. Nanotechnol. 2015, 10, 111–119. [Google Scholar] [CrossRef] [PubMed]
- Zacco, E.; Anish, C.; Martin, C.E.; Berlepsch, H.V.; Brandenburg, E.; Seeberger, P.H.; Koksch, B. A Self-Assembling Peptide Scaffold for the Multivalent Presentation of Antigens. Biomacromolecules 2015, 16, 2188–2197. [Google Scholar] [CrossRef] [PubMed]
- Abdullah, T.; Bhatt, K.; Eggermont, L.J.; O’HAre, N.; Memic, A.; Bencherif, S.A.; Abudula, T. Supramolecular Self-Assembled Peptide-Based Vaccines: Current State and Future Perspectives. Front. Chem. 2020, 8, 598160. [Google Scholar] [CrossRef]
- Mandal, D.; Shirazi, A.N.; Parang, K. Self-assembly of peptides to nanostructures. Org. Biomol. Chem. 2014, 12, 3544–3561. [Google Scholar] [CrossRef]
- Rad-Malekshahi, M.; Lempsink, L.; Amidi, M.; Hennink, W.E.; Mastrobattista, E. Biomedical Applications of Self-Assembling Peptides. Bioconjugate Chem. 2015, 27, 3–18. [Google Scholar] [CrossRef]
- Yakimov, A.P.; Afanaseva, A.S.; Khodorkovskiy, M.A.; Petukhov, M.G. Design of Stable α-Helical Peptides and Thermostable Proteins in Biotechnology and Biomedicine. Acta Naturae 2016, 8, 70–81. [Google Scholar] [CrossRef]
- de Santana, C.J.C.; Júnior, O.R.P.; Fontes, W.; Palma, M.S.; Castro, M.S. Mastoparans: A Group of Multifunctional alpha-Helical Peptides With Promising Therapeutic Properties. Front. Mol. Biosci. 2022, 9, 824989. [Google Scholar] [CrossRef]
- Dieckmann, G.R.; Dalton, A.B.; Johnson, P.A.; Razal, J.; Chen, J.; Giordano, G.M.; Muñoz, E.; Musselman, I.H.; Baughman, R.H.; Draper, R.K. Controlled Assembly of Carbon Nanotubes by Designed Amphiphilic Peptide Helices. J. Am. Chem. Soc. 2003, 125, 1770–1777. [Google Scholar] [CrossRef]
- Micsonai, A.; Bulyáki, É.; Kardos, J. BeStSel: From Secondary Structure Analysis to Protein Fold Prediction by Circular Dichroism Spectroscopy. Methods Mol. Biol. 2021, 2199, 175–189. [Google Scholar] [CrossRef] [PubMed]
- Mason, J.M.; Arndt, K.M. Coiled Coil Domains: Stability, Specificity, and Biological Implications. ChemBioChem 2004, 5, 170–176. [Google Scholar] [CrossRef] [PubMed]
- Park, W.M. Coiled-Coils: The Molecular Zippers that Self-Assemble Protein Nanostructures. Int. J. Mol. Sci. 2020, 21, 3584. [Google Scholar] [CrossRef] [PubMed]
- Papapostolou, D.; Smith, A.M.; Atkins, E.D.T.; Oliver, S.J.; Ryadnov, M.G.; Serpell, L.C.; Woolfson, D.N. Engineering nanoscale order into a designed protein fiber. Proc. Natl. Acad. Sci. USA 2007, 104, 10853–10858. [Google Scholar] [CrossRef] [PubMed]
- Lupas, A.N.; Gruber, M. The structure of alpha-helical coiled coils. Adv. Protein. Chem. 2005, 70, 37–78. [Google Scholar]
- Fletcher, J.M.; Harniman, R.L.; Barnes, F.R.H.; Boyle, A.L.; Collins, A.; Mantell, J.; Sharp, T.H.; Antognozzi, M.; Booth, P.J.; Linden, N.; et al. Self-Assembling Cages from Coiled-Coil Peptide Modules. Science 2013, 340, 595–599. [Google Scholar] [CrossRef]
- Morris, C.; Glennie, S.J.; Lam, H.S.; Baum, H.E.; Kandage, D.; Williams, N.A.; Morgan, D.J.; Woolfson, D.N.; Davidson, A.D. A Modular Vaccine Platform Combining Self-Assembled Peptide Cages and Immunogenic Peptides. Adv. Funct. Mater. 2019, 29, 1807357. [Google Scholar] [CrossRef]
