Global Media Sentiments on the Rohingya Crisis: A Comparative Analysis of News Articles from Ten Countries
Abstract
1. Introduction
2. Sentiments Toward Refugees
2.1. Sentiments Toward the Rohingyas
2.2. Comparative News Sentiments: Toward a Conceptual Framework
3. Research Questions
4. Materials and Methods
4.1. Data Source
4.2. Data Collection and Processing
4.3. Data Analysis
5. Findings
5.1. Evolving News Sentiments
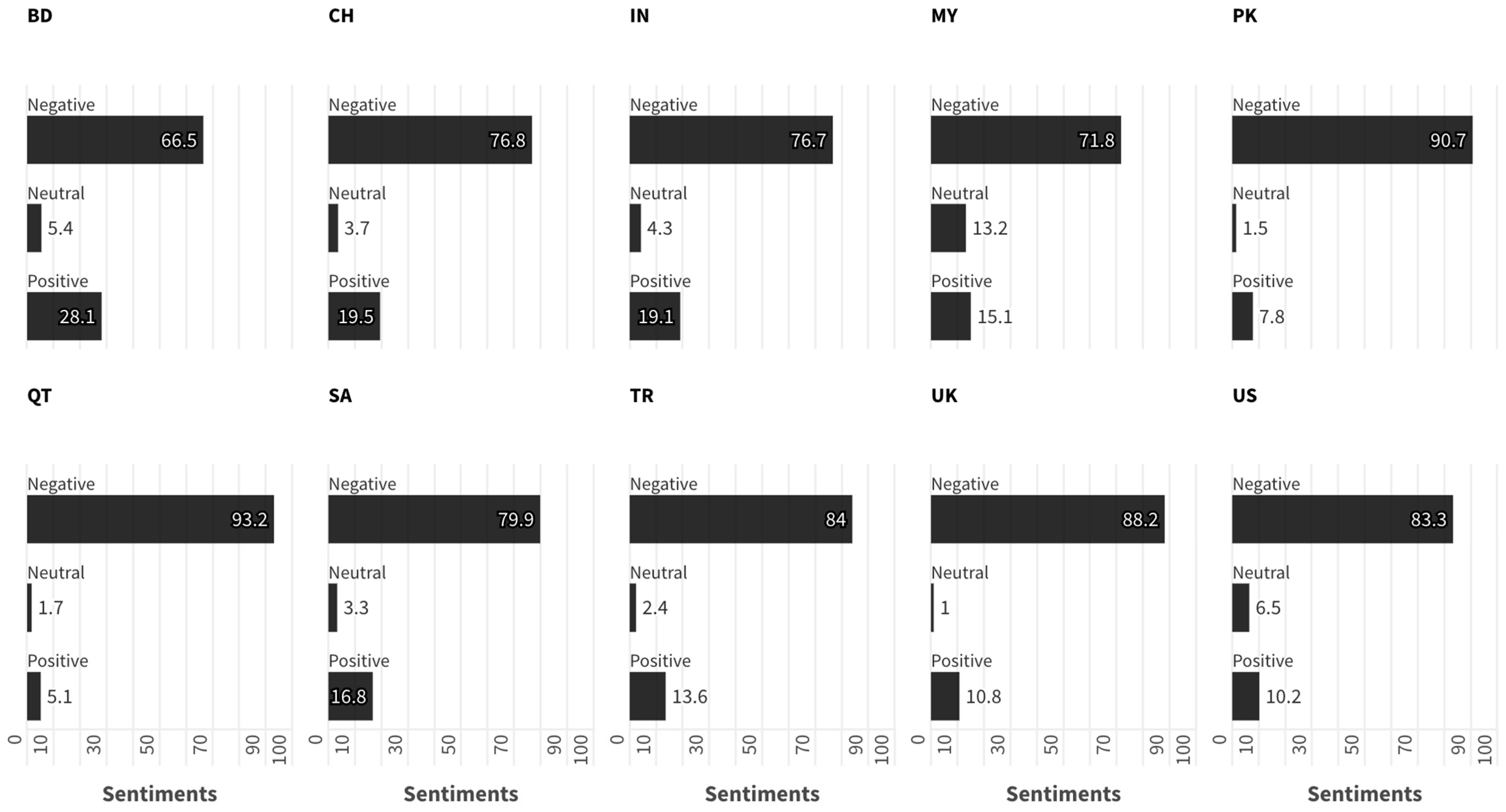
5.2. Variations in News Sentiments
6. Discussion and Conclusions
Limitations and Contributions
Author Contributions
Funding
Data Availability Statement
Conflicts of Interest
References
- Abbas, Ali Haif. 2024. A Critical Cognitive-Discourse Analysis of the Rohingya Crisis in the Press. International Journal for the Semiotics of Law, 1–16. [Google Scholar] [CrossRef]
- AlAgha, Iyad. 2021. Topic Modeling and Sentiment Analysis of Twitter Discussions on COVID-19 from Spatial and Temporal Perspectives. Journal of Information Science Theory and Practice 9: 35–53. [Google Scholar] [CrossRef]
- Alam, Sorwar. 2019. Top Rohingya-Hosting Countries. Anadolu Agency. Available online: https://aa.com.tr/en/asia-pacific/infographic-top-rohingya-hosting-countries/1563674 (accessed on 13 March 2024).
- Backfried, Gerhard, and Gayane Shalunts. 2016. Sentiment Analysis of Media in German on the Refugee Crisis in Europe. In Information Systems for Crisis Response and Management in Mediterranean Countries: Third International Conference, ISCRAM-med 2016, Madrid, Spain, 26–28 October 2016. Lecture Notes in Business Information Processing. Cham: Springer, vol. 265, pp. 234–41. [Google Scholar] [CrossRef]
- Bordoloi, Monali, and Saroj Kumar Biswas. 2023. Sentiment analysis: A survey on design framework, applications and future scopes. Artificial Intelligence Review 56: 12505–60. [Google Scholar] [CrossRef]
- Burscher, Bjorn, Rens Vliegenthart, and Claes H. de Vreese. 2016. Frames Beyond Words. Social Science Computer Review 34: 530–45. [Google Scholar] [CrossRef]
- Chan, Chung-Hong, Hartmut Wessler, Eike Mark Rinke, Kasper Welbers, Wouter van Atteveldt, and Scott Althaus. 2020. How Combining Terrorism, Muslim, and Refugee Topics Drives Emotional Tone in Online News: A Six-Country Cross-Cultural Sentiment Analysis. International Journal of Communication 14: 3569–94. [Google Scholar]
