Abstract
Monitoring surface water quality over large river systems remains challenging due to sparse in situ sampling and the need for decision-ready indicators. This study aims to address this problem by developing and evaluating an integrated Landsat 8-based backpropagation neural network and Canadian Council of Ministers of the Environment Water Quality Index (L8-BPNN-CCME-WQI) for precise surface water quality assessment over the Saint John River (SJR), New Brunswick, Canada. The proposed approach combines atmospherically corrected Landsat 8 imagery, BPNN for estimating multiple surface water quality parameters (SWQPs), and CCME-WQI to translate SWQP fields into transparent water quality levels. The L8-BPNN-CCME-WQI models were trained using in situ measurements of turbidity, total suspended solids (TSS), total solids (TS), total dissolved solids (TDS), chemical oxygen demand (COD), biochemical oxygen demand (BOD), dissolved oxygen (DO), pH, electrical conductivity (EC), and temperature collected during our five field campaigns (from June 2015 to August 2016) and surface reflectance from five Landsat 8 scenes. The developed models achieved high performance during internal calibration and testing (R2 ≥ 0.80 for all SWQPs) and demonstrated robust performance (R2 ≈ 0.75–0.88) when applied to two independent surface water quality datasets from additional rivers across New Brunswick. Pixel-wise SWQP predictions were then input to the CCME-WQI formulation to derive reach-scale water quality levels, revealing that the lower Saint John River basin (below the Mactaquac Dam) is generally classified as “Fair” (CCME-WQI ≈ 67), whereas the middle basin upstream (above the Mactaquac Dam) is “Marginal” (CCME-WQI ≈ 59), reflecting stronger industrial and agricultural pressures. Overall, the L8-BPNN-CCME-WQI framework provides a scalable methodology for converting multi-parameter satellite-derived water quality information into spatially exhaustive CCME-WQI classes, supporting targeted regulation, prioritization of mitigation in critical reaches, and evaluation of management actions in large river systems.
1. Introduction
The term “water quality” encompasses the general condition of water and the associated risks of environmental pollution. Urban expansion, industrial wastewater discharge, and agricultural practices are the primary sources of water contamination [1]. Although water accounts for 75% of the Earth’s surface, only a small portion (0.40%) is appropriate for drinking. Human activities impacting surface water quality have increasingly strained this limited drinking water supply. Thus, it is fundamental to obtain accurate data regarding the condition of water sources [2,3]. In recent years, initiatives aimed at managing water quality have concentrated on monitoring and regulating the discharge of sewage and industrial waste. This process entails collecting water samples from multiple sites, which is a labor-intensive endeavor that demands considerable fieldwork and laboratory analysis. Additionally, these efforts are frequently limited by budget constraints [4,5].
Remote sensing provides a unique perspective that goes beyond what can be achieved with ground-based field studies. Satellite sensors offer several advantages over traditional on-site research, including a broad, synoptic view, the ability to cover areas repeatedly, and extensive monitoring capabilities. Furthermore, remote sensing can lead to cost savings in data acquisition and significantly decrease the time required for data collection and processing [6,7]. In this context, the optical attributes of water, including reflectance, rely on the characteristics of various water quality parameters. In studies of water quality, researchers utilize the relationship between measured solar radiation and in situ data to generate water quality models utilizing distinct approaches. These typically involve both statistically based and learning-based methods, which often rely on a predetermined set of assumptions and face challenges related to model structure and parameter estimation [8,9,10,11,12,13,14,15,16,17,18,19,20].
In the context of using learning-based methods, Wang et al. (2024) [21] demonstrated the challenge of accurately predicting dissolved oxygen (DO) concentrations in water bodies, which is critical for sustaining aquatic life and maintaining ecosystem balance. The complexity, nonlinearity, and periodicity of DO data sequences complicate effective monitoring and prediction, making it essential to develop reliable predictive models. The authors established a robust predictive model that integrates multiple sources of data and advanced machine learning techniques (deep learning) to enhance the accuracy of DO predictions. This model supports water resource protection efforts by providing precise forecasts that can inform management decisions. Moreover, Yao et al. (2024) [22] addressed the challenge of effectively predicting and regulating water quality in complex aquatic systems, particularly in the context of Poyang Lake in China. The challenge arises from the intricate coupling of various water quality factors, which complicates management and environmental protection efforts. The authors developed a coherent model for water quality prediction, classification, and regulation using interpretable machine learning techniques. This model enhances water resource management by providing accurate predictions of key water quality indicators, thus facilitating timely interventions to maintain or improve water standards.
Almost all studies evaluating surface water quality involve comparing the calculated surface water quality parameters (SWQPs) with the established standard levels. If the assumptions are not relevant to the specific situation, employing statistically based methods can result in either overestimations or underestimations [9]. Consequently, our study seeks to investigate and demonstrate the effectiveness of learning-based methods, such as artificial neural networks (ANNs), for modeling surface water quality. ANNs are a robust tool for analyzing and assessing surface water quality owing to their potential to reveal the complexities inherent in water quality data. As a result, they can be utilized to create water quality models that accurately represent concentrations of SWQPs.