- Aronsson, C.; Dånmark, S.; Zhou, F.; Öberg, P.; Enander, K.; Su, H.; Aili, D. Self-sorting heterodimeric coiled coil peptides with defined and tuneable self-assembly properties. Sci. Rep. 2015, 5, srep14063. [Google Scholar] [CrossRef]
- Nowick, J.S. Exploring beta-sheet structure and interactions with chemical model systems. Acc. Chem. Res. 2008, 41, 1319–1330. [Google Scholar] [CrossRef]
- Pauling, L.; Corey, R.B. Stable configurations of polypeptide chains. Proc. R. Soc. London. Ser. B Biol. Sci. 1953, 141, 21–33. [Google Scholar] [CrossRef]
- Pauling, L.; Corey, R.B. Two Rippled-Sheet Configurations of Polypeptide Chains, and a Note about the Pleated Sheets. Proc. Natl. Acad. Sci. USA 1953, 39, 253–256. [Google Scholar] [CrossRef] [PubMed]
- Edsall, J.T. Configurations of polypeptide chains and protein molecules. J. Cell. Comp. Physiol. 1956, 47, 163–200. [Google Scholar] [CrossRef] [PubMed]
- Bowerman, C.J.; Nilsson, B.L. Self-assembly of amphipathic beta-sheet peptides: Insights and applications. Biopolymers 2012, 98, 169–184. [Google Scholar] [CrossRef] [PubMed]
- Bowerman, C.J.; Ryan, D.M.; Nissan, D.A.; Nilsson, B.L. The effect of increasing hydrophobicity on the self-assembly of amphipathic beta-sheet peptides. Mol. Biosyst. 2009, 5, 1058–1069. [Google Scholar] [CrossRef]
- Chou, K.C.; Pottle, M.; Némethy, G.; Ueda, Y.; Scheraga, H.A. Structure of beta-sheets. Origin of the right-handed twist and of the increased stability of antiparallel over parallel sheets. J. Mol. Biol. 1982, 162, 89–112. [Google Scholar] [CrossRef]
- Lim, Y.-B.; Moon, K.-S.; Lee, M. Recent advances in functional supramolecular nanostructures assembled from bioactive building blocks. Chem. Soc. Rev. 2009, 38, 925–934. [Google Scholar] [CrossRef]
- Cheng, P.N.; Pham, J.D.; Nowick, J.S. The supramolecular chemistry of beta-sheets. J. Am. Chem. Soc. 2013, 135, 5477–5492. [Google Scholar] [CrossRef]
- Habibi, N.; Kamaly, N.; Memic, A.; Shafiee, H. Self-assembled peptide-based nanostructures: Smart nanomaterials toward targeted drug delivery. Nano Today 2016, 11, 41–60. [Google Scholar] [CrossRef] [PubMed]
- Bakota, E.L.; Wang, Y.; Danesh, F.R.; Hartgerink, J.D. Injectable Multidomain Peptide Nanofiber Hydrogel as a Delivery Agent for Stem Cell Secretome. Biomacromolecules 2011, 12, 1651–1657. [Google Scholar] [CrossRef]
- Yang, S.; Wang, M.; Wang, T.; Sun, M.; Huang, H.; Shi, X.; Duan, S.; Wu, Y.; Zhu, J.; Liu, F. Self-assembled short peptides: Recent advances and strategies for potential pharmaceutical applications. Mater. Today Bio. 2023, 20, 100644. [Google Scholar] [CrossRef]
- Zhang, S.; Holmes, T.; Lockshin, C.; Rich, A. Spontaneous assembly of a self-complementary oligopeptide to form a stable macroscopic membrane. Proc. Natl. Acad. Sci. USA 1993, 90, 3334–3338. [Google Scholar] [CrossRef] [PubMed]
- Zhong, R.; Talebian, S.; Mendes, B.B.; Wallace, G.; Langer, R.; Conde, J.; Shi, J. Hydrogels for RNA delivery. Nat. Mater. 2023, 22, 818–831. [Google Scholar] [CrossRef] [PubMed]