- Cohen, Jacob. 1988. Statistical Power Analysis for the Behavioral Sciences. New York: Taylor and Francis. [Google Scholar]
- Cui, Jingfeng, Zhaoxia Wang, Seng-Beng Ho, and Erik Cambria. 2023. Survey on sentiment analysis: Evolution of research methods and topics. Artificial Intelligence Review 56: 8469–510. [Google Scholar] [CrossRef] [PubMed]
- Das, Shudipta, Anika Anjum, Sharun Akter Khushbu, and Sheak Rashed Haider Noori. 2022. Public Sentiment Analysis with Opinion Mining on Rohingya Refugee Crisis in Bangladesh. Paper presented at 2022 13th International Conference on Computing Communication and Networking Technologies (ICCCNT), Virtual, October 3–5; pp. 1–5. [Google Scholar] [CrossRef]
- Ehmer, Emily, and Ammina Kothari. 2021. Malaysia and the Rohingya: Media, Migration, and Politics. Journal of Immigrant and Refugee Studies 19: 378–92. [Google Scholar] [CrossRef]
- Ekman, Paul. 1992. An Argument for Basic Emotions. Cognition and Emotion 6: 169–200. [Google Scholar] [CrossRef]
- Hallin, Daniel C. 2016. The Function of Media System Typologies History of Research on Media Systems. In Oxford Research Encyclopedia of Politics Typology of Media Systems. Oxford: Oxford University Press, pp. 1–17. [Google Scholar] [CrossRef]
- Hallin, Daniel C., and Paolo Mancini. 2004. Comparing Media Systems. Cambridge: Cambridge University Press. [Google Scholar]
- Hardy, Jonathan. 2012. Comparing media systems. In The Handbook of Comparative Communication Research. Edited by Frank Esser and Thomas Hanitzsch. London: Routledge, pp. 185–206. [Google Scholar] [CrossRef]
- Hepp, Andreas, and Nick Couldry. 2009. What should comparative media research be comparing?: Towards a transcultural approach to ‘media cultures’. In Internationalizing Media Studies. Edited by Daya Kishan Thussu. London: Routledge, pp. 32–47. [Google Scholar] [CrossRef]
- Hussain, Muhammad Nihal, Kiran Kumar Bandeli, Samer Al-khateeb, and Nitin Agarwal. 2018. Analyzing shift in narratives regarding migrants in Europe via blogosphere. Paper presented at First Workshop on Narrative Extraction from Text, Grenoble, France, March 26. Edited by Alípio M. Jorge, Ricardo Campos, Adam Jatowt, and Sérgio Nunes. CEUR Workshop Proceedings. pp. 1–8. Available online: https://ceur-ws.org/Vol-2077/paper4.pdf (accessed on 25 March 2023).