The results of detailed monitoring stations of water quality are significant for experts; however, they may be difficult for decision-makers to understand and interpret. Hence, it is crucial to simplify detailed information on water quality and represent its influence on the environment and public health. Assessing surface water quality by employing water quality indices (WQIs) is fundamental, as they efficiently determine a watershed’s overall surface water quality condition [23,24,25].
The WQI applies numerical values to determine water quality levels and simplifies complex data into descriptive categories. The most common categories of WQIs are statistically based, public-oriented, planning-oriented, and application-specific [25,26]. Weights are allocated to SWQPs according to their impact on surface water quality in the last three categories, which are weight-based techniques. However, weight-based approaches are arbitrary due to the different weights given by experts to the same SWQPs. Conversely, statistically based WQIs rely on statistical methods to improve WQI accuracy through data analysis and reduced subjectivity. It is imperative to identify the central SWQPs, which are significant in managing and evaluating water quality [7,27]. Nevertheless, few studies have attempted to categorize surface water quality trends using statistically based WQIs, such as the Overall Index of Pollution (OIP) and the WQI of the Canadian Council of Ministers of the Environment (CCME-WQI) [28,29,30,31].
The OIP was used in the Yamuna River in India to track the levels of water quality using the following parameters: dissolved oxygen, turbidity, pH, biochemical oxygen demand, fluoride, and total dissolved solids [32]. Based on India’s water quality criteria, the OIP’s evaluation results were categorized as excellent, acceptable, slightly contaminated, moderately polluted, and polluted. Six sites were used to collect water samples (1995 to 1997), with stations 1 and 3 exhibiting exceptionally high water quality. Station 4 was classified as filthy, whereas stations 2, 5, and 6 were deemed to be slightly polluted. In the Mackenzie River, the CCME-WQI was used to determine the water quality, which indicated high amounts of suspended sediment [33]. The CCME-WQI readings showed a marginal category of water quality, ranging from 43 to 59. A different study used the CCME-WQI to determine Canada’s annual water quality values using data gathered monthly [34].
Although WQIs can precisely interpret water quality information, they demand extensive ground truth data (water samples), which poses considerable challenges owing to the supplementary costs, labor force, and time constraints. In this context, WQIs may introduce bias by revealing inaccurate water quality levels owing to the absence of illustrative water samples. A gap was identified regarding the capability of using ANNs along with WQIs to improve the precision of extracting SWQP concentrations from space and, consequently, determining precise water quality levels. Accordingly, the backpropagation neural network (BPNN), the CCME-WQI, and the atmospherically corrected Landsat 8 data are integrated in a novel manner to accurately reflect the water quality levels in the Canadian Saint John River (SJR).
The BPNN was selected to generate models for SWQPs because it ensures network generalization, controls learning processes, and optimizes results by adjusting learning rate values more effectively than other machine learning algorithms [6,9]. Moreover, it was chosen due to its proven effectiveness in capturing nonlinear relationships between input features (spectral data) and SWQPs. Afterward, SWQP concentrations were input into the CCME-WQI to derive precise water quality levels. The CCME-WQI was utilized owing to its simplification of water quality expression, flexibility in parameter selection, and data volume reduction capabilities.
The main objectives of the present research work are to (1) evaluate the potential of Landsat 8 satellite data for the analysis of SWQPs and WQIs; (2) compare commonly used atmospheric correction algorithms against a reference product and select a consistent reflectance input; (3) outline an efficient water pixel extraction method to speed up subsequent calculations; (4) employ the developed BPNN to produce models for mapping concentrations of different SWQPs, such as turbidity, total suspended solids (TSS), total solids (TS), total dissolved solids (TDS), dissolved oxygen (DO), power of hydrogen (pH), electrical conductivity (EC), and temperature, from Landsat 8 reflectance data; (5) assess and validate the models’ performance using two independent datasets from New Brunswick; (6) generate a concentration map for each SWQP over the selected study region; and (7) extract precise water quality levels of the SJR using the developed Landsat 8-BPNN-CCME-WQI (L8-BPNN-CCME-WQI). To the best of our knowledge, a novel approach for extracting precise water quality patterns has been generated for the first time using the developed L8-BPNN-CCME-WQI framework. Below, we outline how our study contributes uniquely to the field of water quality monitoring from space:
- Novel integration of technologies: This study presents a novel approach by integrating Landsat 8 data with the CCME-WQI and the BPNN. This combination has not been previously documented in the literature, providing a new methodology for accurate surface water quality assessments.
- Addressing limitations of existing methods: Traditional methods for assessing water quality often rely on ground-based sampling, which can be labor-intensive and limited in spatial coverage. This approach leverages remote sensing technology to enable broader and more efficient monitoring, addressing the limitations of conventional methods.
- Real-time monitoring capability: The proposed methodology allows for near-real-time monitoring of water quality across extensive geographic areas. This capability is particularly innovative, as it facilitates timely responses to water quality issues, which are critical for effective water resource management.
- Robust validation against ground truth data: The developed models were validated using two independent validation datasets from New Brunswick, demonstrating strong correlations (R2 > 0.80). This rigorous validation process underscores the reliability and applicability of our findings in real-world scenarios.
- Contribution to sustainable resource management: By providing a comprehensive tool for assessing water quality that is both interpretable and actionable for decision-makers, this research contributes valuable insights into sustainable water resource management practices.