- Gilam, A.; Conde, J.; Weissglas-Volkov, D.; Oliva, N.; Friedman, E.; Artzi, N.; Shomron, N. Local microRNA delivery targets Palladin and prevents metastatic breast cancer. Nat. Commun. 2016, 7, 12868. [Google Scholar] [CrossRef] [PubMed]
- Zhang, S.; Holmes, T.; Lockshin, C.; Rich, A. Unusually stable beta-sheet formation in an ionic self-complementary oligopeptide. Biopolymers 1994, 34, 663–672. [Google Scholar] [CrossRef]
- Eskandari, S.; Guerin, T.; Toth, I.; Stephenson, R.J. Recent advances in self-assembled peptides: Implications for targeted drug delivery and vaccine engineering. Adv. Drug Deliv. Rev. 2017, 110–111, 169–187. [Google Scholar] [CrossRef]
- Dehsorkhi, A.; Castelletto, V.; Hamley, I.W. Self-assembling amphiphilic peptides. J. Pept. Sci. 2014, 20, 453–467. [Google Scholar] [CrossRef]
- Shah, R.N.; Shah, N.A.; Del Rosario Lim, M.M.; Hsieh, C.; Nuber, G.; Stupp, S.I. Supramolecular design of self-assembling nanofibers for cartilage regeneration. Proc. Natl. Acad. Sci. USA 2010, 107, 3293–3298. [Google Scholar] [CrossRef]
- Cui, H.; Webber, M.J.; Stupp, S.I. Self-assembly of peptide amphiphiles: From molecules to nanostructures to biomaterials. Pept. Sci. 2010, 94, 1–18. [Google Scholar] [CrossRef]
- Accardo, A.; Tesauro, D.; Mangiapia, G.; Pedone, C.; Morelli, G. Nanostructures by self-assembling peptide amphiphile as potential selective drug carriers. Pept. Sci. 2006, 88, 115–121. [Google Scholar] [CrossRef]
- Dasgupta, A.; Das, D. Designer Peptide Amphiphiles: Self-Assembly to Applications. Langmuir 2019, 35, 10704–10724. [Google Scholar] [CrossRef]
- Paramonov, S.E.; Jun, H.-W.; Hartgerink, J.D. Self-Assembly of Peptide−Amphiphile Nanofibers: The Roles of Hydrogen Bonding and Amphiphilic Packing. J. Am. Chem. Soc. 2006, 128, 7291–7298. [Google Scholar] [CrossRef] [PubMed]
- Hendricks, M.P.; Sato, K.; Palmer, L.C.; Stupp, S.I. Supramolecular Assembly of Peptide Amphiphiles. Acc. Chem. Res. 2017, 50, 2440–2448. [Google Scholar] [CrossRef] [PubMed]
- Neumann, M.; di Marco, G.; Iudin, D.; Viola, M.; van Nostrum, C.F.; van Ravensteijn, B.G.P.; Vermonden, T. Stimuli-Responsive Hydrogels: The Dynamic Smart Biomaterials of Tomorrow. Macromolecules 2023, 56, 8377–8392. [Google Scholar] [CrossRef]
- Kokkoli, E.; Mardilovich, A.; Wedekind, A.; Rexeisen, E.L.; Garg, A.; Craig, J.A. Self-assembly and applications of biomimetic and bioactive peptide-amphiphiles. Soft Matter 2006, 2, 1015–1024. [Google Scholar] [CrossRef]
- Joo, S.-H. Cyclic Peptides as Therapeutic Agents and Biochemical Tools. Biomol. Ther. 2012, 20, 19–26. [Google Scholar] [CrossRef] [PubMed]
- Hayes, H.C.; Luk, L.Y.P.; Tsai, Y.-H. Approaches for peptide and protein cyclisation. Org. Biomol. Chem. 2021, 19, 3983–4001. [Google Scholar] [CrossRef]
- Choi, J.-S.; Joo, S.H. Recent Trends in Cyclic Peptides as Therapeutic Agents and Biochemical Tools. Biomol. Ther. 2020, 28, 18–24. [Google Scholar] [CrossRef] [PubMed]
