Predictors of Treatment Response in Patients with Treatment-Resistant Depression: Outcomes of a Randomized Trial
Abstract
:1. Introduction
2. Material and Methods
2.1. Overview of Study Design
2.2. Sample and Randomization
2.3. Data Collection
2.4. Statistical Analysis
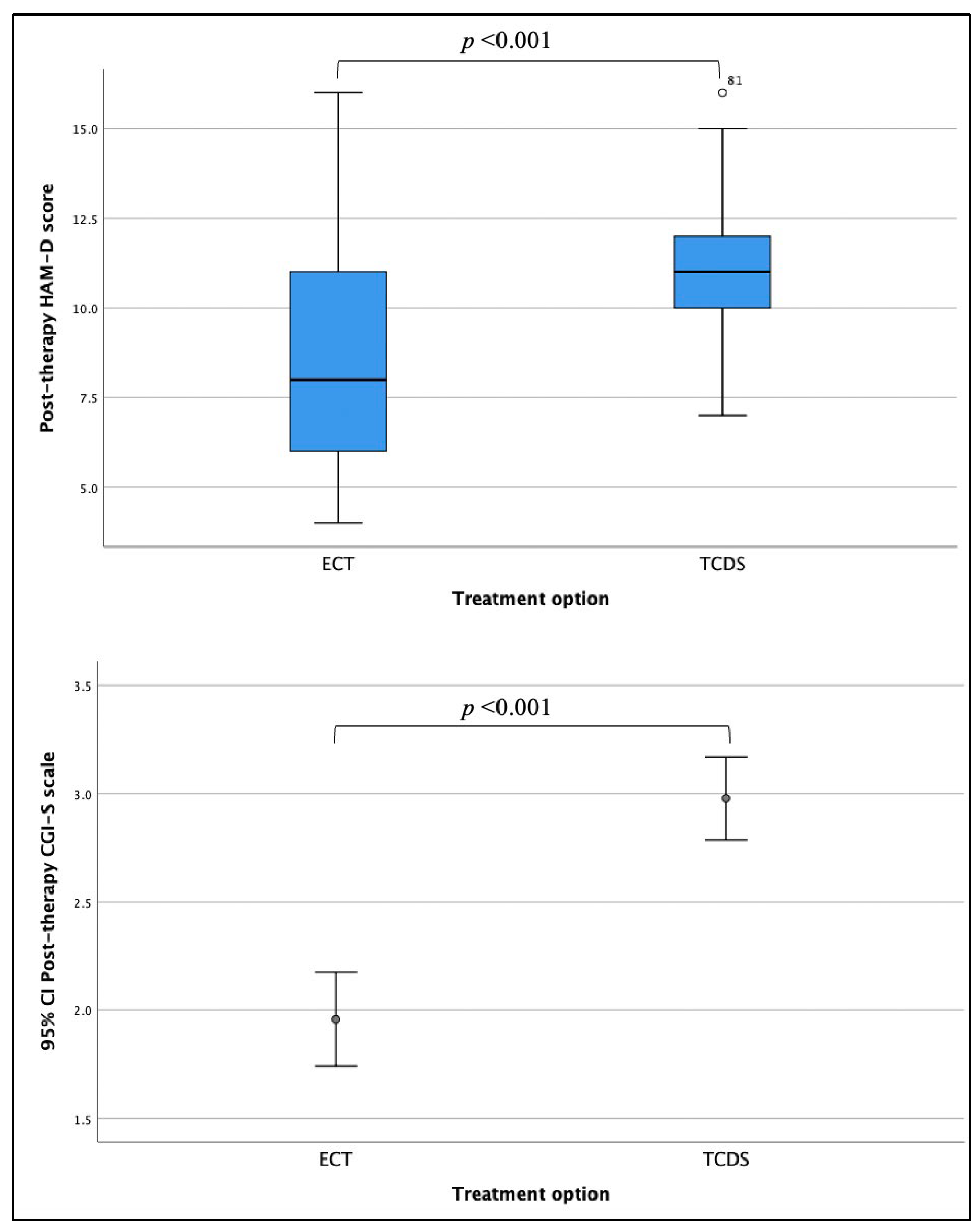
3. Results
4. Discussion
4.1. Limitations of the Study
4.2. Recommendations
5. Conclusions
Author Contributions
Funding
Institutional Review Board Statement
Informed Consent Statement
Data Availability Statement
Acknowledgments
Conflicts of Interest
References
- World Health Organization. Depressive Disorder (Depression). Fact Sheets. 2023. Available online: https://www.who.int/news-room/fact-sheets/detail/depression (accessed on 20 April 2023).