2. Methodology
Figure 1 displays the flowchart of the developed L8-BPNN-CCME framework.
Figure 1.
Flowchart of the developed L8-BPNN-CCME-WQI framework, including processing of Landsat 8 data (atmospheric correction, water masking, and reflectance extraction at sampling points), BPNN-based retrieval of SWQPs, and subsequent CCME-WQI calculation to derive reach-scale water quality levels.
2.1. Selected Study Site
Figure 2 shows a 130 km stretch of the SJR, consisting of two main river segments: the middle and lower basins. The middle basin has higher pollution levels than the lower basin owing to industrial practices (food and paper processing) [35]. The SJR is located in New Brunswick, which is classified as one of Canada’s three maritime provinces. New Brunswick is bordered by Quebec to the north, Nova Scotia to the east, the Bay of Fundy to the southeast, the Gulf of Saint Lawrence to the northeast, and the US state of Maine to the west.
Figure 2.
The study site.
The province is known for its diverse water bodies, including the SJR, which receives precipitation throughout the year. The SJR is the largest in New Brunswick and flows from the northern part of the province and empties into the Bay of Fundy. It rises in the north of Maine and flows northeast to Edmundston through the woodlands of Madawaska County. The Gulf of Saint Lawrence borders the province to the east and north, while the Bay of Fundy lies to the south, serving as the two main discharge basins. New Brunswick is also home to numerous lakes, with Grand Lake being the largest freshwater lake in the province. Additionally, the province features many waterfalls, including Grand Falls, which is recognized as the largest waterfall in New Brunswick [35].
2.2. Processing of Satellite Images
The Landsat 8 Operational Land Imager (OLI) sensor provides spectral data in the visible spectrum with a spatial resolution of 30 m. With a 12-bit radiometric resolution (4096 gray levels), decreased atmospheric distortions, and increased sensitivity to reflectance fluctuations, Landsat 8 improves data-collection performance [36]. The 30 m spatial resolution of Landsat 8 is well-suited for regional water quality monitoring. This resolution allows for the effective capture of surface water features and variations in SWQPs across large areas, making it a valuable tool for assessing water bodies that may be influenced by various anthropogenic and natural factors. While higher-resolution satellite imagery (e.g., Sentinel-2) may provide more detailed information, our study demonstrates that Landsat 8 can still yield meaningful insights into water quality trends and conditions. The ability to analyze historical data from Landsat archives further enhances its utility for long-term monitoring efforts.
In this research work, five Landsat 8 satellite images were captured at various times (27 June 2015, 10 April 2016, 12 May 2016, 22 July 2016, and 23 August 2016) to gain the maximum variation in SWQPs concentration. The Landsat 8 images are geometrically corrected and accessible at Level 1T and Level 2. The Level 1T product is a geometrically corrected image that has been adjusted to conform to the World Geodetic System 1984 (WGS 84) datum and projected into the Universal Transverse Mercator (UTM) system [37]. In contrast, the Level 2 product is an atmospherically corrected surface reflectance product, which served as an internal benchmark to quantify the relative agreement of different atmospheric correction algorithms with the operational (United States Geological Survey (USGS)) Collection-2 processing over the study area.
In addition to serving as a reference for the relative performance assessment of the atmospheric correction algorithms, the Level 2 product could, in principle, be used directly as input to the subsequent modeling steps. In this study, however, we aimed to (i) systematically evaluate the impact of different atmospheric correction schemes against a consistent benchmark and (ii) implement an end-to-end preprocessing workflow that remains applicable in situations where operational Level 2 products may be unavailable or incomplete (e.g., historical Landsat data, non-standard processing chains). For this reason, we derived surface reflectance using Quick Atmospheric Correction (QUAC), Fast Line-of-sight Atmospheric Analysis of Spectral Hypercube (FLAASH), and Atmospheric Correction (ATCOR); compared them to Level 2; and then selected the method with the highest agreement to generate a consistent reflectance dataset for the L8-BPNN modeling, instead of mixing Level 2 and independently corrected images.
In this context, three atmospheric correction algorithms—QUAC, FLAASH, and ATCOR—were applied to the Level 1T images. The QUAC algorithm is designed for quick atmospheric correction using a simplified model that assumes uniform atmospheric conditions. It is particularly effective for large-scale applications where computational efficiency is crucial. While the FLAASH algorithm employs a more sophisticated radiative transfer model that accounts for varying atmospheric conditions and aerosol types, making it suitable for more precise corrections, especially in complex atmospheric scenarios, the ATCOR algorithm is known for its comprehensive approach, incorporating detailed information about surface reflectance and atmospheric constituents. It is particularly useful in applications requiring high accuracy, such as in heterogeneous landscapes.
Atmospheric correction algorithms address the impacts of absorption and scattering caused by the atmosphere, which can significantly alter the spectral values captured by the sensor [38]. By mitigating these effects, atmospheric correction algorithms ensure that the resulting data accurately reflects ground conditions, free from atmospheric interference. By comparing statistical measures, such as the coefficient of determination (R2) and the root mean squared error (RMSE), across various atmospherically corrected images, we were able to quantitatively evaluate the performance of each atmospheric correction method and determine which method generated images most similar to the Level 2 reference image.