- Zorzi, A.; Deyle, K.; Heinis, C. Cyclic peptide therapeutics: Past, present and future. Curr. Opin. Chem. Biol. 2017, 38, 24–29. [Google Scholar] [CrossRef]
- Gao, X.; Matsui, H. Peptide-Based Nanotubes and Their Applications in Bionanotechnology. Adv. Mater. 2005, 17, 2037–2050. [Google Scholar] [CrossRef]
- Song, Q.; Cheng, Z.; Kariuki, M.; Hall, S.C.L.; Hill, S.K.; Rho, J.Y.; Perrier, S. Molecular Self-Assembly and Supramolecular Chemistry of Cyclic Peptides. Chem. Rev. 2021, 121, 13936–13995. [Google Scholar] [CrossRef]
- Brea, R.J.; Reiriz, C.; Granja, J.R. Towards functional bionanomaterials based on self-assembling cyclic peptide nanotubes. Chem. Soc. Rev. 2010, 39, 1448–1456. [Google Scholar] [CrossRef] [PubMed]
- Kopec, K.; Pędziwiatr, M.; Gront, D.; Sztatelman, O.; Sławski, J.; Łazicka, M.; Worch, R.; Zawada, K.; Makarova, K.; Nyk, M.; et al. Comparison of alpha-Helix and beta-Sheet Structure Adaptation to a Quantum Dot Geometry: Toward the Identification of an Optimal Motif for a Protein Nanoparticle Cover. ACS Omega 2019, 4, 13086–13099. [Google Scholar] [CrossRef] [PubMed]
- Wu, Y.; Norberg, P.K.; Reap, E.A.; Congdon, K.L.; Fries, C.N.; Kelly, S.H.; Sampson, J.H.; Conticello, V.P.; Collier, J.H. A Supramolecular Vaccine Platform Based on α-Helical Peptide Nanofibers. ACS Biomater. Sci. Eng. 2017, 3, 3128–3132. [Google Scholar] [CrossRef]
- Wu, Y.; Kelly, S.H.; Sanchez-Perez, L.; Sampson, J.H.; Collier, J.H. Comparative study of alpha-helical and beta-sheet self-assembled peptide nanofiber vaccine platforms: Influence of integrated T-cell epitopes. Biomater. Sci. 2020, 8, 3522–3535. [Google Scholar] [CrossRef]
- Zhang, J.; Mulvenon, A.; Makarov, E.; Wagoner, J.; Knibbe, J.; Kim, J.O.; Osna, N.; Bronich, T.K.; Poluektova, L.Y. Antiviral peptide nanocomplexes as a potential therapeutic modality for HIV/HCV co-infection. Biomaterials 2013, 34, 3846–3857. [Google Scholar] [CrossRef]
- Zhang, J.; Garrison, J.C.; Poluektova, L.Y.; Bronich, T.K.; Osna, N.A. Liver-targeted antiviral peptide nanocomplexes as potential anti-HCV therapeutics. Biomaterials 2015, 70, 37–47. [Google Scholar] [CrossRef]
- Pimentel, T.A.P.F.; Yan, Z.; Jeffers, S.A.; Holmes, K.V.; Hodges, R.S.; Burkhard, P. Peptide Nanoparticles as Novel Immunogens: Design and Analysis of a Prototypic Severe Acute Respiratory Syndrome Vaccine. Chem. Biol. Drug Des. 2008, 73, 53–61. [Google Scholar] [CrossRef]
- Dorosti, H.; Eslami, M.; Nezafat, N.; Fadaei, F.; Ghasemi, Y. Designing self-assembled peptide nanovaccine against Streptococcus pneumoniae: An in silico strategy. Mol. Cell. Probes 2019, 48, 101446. [Google Scholar] [CrossRef] [PubMed]
- Rudra, J.S.; Tian, Y.F.; Jung, J.P.; Collier, J.H. A self-assembling peptide acting as an immune adjuvant. Proc. Natl. Acad. Sci. USA 2009, 107, 622–627. [Google Scholar] [CrossRef]
- Chesson, C.B.; Huante, M.; Nusbaum, R.J.; Walker, A.G.; Clover, T.M.; Chinnaswamy, J.; Endsley, J.J.; Rudra, J.S. Nanoscale Peptide Self-assemblies Boost BCG-primed Cellular Immunity Against Mycobacterium tuberculosis. Sci. Rep. 2018, 8, 12519. [Google Scholar] [CrossRef]