- Irom, Bimbisar, Porismita Borah, Anastasia Vishnevskaya, and Stephanie Gibbons. 2022. News Framing of the Rohingya Crisis: Content Analysis of Newspaper Coverage from Four Countries. Journal of Immigrant and Refugee Studies 20: 109–24. [Google Scholar] [CrossRef]
- Kanaker, Osama, Mohamed Oklah Abughazlih, and Mohd Faizal Kasmani. 2020. Media framing of minorities’ crisis: A study on Aljazeera and BBC news coverage of the Rohingya. Jurnal Komunikasi: Malaysian Journal of Communication 36: 1–16. [Google Scholar] [CrossRef]
- Kironska, Kristina, and Ni-Ni Peng. 2021. How state-run media shape perceptions: An analysis of the projection of the Rohingya in the Global New Light of Myanmar. South East Asia Research 29: 16–31. [Google Scholar] [CrossRef]
- Kopacheva, Elizaveta, and Victoria Yantseva. 2022. Users’ polarisation in dynamic discussion networks: The case of refugee crisis in Sweden. PLoS ONE 17: e0262992. [Google Scholar] [CrossRef]
- Lee, Raymond M. 2000. Unobtrusive Methods in Social Research. London: Open University Press. [Google Scholar]
- Lee, Ronan. 2019. Extreme Speech in Myanmar: The Role of State Media in the Rohingya Forced Migration Crisis. International Journal of Communication 13: 3203–24. [Google Scholar]
- Mancini, Hallin. 2010. Comparing Media Systems: A Reponse To Critics. In The Handbook of Comparative Communication Research. Edited by Frank Esser and Thomas Hanitzsch. London: Routledge, vol. 17, pp. 207–20. [Google Scholar]
- Ministry of Foreign Affairs. 2022. Organisation of the Islamic Cooperation. Ministry of Foreign Affairs, Republic of Turkey. Available online: https://mfa.gov.tr/OIC.en.mfa (accessed on 19 June 2024).