Accurate delineation of the water surface enhances the overall quality and reliability of the resulting data and insights derived from it. By focusing solely on the water pixels when mapping SWQP concentrations, the models can be processed and computed more efficiently compared to using all image pixels. The creation of a water mask involves the selection of an appropriate threshold value to differentiate water pixels from non-water pixels [38]. This threshold is typically determined based on the spectral characteristics of water within specific spectral bands of the satellite image. Once established, this threshold is applied to the image to generate a binary water mask.
Various methods for water masking have been employed, including Normalized Difference Water Index (NDWI) (used to enhance water features by emphasizing differences in reflectance between the green and near-infrared bands), Normalized Difference Vegetation Index (NDVI) (used to classify water pixels by highlighting variance in reflectance between the red and near-infrared wavelengths), Modified Normalized Difference Water Index (MNDWI) (used to minimize the influence of built-up land and vegetation on water detection), Water Ratio Index (WRI) (used to assess moisture content in vegetation and identify water bodies by calculating the ratio of visible light reflectance (green and red) to near-infrared and shortwave infrared reflectance), Simple Water Index (SWI) (designed to enhance water detection by utilizing a straightforward formula that emphasizes water’s unique spectral characteristics), and the K-means unsupervised classification technique (used to classify data into distinct groups based on similarity, making it effective for categorizing land cover types, including the separation of water from non-water features in remote sensing applications). A description of the steps involved in the K-means algorithm is as follows: (1) Initialization: selecting K initial centroids randomly from the dataset; (2) Assignment: assigning each data point to the nearest centroid based on Euclidean distance; (3) Update: recalculating centroids as the mean of all points assigned to each cluster; and (4) Iteration: repeating the assignment and update steps until convergence (i.e., when centroids no longer change significantly).
After applying the water mask to the image, non-water pixels are effectively masked out in subsequent analyses, allowing for a more precise examination of the water bodies of interest. Applying a water mask is a crucial step in the image processing workflow for mapping the concentrations of SWQPs.
2.3. Field Measurements and Laboratory Analysis
Water sampling was carried out on 27 June 2015, 10 April 2016, 12 May 2016, 22 July 2016, and 23 August 2016, as displayed in Figure 3. Along approximately a 130 km stretch of the SJR, 70 water samples were taken; four samples were not included because of cloud cover. A portable GPS device was used to record each station’s coordinates. Samples of water were collected concurrently with the satellite pass. The American Public Health Association (APHA) standards were used for measuring turbidity, total suspended solids (TSS), total solids (TS), total dissolved solids (TDS), dissolved oxygen (DO), power of hydrogen (pH), electrical conductivity (EC), and temperature [39]. This research study leveraged satellite imagery from Landsat 8, which provides consistent spatial coverage across the entire study area over time. By analyzing changes in spectral reflectance values at these representative locations, we can infer temporal trends in water quality parameters even if specific sample points were not repeatedly measured.
Figure 3.
The Landsat 8 sub-scenes and the selected sampling points.
2.4. Predicting Concentrations of SWQPs Using the Developed L8-BPNN-CCME-WQI
Concentrations of turbidity, TSS, and chlorophyll have been widely calculated using remote sensing and statistical methods [4,27,38,40,41,42]. However, accurate modeling of SWQPs via statistical techniques presents challenges [5,18,43,44]. Hence, the use of artificial neural networks (ANNs) is crucial for mapping SWQP concentrations.
Typically, an ANN structure involves three principal layers: (1) an input layer, which contains independent variables (surface reflectance data); (2) hidden layers; and (3) an output layer [9,45]. The utilized BPNN algorithm includes four essential steps: (1) the feed-forward calculation, (2) the error signal computation, (3) the backpropagation of the error, and (4) updating the connection weights.
According to Equations (1) and (2), the weights () of connecting neurons are utilized to scale the input variables (), resulting in the computation of values for the nodes of hidden layers () [9,45].
The feed-forward calculation starts with determining the nodes’ values of the hidden layers and then uses these values to estimate the output layer.
where is the gradient coefficient.
Calculating the error signal () for each neuron is the following step, as illustrated in Equation (3). The variation between the intended and actual output () represents the error. The weights are then adjusted using the computed error.
Equations (4) and (5) show that the BPNN uses gradient descent to determine the error surface’s global minima. The gradient descent equation can optionally include a learning rate. The outlined error can be backpropagated from the output layer to the hidden layers and then to the input layer. Lastly, the optimal set of weights ( and ) can be determined from current weights ( and ), learning rate (), the local gradient of the error function ( and ), and the actual output ( and ) to generate mapping models that are capable of producing precise outputs corresponding to specific inputs.
The BPNN algorithm was employed to establish nonlinear models between surface reflectance of Landsat 8 and SWQP concentrations. As revealed in Figure 4, the spectral information of Landsat 8 was exploited to build the ANN input layer. Hidden layer configurations and the associated neurons were determined through experimental selection, while SWQPs were individually selected to construct the ANN output layer. Finally, a spatial distribution map for each SWQP can be produced for each pixel of the selected study region.
Figure 4.