- Files, M.A.; Naqvi, K.F.; Saito, T.B.; Clover, T.M.; Rudra, J.S.; Endsley, J.J. Self-adjuvanting nanovaccines boost lung-resident CD4+ T cell immune responses in BCG-primed mice. NPJ Vaccines 2022, 7, 48. [Google Scholar] [CrossRef]
- Curvino, E.J.; Woodruff, M.E.; Roe, E.F.; Haddad, H.F.; Alvarado, P.C.; Collier, J.H. Supramolecular Peptide Self-Assemblies Facilitate Oral Immunization. ACS Biomater. Sci. Eng. 2024, 10, 3041–3056. [Google Scholar] [CrossRef] [PubMed]
- Yang, P.; Song, H.; Qin, Y.; Huang, P.; Zhang, C.; Kong, D.; Wang, W. Engineering Dendritic-Cell-Based Vaccines and PD-1 Blockade in Self-Assembled Peptide Nanofibrous Hydrogel to Amplify Antitumor T-Cell Immunity. Nano Lett. 2018, 18, 4377–4385. [Google Scholar] [CrossRef] [PubMed]
- Ding, Y.; Liu, J.; Lu, S.; Igweze, J.; Xu, W.; Kuang, D.; Zealey, C.; Liu, D.; Gregor, A.; Bozorgzad, A.; et al. Self-assembling peptide for co-delivery of HIV-1 CD8+ T cells epitope and Toll-like receptor 7/8 agonists R848 to induce maturation of monocyte derived dendritic cell and augment polyfunctional cytotoxic T lymphocyte (CTL) response. J. Control Release 2016, 236, 22–30. [Google Scholar] [CrossRef]
- Pogostin, B.H.; Yu, M.H.; Azares, A.R.; Euliano, E.M.; Lai, C.S.E.; Saenz, G.; Wu, S.X.; Farsheed, A.C.; Melhorn, S.M.; Graf, T.P.; et al. Multidomain peptide hydrogel adjuvants elicit strong bias towards humoral immunity. Biomater. Sci. 2022, 10, 6217–6229. [Google Scholar] [CrossRef]
- Dodd, O.J.; Roy, A.; Siddiqui, Z.; Jafari, R.; Coppola, F.; Ramasamy, S.; Kolloli, A.; Kumar, D.; Kaundal, S.; Zhao, B.; et al. Antiviral fibrils of self-assembled peptides with tunable compositions. Nat. Commun. 2024, 15, 1142. [Google Scholar] [CrossRef] [PubMed]
- Skwarczynski, M.; Zhao, G.; Boer, J.C.; Ozberk, V.; Azuar, A.; Cruz, J.G.; Giddam, A.K.; Khalil, Z.G.; Pandey, M.; Shibu, M.A.; et al. Poly(amino acids) as a potent self-adjuvanting delivery system for peptide-based nanovaccines. Sci. Adv. 2020, 6, eaax2285. [Google Scholar] [CrossRef]
- Wang, T.; Wang, D.; Yu, H.; Feng, B.; Zhou, F.; Zhang, H.; Zhou, L.; Jiao, S.; Li, Y. A cancer vaccine-mediated postoperative immunotherapy for recurrent and metastatic tumors. Nat. Commun. 2018, 9, 1532. [Google Scholar] [CrossRef]
- Chen, C.; Zhang, Y.; Hou, Z.; Cui, X.; Zhao, Y.; Xu, H. Rational Design of Short Peptide-Based Hydrogels with MMP-2 Responsiveness for Controlled Anticancer Peptide Delivery. Biomacromolecules 2017, 18, 3563–3571. [Google Scholar] [CrossRef]
- Black, M.; Trent, A.; Kostenko, Y.; Lee, J.S.; Olive, C.; Tirrell, M. Self-assembled peptide amphiphile micelles containing a cytotoxic T-cell epitope promote a protective immune response in vivo. Adv. Mater. 2012, 24, 3845–3849. [Google Scholar] [CrossRef]
- Moyle, P.M.; Olive, C.; Ho, M.-F.; Good, M.F.; Toth, I. Synthesis of a Highly Pure Lipid Core Peptide Based Self-Adjuvanting Triepitopic Group A Streptococcal Vaccine, and Subsequent Immunological Evaluation. J. Med. Chem. 2006, 49, 6364–6370. [Google Scholar] [CrossRef] [PubMed]