- Ministry of Health Malaysia. National Health and Morbidity Survey 2019: Key Findings—Non-Communicable Diseases, Healthcare Demand, and Health Literacy; Ministry of Health Malaysia: Setia Alam, Malaysia, 2020.
- Sousa, R.D.; Gouveia, M.; da Silva Nunes, C.; Rodrigues, A.M.; Cardoso, G.; Antunes, A.F.; Canhao, H.; de Almeida, J.M.C. Treatment-resistant depression and major depression with suicide risk—The cost of illness and burden of disease. Front. Public Health 2022, 10, 898491. [Google Scholar] [CrossRef] [PubMed]
- Ministry of Health Malaysia. Clinical Practice Guideline: Management of Major Depressive Disorder, 2nd ed.; Ministry of Health Malaysia: Putrajaya, Malaysia, 2019.
- Voineskos, D.; Daskalakis, Z.J.; Blumberger, D.M. Management of treatment-resistant depression: Challenges and strategies. Neuropsychiatr. Dis. Treat. 2020, 16, 221–234. [Google Scholar] [CrossRef] [PubMed]
- Fenton, C.; McLoughlin, D.M. Usefulness of Hamilton rating scale for depression subset scales and full versions for electroconvulsive therapy. PLoS ONE 2021, 16, e0259861. [Google Scholar] [CrossRef] [PubMed]
- de Beurs, E.; Carlier, I.V.E.; van Hemert, A.M. Approaches to denote treatment outcome: Clinical significance and clinical global impression compared. Int. J. Methods Psychiatr. Res. 2019, 28, e1797. [Google Scholar] [CrossRef] [PubMed]
- Bolu, A.; Gündoğmuş, İ.; Aydın, M.S.; Fadıloğlu, D.; Erken, Y.; Uzun, Ö. Ten Years’ Data of Transcranial Magnetic Stimulation (TMS): A Naturalistic, Observational Study Outcome in Clinical Practice. Psychiatry Res. 2021, 301, 113986. [Google Scholar] [CrossRef] [PubMed]
- Ramasubramanian, V.; Mathumathi, S.; Rajendhiran, G.; Bijulakshmi, P.; Kannan, M. A comparative study of the effect of electroconvulsive therapy and transcranial direct current stimulation in the treatment of persons suffering from treatment-resistant depression. Ind. Psychiatry J. 2022, 31, 68. [Google Scholar] [CrossRef] [PubMed]
- Saha, K.; Torous, J.; Kiciman, E.; De Choudhury, M. Understanding side effects of antidepressants: Large-scale longitudinal study on social media data. JMIR Ment. Health 2021, 8, e26589. [Google Scholar] [CrossRef] [PubMed]
- Salahudeen, M.S.; Wright, C.M.; Peterson, G.M. Esketamine: New hope for the treatment of treatment-resistant depression? A narrative review. Ther. Adv. Drug Saf. 2020, 11, 2042098620937899. [Google Scholar] [CrossRef]
- Carter, B.; Strawbridge, R.; Husain, M.I.; Jones, B.D.M.; Short, R.; Cleare, A.J.; Tsapekos, D.; Patrick, F.; Marwood, L.; Taylor, R.W.; et al. Relative effectiveness of augmentation treatments for treatment-resistant depression: A systematic review and network meta-analysis. Int. Rev. Psychiatry 2020, 32, 477–490. [Google Scholar] [CrossRef]