The developed ANN topology.
In this study, internal model performance was quantified using a sample-wise 75%/25% train–test split within the SJR dataset, while the generalization capability was evaluated using two fully independent external datasets from different rivers. The external validation rivers differ from the calibration river in watershed characteristics, hydrological conditions, and biogeochemical regimes, and thus represent a deliberately more challenging test case than the internal split. This design was chosen to assess the robustness of the spectral–SWQP relationships beyond the specific calibration context rather than to maximize numerical accuracy on the external sets.
Furthermore, the BPNN performance was systematically benchmarked against standard algorithms. Comparative models included: (i) multiple linear regression (MLR), (ii) support vector regression (SVR), and (iii) random forest (RF). Detailed results are presented in Section 3.6.
2.5. Employing the CCME-WQI
The CCME-WQI presents significant insights into surface water quality, which benefits local administrators and the general public. It provides an overview of water quality levels without replacing the necessity for a comprehensive investigation of water quality [28]. Table 1 indicates the use of the CCME-WQI based on the CCME standards. The CCME-WQI combines range, frequency, and intensity to provide a score from zero to a hundred. A zero indicates “poor” quality of water, whereas a hundred designates “excellent” quality of water.
Table 1.
Drinking water quality standards set by the CCME and WHO.
Eventually, there are five categories for water quality: (1) Excellent (value: 95–100): Water quality is protected with a virtual absence of threat or impairment; conditions are very close to natural or pristine levels. (2) Good (value: 80–94): Water quality is protected with only a minor degree of threat or impairment; conditions rarely depart from natural or desirable levels. (3) Fair (value: 65–79): Water quality is usually protected but occasionally threatened or impaired; conditions sometimes depart from natural or desirable levels. (4) Marginal (value: 45–64): Water quality is frequently threatened or impaired; conditions often depart from natural or desirable levels. and (5) Poor (value: 0–44): Water quality is almost always threatened or impaired; conditions usually depart from natural or desirable levels.
The CCME-WQI confirms the potential of monitoring spatio-temporal variations in surface water quality at specific locations and facilitates direct comparisons between sampling stations and specific standards [28]. Conversely, limitations of the CCME-WQI involve sensitivity to input variables [46] and information loss among various SWQPs into a single value [34].
In the original formulation, a “test” corresponds to a single comparison of a measured water quality parameter against its guideline at a given site and time, and the index is often applied to time series at fixed monitoring stations. In this study, we adapt the same mathematical framework to a spatial ensemble of pixels within a river reach at a given image date. Specifically, each combination of pixel and SWQP is treated as one test: for every water pixel in the delineated reach, each modeled SWQP is compared against its corresponding CCME and WHO guidelines (Table 1), and this pixel–parameter pair constitutes a test. The Scope term () is computed as the percentage of SWQPs that fail their guideline at least once across all pixels, Frequency () as the percentage of all pixel–parameter tests that exceed the guideline, and Amplitude () as the average normalized excursion magnitude over all failing pixel–parameter tests. The resulting value thus summarizes the spatial pattern of compliance and exceedance across the full set of water pixels for the analyzed date.
3. Results
Concentrations of the selected SWQPs, a comparative analysis of the employed atmospheric correction algorithms, an assessment of the utilized water pixel extraction methods, the calibration and validation phases of the established models, the spatio-temporal distribution of SWQPs in the SJR, and the precise classification of water quality levels in the SJR were the six main categories of findings from this research study.
3.1. Concentrations of SWQPs
In the SJR, to capture the most significant variance in sampling concentrations, twenty-eight points were selected in the lower section of the SJR (below the Mactaquac Dam), and thirty-eight points were selected in the middle section of the SJR (above the dam). Because there are fewer large dams, increased water flow into the river, and fewer industrial and agricultural operations, surface water quality below the Mactaquac Dam is better than above the dam.
Statistics for turbidity, TSS, TS, TDS, COD, BOD, DO, pH, EC, and temperature were measured, as displayed in Table 2. Turbidity concentrations varied from 1.19 to 13.10 NTU (averaging 4.84 NTU). For TSS, TS, and TDS, concentrations increased from 0.60 to 11.40 mg/L (averaging 3.59 mg/L), 58.00 to 245.00 mg/L (averaging 113.92 mg/L), and 52.40 to 233.85 mg/L (averaging 110.33 mg/L), respectively. Concerning COD, BOD, and DO, their levels varied from 4.80 to 86.64 mg/L (averaging 27.55 mg/L), 1.21 to 3.25 mg/L (averaging 1.75 mg/L), and 6.71 to 14.14 mg/L (averaging 9.54 mg/L), respectively. In the same context, pH, EC, and temperature values changed from 6.51 to 8.42 (averaging 7.59), 29.50 to 148.90 us/cm (averaging 97.09 µs/cm), and 5.00 to 23.30 Celsius (averaging 15.92 Celsius), respectively.
Table 2.
Statistics of the measured concentrations of SWQPs.
Notably, springtime concentrations of TSS, TS, and TDS were higher than summertime levels due to snowmelt and rainfall, which introduce deposits from forestry and agricultural practices into the SJR. Conversely, the middle section of the river had increased amounts of COD and BOD owing to the presence of paper and food industries adjacent to the shoreline of the SJR.