- Nandwani, Pansy, and Rupali Verma. 2021. A review on sentiment analysis and emotion detection from text. Social Network Analysis and Mining 11: 81. [Google Scholar] [CrossRef]
- Nerone, John. 2018. Four Theories of the Press. In Oxford Research Encyclopedia of Communication. Oxford: Oxford University Press. [Google Scholar] [CrossRef]
- Ostini, Jennifer, and Anthony Y. H. Ostini. 2002. Beyond the Four Theories of the Press: A New Model of National Media Systems. Mass Communication and Society 5: 41–56. [Google Scholar] [CrossRef]
- Öztürk, Nazan, and Serkan Ayvaz. 2018. Sentiment analysis on Twitter: A text mining approach to the Syrian refugee crisis. Telematics and Informatics 35: 136–47. [Google Scholar] [CrossRef]
- Pope, David, and Josephine Griffith. 2016. An Analysis of Online Twitter Sentiment Surrounding the European Refugee Crisis. Paper presented at the 8th International Joint Conference on Knowledge Discovery, Knowledge Engineering and Knowledge Management, Porto, Portugal, November 9–11, vol. 1, pp. 299–306. [Google Scholar] [CrossRef]
- Rhaman, Harisur. 2023. A Closer Look. In The Displaced Rohingyas, 1st ed. Edited by Sk Tawfique M. Haque, Bulbul Siddiqi and Mahmudur Rahman Bhuiyan. Delhi: Routledge, pp. 178–97. [Google Scholar]
- Russell, James A. 1980. A circumplex model of affect. Journal of Personality and Social Psychology 39: 1161–78. [Google Scholar] [CrossRef]
- Sakib, A. B. M. Najmus. 2023. Rohingya Refugee Crisis: Emerging Threats to Bangladesh as a Host Country? Journal of Asian and African Studies, 00219096231192324. [Google Scholar] [CrossRef]
- SCImago Media. 2024. SCImago Media Rankings. SCImago Media. Available online: https://scimagomedia.com/rankings.php (accessed on 19 June 2024).
- Siebert, Fred, Theodore Peterson, and Wilbur Schramm. 1956. Four Theories of the Press. Urbana: University of Illinois Press. [Google Scholar]
- Tan, Kian Long, Chin Poo Lee, and Kian Ming Lim. 2023. A Survey of Sentiment Analysis: Approaches, Datasets, and Future Research. Applied Sciences 13: 4550. [Google Scholar] [CrossRef]
- Ubayasiri, Kasun. 2019. Framing statelessness and ‘Belonging’: Rohingya refugees in Bangladesh’s The Daily Star newspaper. Pacific Journalism Review 25: 260–76. [Google Scholar] [CrossRef][Green Version]
- Vaca-Baqueiro, Maira T. 2018. Four Theories of the Press: 60 Years and Counting. In Four Theories of the Press. London: Routledge. [Google Scholar] [CrossRef]
- Vu, Hong Tien, and Nyan Lynn. 2020. When the News Takes Sides: Automated Framing Analysis of News Coverage of the Rohingya Crisis by the Elite Press from Three Countries. Journalism Studies 21: 1284–304. [Google Scholar] [CrossRef]
- Wang, Shujen. 1992. Factors influencing cross-national news treatment of a critical national event. International Communication Gazette 49: 193–214. [Google Scholar] [CrossRef]
- Wani, M. Ibrahim. 2022. From frames of victimhood to that of othering. In The Routledge Handbook of Refugees in India. Delhi: Routledge India, pp. 814–24. [Google Scholar] [CrossRef]
- Wu, H. Denis. 2000. Systemic Determinants of International News Coverage: A Comparison of 38 Countries. Journal of Communication 50: 110–30. [Google Scholar] [CrossRef]