- Chen, X.; Fu, Y.; Zou, Q.; Zhang, Y.; Qin, X.; Tian, Y.; Yan, Y.; Chen, Q.; Zou, L.; Zhao, B.; et al. A retrospective case series of electroconvulsive therapy in the management of depression and suicidal symptoms in adolescents. Brain Behav. 2022, 12, e2795. [Google Scholar] [CrossRef]
- Wang, J.; Ji, Y.; Li, X.; He, Z.; Wei, Q.; Bai, T.; Tian, Y.; Wang, K. Improved and residual functional abnormalities in major depressive disorder after electroconvulsive therapy. Prog. Neuro-Psychopharmacol. Biol. Psychiatry 2020, 100, 109888. [Google Scholar] [CrossRef] [PubMed]
- Bassa, A.; Sagués, T.; Porta-Casteràs, D.; Serra, P.; Martínez-Amorós, E.; Palao, D.J.; Cano, M.; Cardoner, N. The neurobiological basis of cognitive side effects of electroconvulsive therapy: A systematic review. Brain Sci. 2021, 11, 1273. [Google Scholar] [CrossRef]
- Argyelan, M.; Lencz, T.; Kang, S.; Ali, S.; Masi, P.J.; Moyett, E.; Joanlanne, A.; Watson, P.; Sanghani, S.; Petrides, G.; et al. ECT-induced cognitive side effects are associated with hippocampal enlargement. Transl. Psychiatry 2021, 11, 516. [Google Scholar] [CrossRef] [PubMed]
- Jog, M.A.; Anderson, C.; Kubicki, A.; Boucher, M.; Leaver, A.; Hellemann, G.; Iacoboni, M.; Woods, R.; Narr, K. Transcranial direct current stimulation (tDCS) in depression induces structural plasticity. Sci. Rep. 2023, 13, 2841. [Google Scholar] [CrossRef] [PubMed]
- Razza, L.B.; Palumbo, P.; Moffa, A.H.; Carvalho, A.F.; Solmi, M.; Loo, C.K.; Brunoni, A.R. A systematic review and meta-analysis on the effects of transcranial direct current stimulation in depressive episodes. Depress. Anxiety 2020, 37, 594–608. [Google Scholar] [CrossRef] [PubMed]
- Ramasubramanian, V.; Mathumathi, S.; Rajendhiran, G.; Bijulakshmi, P.; Kannan, M. A comparative study of the effect of electroconvulsive therapy and transcranial direct current stimulation in the treatment of persons suffering from treatment-resistant depression [Dataset]. Zenodo 2020. [Google Scholar] [CrossRef]
- Li, M.; Yao, X.; Sun, L.; Zhao, L.; Xu, W.; Zhao, H.; Zhao, F.; Zou, X.; Cheng, Z.; Li, B.; et al. Effects of Electroconvulsive Therapy on Depression and Its Potential Mechanism. Front. Psychol. 2020, 11, 80. [Google Scholar] [CrossRef]
- Finegan, M.; Firth, N.; Delgadillo, J. Adverse impact of neighbourhood socioeconomic deprivation on psychological treatment outcomes: The role of area-level income and crime. Psychother. Res. 2020, 30, 546–554. [Google Scholar] [CrossRef]
- Huijsmans, I.; Ma, I.; Micheli, L.; Civai, C.; Stallen, M.; Sanfey, A.G. A scarcity mindset alters neural processing underlying consumer decision making. Proc. Natl. Acad. Sci. USA 2019, 116, 11699–11704. [Google Scholar] [CrossRef]
- Martínez, R.; Senra, C.; Fernández-Rey, J.; Merino, H. Sociotropy, autonomy and emotional symptoms in patients with major depression or generalized anxiety: The mediating role of rumination and immature defenses. Int. J. Environ. Res. Public Health 2020, 17, 5716. [Google Scholar] [CrossRef]