Beyond turbidity, TSS-, TS-, and TDS-driven light scattering, several of the modeled variables that are not strictly “water color” parameters (DO, BOD, COD, EC, and pH) are indirectly linked to spectral variability through their coupling with suspended and dissolved material, organic loading, and temperature. In the Saint John River system, higher COD and BOD were consistently observed in the industrialized middle basin, where elevated TSS and TS were also present, while EC and pH co-varied with the concentration of dissolved ions and temperature. These co-variations establish an indirect but systematic connection between Landsat 8 reflectance in the visible–NIR–SWIR–TIR bands and the non-optical SWQPs, which the BPNN can exploit when trained under appropriate spatio-temporal coverage.
Turbidity was associated with the scattering of light by suspended particles. Band 1 captured the scattering effects in the coastal blue region, while bands 5, 6, and 7 were sensitive to the presence of these particles in the NIR and SWIR regions. TSS affected light absorption and scattering, particularly in the blue and green wavelengths. TS included both suspended and dissolved solids, which influenced the spectral response in the visible and NIR regions. TDS affects water color and absorption characteristics, particularly in the red and NIR wavelengths. COD was associated with organic matter content, which was detected using both green and red bands. Similar to COD, BOD was inferred from organic matter concentrations detectable in these bands. Changes in chlorophyll levels indicated organic productivity affecting DO levels. pH influenced the absorption characteristics of water and its constituents, particularly in the visible spectrum. EC was related to the concentration of dissolved ions in water, affecting absorption features in the visible spectrum. The thermal infrared bands measured emitted thermal energy from water bodies.
Spectral Sensitivity and Correlation Analysis
To examine whether the BPNN is driven by physically meaningful spectral information rather than by scene identity or acquisition date, we quantified the sensitivity of each SWQP to Landsat 8 bands. For each sampling date, we computed Pearson correlation coefficients between in situ concentrations and the corresponding surface reflectance in the coastal blue (B1), blue (B2), green (B3), red (B4), NIR (B5), SWIR1 (B6), SWIR2 (B7), and thermal infrared bands (TIR1, TIR2). Turbidity, TSS, TS, and TDS showed the strongest correlations, with prominent positive associations in B1–B3 and B5–B7, reflecting enhanced scattering and absorption by suspended and dissolved materials. COD and BOD exhibited moderate correlations in the green and red bands, consistent with their linkage to organic matter and productivity gradients that influence reflectance in these regions. DO displayed weaker but still significant negative correlations with bands most sensitive to turbidity and organic loading, reflecting decreased oxygen levels under higher organic and suspended loads. EC and pH showed reasonable correlations with NIR and SWIR bands and with TIR1/TIR2, suggesting a combined sensitivity to dissolved ions, temperature, and associated changes in water column composition.
The observed correlation structure indicates that non-optical SWQPs are retrieved under conditions where they co-vary with optically active constituents and the thermal regime, rather than through arbitrary scene-specific signatures. Consequently, the applicability of the developed models is restricted to river systems and periods where such connections hold; in optically very clear or weakly coupled systems, separate calibration and independent validation are required before any operational use.
3.2. Comparative Analysis of Atmospheric Correction Algorithms Against Landsat 8 Level 2 Data
To perform the required comparisons and calculations, a Python code was developed. In addition to Python version 3.12, we employed Microsoft Visual Studio 2015 for code editing and debugging. The combination of Python and Visual Studio code version 1.109.5 created a powerful and efficient platform for executing our code and calculating the necessary R2 and RMSE values.
Table 3 provides a detailed overview of the calculated R2 and RMSE values, with each value corresponding to an image processed using a specific atmospheric correction method. These images, resulting from different atmospheric correction algorithms, were compared against the Landsat 8 Level 2 reference dataset. The insights derived from the tabulated data indicate that, for the selected satellite scenes, FLAASH produces surface reflectance that is most consistent with the Landsat 8 Level 2 product in terms of R2 and RMSE across bands. On this basis, FLAASH-derived reflectance can be used as the input to the BPNN models to maintain an internally consistent, explicitly documented atmospheric correction pipeline starting from Level 1T data, while recognizing that Level 2 surface reflectance itself remains a valid alternative input in operational implementations of the framework.
Table 3.
Statistical metrics of atmospheric correction methods against Landsat 8 Level 2 reference data.
These results highlight FLAASH’s superior accuracy compared to the other methods examined. While both FLAASH and ATCOR demonstrate high accuracy, it is crucial to note that the QUAC method is easier to implement and does not require complex parameter inputs. Although FLAASH and ATCOR generally provide greater accuracy, they may be less practical than QUAC due to the challenges of obtaining real-time parameters in operational settings.
In this analysis, the Level 2 surface reflectance product was used as an internal benchmark to quantify the relative agreement of QUAC, FLAASH, and ATCOR with the operational USGS processing, rather than to establish an absolute ranking of atmospheric correction accuracy. Our conclusion is therefore restricted to stating that FLAASH yields reflectance most similar to Level 2 for the studied dates and region and does not imply global superiority over other methods.