- Olive, C.; Batzloff, M.; Horváth, A.; Clair, T.; Yarwood, P.; Toth, I.; Good, M.F. Group A streptococcal vaccine delivery by immunization with a self-adjuvanting M protein-based lipid core peptide construct. Indian J. Med. Res. 2004, 119, 88–94. [Google Scholar] [PubMed]
- Trent, A.; Ulery, B.D.; Black, M.J.; Barrett, J.C.; Liang, S.; Kostenko, Y.; David, N.A.; Tirrell, M.V. Peptide Amphiphile Micelles Self-Adjuvant Group A Streptococcal Vaccination. AAPS J. 2014, 17, 380–388. [Google Scholar] [CrossRef] [PubMed]
- Xu, Y.; Wang, Y.; Yang, Q.; Liu, Z.; Xiao, Z.; Le, Z.; Yang, Z.; Yang, C. A versatile supramolecular nanoadjuvant that activates NF-kappaB for cancer immunotherapy. Theranostics 2019, 9, 3388–3397. [Google Scholar] [CrossRef]
- Luo, Z.; Wu, Q.; Yang, C.; Wang, H.; He, T.; Wang, Y.; Wang, Z.; Chen, H.; Li, X.; Gong, C.; et al. A Powerful CD8(+) T-Cell Stimulating D-Tetra-Peptide Hydrogel as a Very Promising Vaccine Adjuvant. Adv. Mater. 2017, 29. [Google Scholar] [CrossRef]
- Tian, Y.; Wang, H.; Liu, Y.; Mao, L.; Chen, W.; Zhu, Z.; Liu, W.; Zheng, W.; Zhao, Y.; Kong, D.; et al. A Peptide-Based Nanofibrous Hydrogel as a Promising DNA Nanovector for Optimizing the Efficacy of HIV Vaccine. Nano Lett. 2014, 14, 1439–1445. [Google Scholar] [CrossRef]
- Rad-Malekshahi, M.; Fransen, M.F.; Krawczyk, M.; Mansourian, M.; Bourajjaj, M.; Chen, J.; Ossendorp, F.; Hennink, W.E.; Mastrobattista, E.; Amidi, M. Self-Assembling Peptide Epitopes as Novel Platform for Anticancer Vaccination. Mol. Pharm. 2017, 14, 1482–1493. [Google Scholar] [CrossRef]
- Madge, H.Y.R.; Sharma, H.; Hussein, W.M.; Khalil, Z.G.; Capon, R.J.; Toth, I.; Stephenson, R.J. Structure–Activity Analysis of Cyclic Multicomponent Lipopeptide Self-Adjuvanting Vaccine Candidates Presenting Group A Streptococcus Antigens. J. Med. Chem. 2020, 63, 5387–5397. [Google Scholar] [CrossRef]
- Montero, A.; Gastaminza, P.; Law, M.; Cheng, G.; Chisari, F.V.; Ghadiri, M.R. Self-Assembling Peptide Nanotubes with Antiviral Activity against Hepatitis C Virus. Chem. Biol. 2011, 18, 1453–1462. [Google Scholar] [CrossRef]
- Wang, H.-Y.; Chang, W.-C.; Wu, M.-C.; Liaw, J.; Shiau, A.-L.; Chu, C.-Y. Oral DNA vaccine adjuvanted with cyclic peptide nanotubes induced a virus-specific antibody response in ducklings against goose parvovirus. Veter-Q. 2023, 43, 1–9. [Google Scholar] [CrossRef]
- Liu, T.-Y.; Hussein, W.M.; Giddam, A.K.; Jia, Z.; Reiman, J.M.; Zaman, M.; McMillan, N.A.J.; Good, M.F.; Monteiro, M.J.; Toth, I.; et al. Polyacrylate-Based Delivery System for Self-adjuvanting Anticancer Peptide Vaccine. J. Med. Chem. 2014, 58, 888–896. [Google Scholar] [CrossRef] [PubMed]
- Chen, Y.; Yuan, F.; Jiang, X.; Lv, Q.; Luo, N.; Gong, C.; Wang, C.; Yang, L.; He, G. Discovery of a self-assembling and self-adjuvant lipopeptide as a saccharide-free peptide vaccine targeting EGFRvIII positive cutaneous melanoma. Biomater. Sci. 2018, 6, 1120–1128. [Google Scholar] [CrossRef] [PubMed]