- Iasiello, M.; van Agteren, J.; Keyes, C.L.M.; Cochrane, E.M. Positive mental health as a predictor of recovery from mental illness. J. Affect. Disord. 2019, 251, 227–230. [Google Scholar] [CrossRef]
- Razza, L.B.; De Smet, S.; Moffa, A.; Sudbrack-Oliveira, P.; Vanderhasselt, M.A.; Brunoni, A.R. Follow-up effects of transcranial direct current stimulation (tDCS) for the major depressive episode: A systematic review and meta-analysis. Psychiatry Res. 2021, 302, 114024. [Google Scholar] [CrossRef]

| Variable(s) | Overall n (%) | ECT (n = 46) n (%) | tDCS (n = 44) n (%) | p-Value a |
|---|---|---|---|---|
| Age (in years old) | 40.8 ± 11.75 | 38.2 ± 11.25 | 43.6 ± 11.73 | 0.026 *b |
| Gender | 0.127 | |||
| Male | 38 (42.2) | 23 (60.5) | 15 (39.5) | |
| Female | 52 (57.8) | 23 (44.2) | 29 (55.8) | |
| Education level | 0.745 | |||
| Basic | 28 (31.1) | 14 (50.0) | 14 (50.0) | |
| Intermediate | 32 (35.6) | 18 (56.3) | 14 (43.8) | |
| Advanced | 30 (33.3) | 14 (46.7) | 16 (53.3) | |
| Employment | 0.020 * | |||
| Unemployed | 10 (11.1) | 5 (50.0) | 5 (50.0) | |
| Employed | 49 (54.5) | 31 (63.3) | 18 (36.7) | |
| Self-employed | 13 (14.4) | 2 (15.4) | 11 (84.6) | |
| Housewife | 18 (20.0) | 8 (44.4) | 10 (55.6) | |
| Socioeconomic status | 0.924 | |||
| Low | 32 (35.6) | 17 (53.1) | 15 (46.9) | |
| Middle | 39 (43.3) | 20 (51.3) | 19 (48.7) | |
| High | 19 (21.1) | 9 (47.4) | 10 (52.6) | |
| Religion | 0.929 | |||
| Hindu | 56 (62.2) | 29 (51.8) | 27 (48.2) | |
| Muslim | 15 (16.7) | 7 (46.7) | 8 (53.3) | |
| Christian | 19 (21.1) | 10 (52.6) | 9 (47.4) | |
| Marital status | 0.920 c | |||
| Single | 8 (8.9) | 4 (50.0) | 4 (50.0) | |
| Married | 71 (78.9) | 35 (49.3) | 36 (50.7) | |
| Divorced/Widowed | 5 (5.5) | 2 (40.0) | 3 (60.0) | |
| Baseline HAM-D | 19.1 ± 2.04 | 19.0 ± 1.95 | 19.2 ± 2.14 | 0.565 b |
| Baseline CGI-S | 5.3 ± 0.85 | 5.1 ± 0.89 | 5.5 ± 0.79 | 0.071 b |
| Variable(s) | Good Treatment Response n (%) | Poor Treatment Response n (%) | OR (95% CI) | p-Value a | Adj. OR (95% CI) | p-Value b |
|---|---|---|---|---|---|---|
| Age † | 39.2 ± 11.53 | 42.5 ± 11.85 | 0.98 (0.94, 1.01) | 0.176 | - | - |
| Gender | 0.202 | - | - | |||
| Male | 22 (57.9) | 16 (42.1) | 1.73 (0.75, 4.04) | |||
| Female | 23 (44.2) | 29 (55.8) | 1.00 (Ref.) | |||
| Socioeconomic status | 0.176 | 0.025 * | ||||
| Low | 20 (62.5) | 12 (37.5) | 2.86 (0.88, 9.25) | 20.01 (1.89, 211.47) | ||
| Middle | 18 (46.2) | 21 (53.8) | 1.47 (0.48, 4.53) | 2.79 (0.43, 18.13) | ||
| High | 7 (36.8) | 12 (63.2) | 1.00 (Ref.) | 1.00 (Ref.) | ||
| Education level | 0.679 | - | - | |||
| Basic | 15 (53.6) | 13 (46.4) | 1.01 (0.36, 2.84) | |||
| Intermediate | 14 (43.8) | 18 (56.3) | 0.68 (0.25, 1.85) | |||
| Advanced | 16 (53.3) | 14 (46.7) | 1.00 (Ref.) | |||
| Marital status | 0.738 | - | - | |||