3.3. Assessment of Water Pixel Extraction Methods
Various water masking techniques were utilized, including NDWI, NDVI, MNDWI, WRI, SWI, and the K-means. To compare the water masks generated by each method, a predefined threshold was applied to each image, which was then overlaid on the final corrected image. After conducting a comparative analysis of these water pixel extraction techniques, it was found that the NDWI mask incorrectly classified many land use pixels as water, particularly in the areas around the SJR and its surroundings. The NDVI method also produced inaccurate results, as its mask not only misidentified additional regions but also failed to include a significant number of actual water pixels. In contrast, the MNDWI improved the mask by accurately identifying all water bodies, although it still misclassified some building pixels as water. The MNDWI mask outperformed the NDWI. The application of the WRI method did not improve the results; it was similar to the NDVI mask in its inability to capture many water bodies and its misclassification of other land use areas, such as roads and buildings. The SWI method produced a significantly better mask that included all water bodies, despite still misclassifying pixels from various land use types as water.
As displayed in Figure 5, the use of the K-means classification yielded a water class that outperformed other methods. This was followed by manual refinement of the water boundaries to create the final water mask, which served as the foundation for the ANN-based modeling/mapping of SWQPs. Manual refinement was employed in this study to ensure accuracy in delineating water boundaries based on visual inspection and expert knowledge of the study area.
Figure 5.
Water body extraction using the K-means classification during our five field campaigns.
The initial water class was refined using a set of explicit and reproducible rules to minimize subjectivity. First, a fixed 2–3 pixel buffer around the K-means water boundary was delineated, and all edits were restricted to this buffer to avoid arbitrary, large-scale changes. Second, each candidate boundary segment was examined using (i) Landsat 8 true-color (red–green–blue) and false-color (NIR–red–green) composites and (ii) high-resolution imagery from Google Earth as an independent visual reference. Pixels were retained as water if they simultaneously exhibited (a) the low NIR reflectance and spectral homogeneity characteristic of open water in the NIR-enhanced composite and (b) a continuous connection to the river channel with no visible land features (e.g., vegetation, roads, buildings) in the high-resolution imagery. Conversely, pixels were reclassified as non-water if they showed elevated NIR or SWIR reflectance, textural patterns typical of land surfaces, or correspondence to buildings, roads, or vegetated areas in the ancillary imagery. All refinements were performed in a single session by one operator following these rules, and the same criteria were applied consistently to all dates, thereby reducing operator-dependent variability. This constrained refinement ensured that the final water mask corrected obvious misclassifications while preserving the objective structure of the K-means result and limiting error propagation into sample extraction and pixel-wise SWQP mapping.
This allowed us to fine-tune the results of the K-means classification, which is particularly valuable in heterogeneous environments where automated methods may struggle. In this context, the atmospherically corrected imagery, clipped using the K-means water mask, was integrated with in situ measurements and analyzed using the selected BPNN algorithm to estimate the values of turbidity, TSS, TS, TDS, COD, BOD, DO, pH, EC, and temperature across the study area.
3.4. Training and Validation of the Developed BPNN
The input layer of the created ANN was built using the Landsat 8 CB, Blue, Green, Red, NIR, SWIR1, SWIR2, TIR1, and TIR2 bands. Concentrations of the selected SWQPs exhibited a strong association with the specified spectral bands. Conversely, the Landsat 8 Cirrus band was negatively associated with the chosen SWQPs.
Each individual SWQP was chosen to make up the output layer to increase the ANN computational performance and reduce its complexity. Water samples from the five field campaigns were divided into training and testing sets such that each sampling point was assigned exclusively to one subset and never reused. In total, 49 samples (75%) were used to train the BPNN models, and 17 samples (25%) were reserved for testing, ensuring point-level independence between training and testing data while maintaining similar concentration statistics across both subsets to judge the stability, robustness, and strength of the obtained ANN models. In addition, the following section (Section 3.5) employs two further datasets collected on different dates and from other rivers across New Brunswick to verify the stability of the trained models; these external datasets were not used for model calibration. During the network training phase, the coefficients of determination (R2) for all SWQPs revealed high values (R2 ≥ 0.824) with a statistically significant p-value of less than 0.001, as represented in Figure 6.
Figure 6.
Statistical measures, using the training set, between measured and predicted SWQPs: (a) turbidity, (b) TSS, (c) TS, (d) TDS, (e) COD, (f) BOD, (g) DO, (h) pH, (i) EC, and (j) temperature.
The association between the desired model output (i.e., the outcomes from the built BPNN) and the target output (i.e., the observed SWQP concentrations) was established within the MATLAB version R2024b environment. Figure 7 indicates that the concentrations of SWQPs displayed high performance during the network testing phase, showing R2 ≥ 0.803 and a statistically significant p-value below 0.001. Validation models confirmed reliable stability with R2 values of 0.949, 0.947, 0.884, 0.881, 0.823, 0.803, 0.823, 0.849, 0.897, and 0.981 for turbidity, TSS, TS, TDS, COD, BOD, DO, pH, EC, and temperature, respectively.
Figure 7.
Statistical measures, using the testing set, between measured and predicted SWQPs: (a) turbidity, (b) TSS, (c) TS, (d) TDS, (e) COD, (f) BOD, (g) DO, (h) pH, (i) EC, and (j) temperature.