- Shan, W.; Zheng, H.; Fu, G.; Liu, C.; Li, Z.; Ye, Y.; Zhao, J.; Xu, D.; Sun, L.; Wang, X.; et al. Bioengineered Nanocage from HBc Protein for Combination Cancer Immunotherapy. Nano Lett. 2019, 19, 1719–1727. [Google Scholar] [CrossRef] [PubMed]
- Mao, C.-P.; Peng, S.; Yang, A.; He, L.; Tsai, Y.-C.; Hung, C.-F.; Wu, T.-C. Programmed self-assembly of peptide–major histocompatibility complex for antigen-specific immune modulation. Proc. Natl. Acad. Sci. USA 2018, 115, E4032–E4040. [Google Scholar] [CrossRef]
- Gao, Y.; Wang, L.; Zhang, X.; Zhou, Z.; Shen, X.; Hu, H.; Sun, R.; Tang, J. Advances in Self-Assembled Peptides as Drug Carriers. Pharmaceutics 2023, 15, 482. [Google Scholar] [CrossRef]
- Azuar, A.; Li, Z.; Shibu, M.A.; Zhao, L.; Luo, Y.; Shalash, A.O.; Khalil, Z.G.; Capon, R.J.; Hussein, W.M.; Toth, I.; et al. Poly(hydrophobic amino acid)-Based Self-Adjuvanting Nanoparticles for Group A Streptococcus Vaccine Delivery. J. Med. Chem. 2021, 64, 2648–2658. [Google Scholar] [CrossRef] [PubMed]
- Olive, C.; Batzloff, M.; HorvátH, A.; Clair, T.; Yarwood, P.; Toth, I.; Good, M.F. Potential of Lipid Core Peptide Technology as a Novel Self-Adjuvanting Vaccine Delivery System for Multiple Different Synthetic Peptide Immunogens. Infect. Immun. 2003, 71, 2373–2383. [Google Scholar] [CrossRef]
- Madge, H.Y.R.; Huang, W.; Gilmartin, L.; Rigau-Planella, B.; Hussein, W.M.; Khalil, Z.G.; Koirala, P.; Santiago, V.S.; Capon, R.J.; Toth, I.; et al. Physical mixture of a cyclic lipopeptide vaccine induced high titres of opsonic IgG antibodies against group A streptococcus. Biomater. Sci. 2021, 10, 281–293. [Google Scholar] [CrossRef]
- Wang, X.-J.; Cheng, J.; Zhang, L.-Y.; Zhang, J.-G. Self-assembling peptides-based nano-cargos for targeted chemotherapy and immunotherapy of tumors: Recent developments, challenges, and future perspectives. Drug Deliv. 2022, 29, 1184–1200. [Google Scholar] [CrossRef]
- Khalily, M.A.; Goktas, M.; Guler, M.O. Tuning viscoelastic properties of supramolecular peptide gels via dynamic covalent crosslinking. Org. Biomol. Chem. 2014, 13, 1983–1987. [Google Scholar] [CrossRef]
- König, N.; Szostak, S.M.; Nielsen, J.E.; Dunbar, M.; Yang, S.; Chen, W.; Benjamin, A.; Radulescu, A.; Mahmoudi, N.; Willner, L.; et al. Stability of Nanopeptides: Structure and Molecular Exchange of Self-assembled Peptide Fibers. ACS Nano 2023, 17, 12394–12408. [Google Scholar] [CrossRef] [PubMed]
- Reyes, C.; Patarroyo, M.A. Self-assembling peptides: Perspectives regarding biotechnological applications and vaccine development. Int. J. Biol. Macromol. 2024, 259, 128944. [Google Scholar] [CrossRef] [PubMed]
- Ren, X.; Wei, J.; Luo, X.; Liu, Y.; Li, K.; Zhang, Q.; Gao, X.; Yan, S.; Wu, X.; Jiang, X.; et al. HydrogelFinder: A Foundation Model for Efficient Self-Assembling Peptide Discovery Guided by Non-Peptidal Small Molecules. Adv. Sci. 2024, 11, e2400829. [Google Scholar] [CrossRef] [PubMed]
- Urata, S.; Kuo, A.T.; Murofushi, H. Self-assembly of the cationic surfactant n-hexadecyl-trimethylammonium chloride in methyltrimethoxysilane aqueous solution: Classical and reactive molecular dynamics simulations. Phys. Chem. Chem. Phys. 2021, 23, 14486–14495. [Google Scholar] [CrossRef] [PubMed]