- Zhang, Zhongheng. 2016. Missing data imputation: Focusing on single imputation. Annals of Translational Medicine 4: 9. [Google Scholar] [CrossRef]



| Country | News Media | Link | Start | News | M |
|---|---|---|---|---|---|
| Bangladesh | The Daily Star | https://thedailystar.net | 2015 | 2053 | 228.11 |
| China | China Daily | https://www.chinadailyhk.com | 2017 | 246 | 35.14 |
| India | Times of India | https://www.timesofindia.indiatimes.com | 2012 | 634 | 52.83 |
| Malaysia | The Star | https://thestar.com.my | 2020 | 970 | 242.5 |
| Pakistan | Express Tribune | https://tribune.com.pk | 2015 | 269 | 29.89 |
| Qatar | Al Jazeera | https://www.aljazeera.com | 2014 | 769 | 76.9 |
| Saudi Arabia | Saudi Gazette | https://saudigazette.com.sa | 2015 | 962 | 106.89 |
| Turkey | Daily Sabah | https://dailysabah.com | 2014 | 732 | 73.2 |
| UK | The Guardian | https://www.theguardian.com | 2009 | 576 | 38.4 |
| US | New York Times | https://www.nytimes.com | 2007 | 372 | 24.8 |
| Total | 8074 | 807.4 * | |||
| Measure | Country | |||||||||
|---|---|---|---|---|---|---|---|---|---|---|
| Bangladesh | China | India | Malaysia | Pakistan | Qatar | Saudi Arabia | Turkey | UK | US | |
| M | −0.18 | −0.16 | −0.3 | −0.11 | −0.47 | −0.44 | −0.21 | −0.17 | −0.39 | −0.53 |
| SD | 0.1 | 0.15 | 0.09 | 0.19 | 0.09 | 0.07 | 0.14 | 0.17 | 0.07 | 0.2 |
| Sum of Squares | df | Mean Squares | F | p | |
|---|---|---|---|---|---|
| Factor | 2.81 | 9 | 0.31 | 17.46 | <0.001 * |
| Residual | 2.32 | 130 | 0.02 | ||
| Total | 5.13 | 139 |
| Pair 1 | Pair 2 | Mean Diff. | Std. Error | t | p | 95% CI LL | 95% CI UL |
|---|---|---|---|---|---|---|---|
| Bangladesh | China | −0.02 | 0.051 | −0.31 | 1 | −0.19 | 0.15 |
| Bangladesh | India | 0.12 | 0.051 | 2.36 | 0.887 | −0.05 | 0.29 |
| Bangladesh | Malaysia | −0.07 | 0.051 | −1.33 | 1 | −0.24 | 0.1 |
| Bangladesh | Pakistan | 0.29 | 0.051 | 5.78 | <0.001 * | 0.12 | 0.46 |
| Bangladesh | Qatar | 0.26 | 0.051 | 5.16 | <0.001 * | 0.09 | 0.43 |
| Bangladesh | Saudi Arabia | 0.03 | 0.051 | 0.66 | 1 | −0.14 | 0.2 |
| Bangladesh | Turkey | −0.01 | 0.051 | −0.13 | 1 | −0.18 | 0.16 |
| Bangladesh | UK | 0.21 | 0.051 | 4.17 | 0.003 * | 0.04 | 0.38 |
| Bangladesh | US | 0.35 | 0.051 | 6.87 | <0.001 * | 0.18 | 0.52 |
| China | India | 0.13 | 0.051 | 2.67 | 0.382 | −0.03 | 0.3 |
| China | Malaysia | −0.05 | 0.051 | −1.02 | 1 | −0.22 | 0.12 |
| China | Pakistan | 0.31 | 0.051 | 6.09 | <0.001 * | 0.14 | 0.48 |
| China | Qatar | 0.28 | 0.051 | 5.47 | <0.001 * | 0.11 | 0.45 |
| China | Saudi Arabia | 0.05 | 0.051 | 0.98 | 1 | −0.12 | 0.22 |
| China | Turkey | 0.01 | 0.051 | 0.18 | 1 | −0.16 | 0.18 |
| China | UK | 0.23 | 0.051 | 4.48 | 0.001 * | 0.06 | 0.4 |
| China | US | 0.36 | 0.051 | 7.18 | <0.001 * | 0.19 | 0.53 |
| India | Malaysia | −0.19 | 0.051 | −3.69 | 0.014 * | −0.36 | −0.02 |
| India | Pakistan | 0.17 | 0.051 | 3.42 | 0.038 * | 0 | 0.34 |
| India | Qatar | 0.14 | 0.051 | 2.8 | 0.266 | −0.03 | 0.31 |
| India | Saudi Arabia | −0.09 | 0.051 | −1.7 | 1 | −0.26 | 0.08 |