| Single | 8 (57.1) | 6 (42.9) | 0.60 (0.10, 3.89) | |||
| Married | 34 (47.9) | 37 (52.1) | 0.89 (0.11, 7.11) | |||
| Divorced/Widowed | 3 (60.0) | 2 (40.0) | 1.00 (Ref.) | |||
| Employment | 0.834 | - | - | |||
| Unemployed | 5 (50.0) | 5 (50.0) | 1.00 (0.21, 4.69) | |||
| Employed | 26 (53.1) | 23 (46.9) | 1.13 (0.38, 3.33) | |||
| Self-employed | 5 (38.5) | 8 (61.5) | 0.63 (0.15, 2.66) | |||
| Housewife | 9 (50.0) | 9 (50.0) | 1.00 (Ref.) | |||
| Religion | 0.909 | - | - | |||
| Hindu | 27 (48.2) | 29 (51.8) | 0.84 (0.30, 2.38) | |||
| Muslim | 8 (53.3) | 7 (46.7) | 1.03 (0.27, 3.99) | |||
| Christian | 10 (52.6) | 9 (47.4) | 1.00 (Ref.) | |||
| Treatment option | <0.001 * | <0.001 * | ||||
| ECT | 36 (78.3) | 10 (21.7) | 14.00 (5.08, 38.58) | 31.69 (6.32, 159.01) | ||
| tDCS | 9 (20.5) | 35 (79.5) | 1.00 (Ref.) | 1.00 (Ref.) | ||
| Baseline HAM-D ‡ | 18.0 (2.00) | 20.0 (3.00) | 0.72 (0.58, 0.92) | 0.009 * | 0.93 (0.60, 1.44) | 0.734 |
| Baseline CGI-S ‡ | 5.0 (2.00) | 6.0 (0.00) | 0.30 (0.17, 0.55) | <0.001 * | 0.18 (0.06, 0.57) | 0.004 * |
Disclaimer/Publisher’s Note: The statements, opinions and data contained in all publications are solely those of the individual author(s) and contributor(s) and not of MDPI and/or the editor(s). MDPI and/or the editor(s) disclaim responsibility for any injury to people or property resulting from any ideas, methods, instructions or products referred to in the content. |
© 2023 by the authors. Licensee MDPI, Basel, Switzerland. This article is an open access article distributed under the terms and conditions of the Creative Commons Attribution (CC BY) license (https://creativecommons.org/licenses/by/4.0/).
Share and Cite
Khalid, K.; Ang, W.C.; Mohd. Nazli, A.I.; Jamaluddin, R.; Rizvi, S.A.A. Predictors of Treatment Response in Patients with Treatment-Resistant Depression: Outcomes of a Randomized Trial. Psychiatry Int. 2023, 4, 246-254. https://doi.org/10.3390/psychiatryint4030025
Khalid K, Ang WC, Mohd. Nazli AI, Jamaluddin R, Rizvi SAA. Predictors of Treatment Response in Patients with Treatment-Resistant Depression: Outcomes of a Randomized Trial. Psychiatry International. 2023; 4(3):246-254. https://doi.org/10.3390/psychiatryint4030025
Chicago/Turabian StyleKhalid, Karniza, Wei Chern Ang, Aimi Izwani Mohd. Nazli, Ruzita Jamaluddin, and Syed A. A. Rizvi. 2023. "Predictors of Treatment Response in Patients with Treatment-Resistant Depression: Outcomes of a Randomized Trial" Psychiatry International 4, no. 3: 246-254. https://doi.org/10.3390/psychiatryint4030025
APA StyleKhalid, K., Ang, W. C., Mohd. Nazli, A. I., Jamaluddin, R., & Rizvi, S. A. A. (2023). Predictors of Treatment Response in Patients with Treatment-Resistant Depression: Outcomes of a Randomized Trial. Psychiatry International, 4(3), 246-254. https://doi.org/10.3390/psychiatryint4030025