- Santos, L.H.S.; Ferreira, R.S.; Caffarena, E.R. Integrating Molecular Docking and Molecular Dynamics Simulations. Methods Mol. Biol. 2019, 2053, 13–34. [Google Scholar]
- Frederix, P.W.J.M.; Scott, G.G.; Abul-Haija, Y.M.; Kalafatovic, D.; Pappas, C.G.; Javid, N.; Hunt, N.T.; Ulijn, R.V.; Tuttle, T. Exploring the sequence space for (tri-)peptide self-assembly to design and discover new hydrogels. Nat. Chem. 2014, 7, 30–37. [Google Scholar] [CrossRef]
- Batra, R.; Loeffler, T.D.; Chan, H.; Srinivasan, S.; Cui, H.; Korendovych, I.V.; Nanda, V.; Palmer, L.C.; Solomon, L.A.; Fry, H.C.; et al. Machine learning overcomes human bias in the discovery of self-assembling peptides. Nat. Chem. 2022, 14, 1427–1435. [Google Scholar] [CrossRef]
- Bravi, B. Development and use of machine learning algorithms in vaccine target selection. NPJ Vaccines 2024, 9, 15. [Google Scholar] [CrossRef]
- Qiu, F.; Chen, Y.; Tang, C.; Zhao, X. Amphiphilic peptides as novel nanomaterials: Design, self-assembly and application. Int. J. Nanomed. 2018, ume 13, 5003–5022. [Google Scholar] [CrossRef]
- Huang, J.; Xu, Y.; Xue, Y.; Huang, Y.; Li, X.; Chen, X.; Xu, Y.; Zhang, D.; Zhang, P.; Zhao, J.; et al. Identification of potent antimicrobial peptides via a machine-learning pipeline that mines the entire space of peptide sequences. Nat. Biomed. Eng. 2023, 7, 797–810. [Google Scholar] [CrossRef]
- Randall, J.R.; Vieira, L.C.; Wilke, C.O.; Davies, B.W. Deep mutational scanning and machine learning for the analysis of antimicrobial-peptide features driving membrane selectivity. Nat. Biomed. Eng. 2024, 8, 842–853. [Google Scholar] [CrossRef] [PubMed]










Disclaimer/Publisher’s Note: The statements, opinions and data contained in all publications are solely those of the individual author(s) and contributor(s) and not of MDPI and/or the editor(s). MDPI and/or the editor(s) disclaim responsibility for any injury to people or property resulting from any ideas, methods, instructions or products referred to in the content. |
© 2024 by the authors. Licensee MDPI, Basel, Switzerland. This article is an open access article distributed under the terms and conditions of the Creative Commons Attribution (CC BY) license (https://creativecommons.org/licenses/by/4.0/).
Share and Cite
Fan, J.; Toth, I.; Stephenson, R.J. Self-Assembling Peptides for Vaccine Adjuvant Discovery. Immuno 2024, 4, 325-343. https://doi.org/10.3390/immuno4040021
Fan J, Toth I, Stephenson RJ. Self-Assembling Peptides for Vaccine Adjuvant Discovery. Immuno. 2024; 4(4):325-343. https://doi.org/10.3390/immuno4040021
Chicago/Turabian StyleFan, Jingyi, Istvan Toth, and Rachel J. Stephenson. 2024. "Self-Assembling Peptides for Vaccine Adjuvant Discovery" Immuno 4, no. 4: 325-343. https://doi.org/10.3390/immuno4040021
APA StyleFan, J., Toth, I., & Stephenson, R. J. (2024). Self-Assembling Peptides for Vaccine Adjuvant Discovery. Immuno, 4(4), 325-343. https://doi.org/10.3390/immuno4040021