| India | Turkey | −0.13 | 0.051 | −2.49 | 0.635 | −0.3 | 0.04 |
| India | UK | 0.09 | 0.051 | 1.81 | 1 | −0.08 | 0.26 |
| India | US | 0.23 | 0.051 | 4.51 | 0.001 * | 0.06 | 0.4 |
| Malaysia | Pakistan | 0.36 | 0.051 | 7.11 | <0.001 * | 0.19 | 0.53 |
| Malaysia | Qatar | 0.33 | 0.051 | 6.49 | <0.001 * | 0.16 | 0.5 |
| Malaysia | Saudi Arabia | 0.1 | 0.051 | 1.99 | 1 | −0.07 | 0.27 |
| Malaysia | Turkey | 0.06 | 0.051 | 1.2 | 1 | −0.11 | 0.23 |
| Malaysia | UK | 0.28 | 0.051 | 5.5 | <0.001 * | 0.11 | 0.45 |
| Malaysia | US | 0.41 | 0.051 | 8.2 | <0.001 * | 0.24 | 0.58 |
| Pakistan | Qatar | −0.03 | 0.051 | −0.62 | 1 | −0.2 | 0.14 |
| Pakistan | Saudi Arabia | −0.26 | 0.051 | −5.12 | <0.001 * | −0.43 | −0.09 |
| Pakistan | Turkey | −0.3 | 0.051 | −5.91 | <0.001 * | −0.47 | −0.13 |
| Pakistan | UK | −0.08 | 0.051 | −1.61 | 1 | −0.25 | 0.09 |
| Pakistan | US | 0.05 | 0.051 | 1.09 | 1 | −0.11 | 0.22 |
| Qatar | Saudi Arabia | −0.23 | 0.051 | −4.5 | 0.001 * | −0.4 | −0.06 |
| Qatar | Turkey | −0.27 | 0.051 | −5.29 | <0.001 * | −0.44 | −0.1 |
| Qatar | UK | −0.05 | 0.051 | −0.99 | 1 | −0.22 | 0.12 |
| Qatar | US | 0.09 | 0.051 | 1.71 | 1 | −0.08 | 0.26 |
| Saudi Arabia | Turkey | −0.04 | 0.051 | −0.79 | 1 | −0.21 | 0.13 |
| Saudi Arabia | UK | 0.18 | 0.051 | 3.51 | 0.028 * | 0.01 | 0.35 |
| Saudi Arabia | US | 0.31 | 0.051 | 6.21 | <0.001 * | 0.14 | 0.48 |
| Turkey | UK | 0.22 | 0.051 | 4.3 | 0.002 * | 0.05 | 0.39 |
| Turkey | US | 0.35 | 0.051 | 7 | <0.001 * | 0.18 | 0.52 |
| UK | US | 0.14 | 0.051 | 2.7 | 0.353 | −0.03 | 0.31 |
Disclaimer/Publisher’s Note: The statements, opinions and data contained in all publications are solely those of the individual author(s) and contributor(s) and not of MDPI and/or the editor(s). MDPI and/or the editor(s) disclaim responsibility for any injury to people or property resulting from any ideas, methods, instructions or products referred to in the content. |
© 2024 by the authors. Licensee MDPI, Basel, Switzerland. This article is an open access article distributed under the terms and conditions of the Creative Commons Attribution (CC BY) license (https://creativecommons.org/licenses/by/4.0/).
Share and Cite
Al-Zaman, M.S.; Rashid, M.H.O. Global Media Sentiments on the Rohingya Crisis: A Comparative Analysis of News Articles from Ten Countries. Journal. Media 2024, 5, 1098-1111. https://doi.org/10.3390/journalmedia5030070
Al-Zaman MS, Rashid MHO. Global Media Sentiments on the Rohingya Crisis: A Comparative Analysis of News Articles from Ten Countries. Journalism and Media. 2024; 5(3):1098-1111. https://doi.org/10.3390/journalmedia5030070
Chicago/Turabian StyleAl-Zaman, Md. Sayeed, and Mohammad Harun Or Rashid. 2024. "Global Media Sentiments on the Rohingya Crisis: A Comparative Analysis of News Articles from Ten Countries" Journalism and Media 5, no. 3: 1098-1111. https://doi.org/10.3390/journalmedia5030070
APA StyleAl-Zaman, M. S., & Rashid, M. H. O. (2024). Global Media Sentiments on the Rohingya Crisis: A Comparative Analysis of News Articles from Ten Countries. Journalism and Media, 5(3), 1098-1111. https://doi.org/10.3390/journalmedia5030070