Because the constructed network could effectively model complex and nonlinear issues, it was structured with three layers running a differentiable sigmoid function. A significant challenge in the hidden layer is determining the optimal number of neurons. Twelve neurons were empirically selected for the hidden layer in this study. Overfitting and a slower learning process can be caused by using too many neurons in the hidden layer, whereas underfitting can be caused by using too few nodes. Using the BPNN algorithm, exact correlations between concentrations of SWQPs and Landsat 8 spectral bands were established, exhibiting strong generalization ability. This algorithm demonstrates efficient computations with varying training durations for SWQPs: turbidity (4 s), TSS (5 s), TS (8 s), TDS (12 s), COD (22 s), BOD (21 s), DO (10 s), pH (4 s), EC (18 s), and temperature (11 s).
To properly set the learning rate, the algorithm ensures the finding of the global minimum. For best performance, on the error surface, a learning rate value of 0.01 was fine-tuned to reach the global minima. Deviating from this specified learning rate can lead to a decrease in system efficiency. In other words, lower values can result in sluggish performance, while higher values compromise the ANN’s generalization capability. As presented in Figure 8, during the ANN training and testing phases, the RMSE values were 0.061 NTU and 0.557 NTU for turbidity, 0.802 mg/L and 0.654 mg/L for TSS, 0.753 mg/L and 1.353 mg/L for TS, 0.522 mg/L and 1.781 mg/L for TDS, 0.133 mg/L and 0.112 mg/L for COD, 0.150 mg/L and 0.171 mg/L for BOD, 0.121 mg/L and 0.143 mg/L for DO, 0.011 and 0.451 for pH, 0.021 us/cm and 0.752 us/cm for EC, and 0.041 Celsius and 0.302 Celsius, respectively. Additionally, the error surface illuminated that the training process was accomplished at epoch numbers 51, 73, 117, 311, 703, 697, 237, 54, 517, and 256 for turbidity, TSS, TS, TDS, COD, BOD, DO, pH, EC, and temperature, respectively, as displayed in Figure 8. It was noted that there was no considerable advancement in the performance of the developed network away from these stopping epochs.
Figure 8.
The error surface for SWQPs: (a) turbidity, (b) TSS, (c) TS, (d) TDS, (e) COD, (f) BOD, (g) DO, (h) pH, (i) EC, and (j) temperature during the ANN training and testing stages.
In all cases, the training procedure monitored both training and testing RMSE as functions of epoch. The “best epoch” for each SWQP was defined as the epoch at which the testing RMSE reached its minimum value for that model; the corresponding network weights were saved and used for all subsequent predictions and performance calculations. The full curves shown in Figure 8 illustrate that, beyond this epoch, training RMSE continues to decrease while testing RMSE tends to increase or fluctuate, indicating the onset of overfitting. These later epochs were not used for model selection; they are presented solely to document the error surface behavior. In summary, the employed BPNN algorithm demonstrated superior accuracy in predicting concentrations of SWQPs when compared to traditional statistical-based methods utilized in earlier research. The significant advantage is the capability of the BPNN algorithm to efficiently model the nonlinear connections between satellite data and SWQPs regardless of preceding knowledge of these relationships. Furthermore, the BPNN algorithm achieves robust generalization, simplifying the ANN complexity and improving the ANN computational speed.
3.5. Additional Validation of the Established L8-BPNN-CCME-WQI Framework
This section aims to validate the developed BPNN models further to confirm their potential as predictive tools for measuring surface water quality not only in other segments of the SJR but also in other water systems across the whole province of New Brunswick. Therefore, we employed two more datasets of New Brunswick surface water quality data to judge and confirm the robustness and stability of the constructed BPNN models. The sampling stations and the concentrations of the SWQPs were obtained from the Surface Water Quality Data Portal for Local Government and Environment in New Brunswick [47].
Rivers like Nashwaak, Saint John, Keswick, Oromocto, Big Presque, Tobique, Miramichi, Madawaska, and Aroostook were included in the original dataset, as shown in Figure 9. In the first dataset, sampling points were collected on 22 September 2015 and 29 September 2015. To diminish the temporal gap between ground measurements and satellite imagery, two Landsat 8 satellite images, captured on 6 September 2015 and 15 September 2015, were employed in this study, as represented in Figure 9.
Figure 9.
The 1st external dataset used to validate the established models.
Similarly, the second dataset, which included water sampling sites from the Salmon, Canaan, Buctouche, Richibucto, Lepreau, Hammond, Kennebecasis, and Croix rivers, is displayed in Figure 10. Water samples were collected on 28 April 2015 and 5 May 2015. Two additional Landsat 8 images were also used; they were taken on 4 June 2015 and 11 June 2015. Turbidity, TDS, DO, pH, EC, and temperature were measured in these water samples; however, TSS, TS, COD, and BOD values were not determined.
Figure 10.
The 2nd external dataset used to validate the established models.
For the two additional validation datasets, which were completely independent from the five field campaigns used to calibrate and internally test the BPNN models, the sampling dates and SWQPs in these portal datasets were fixed by the monitoring program; therefore, we subsequently matched them to the closest cloud-free Landsat 8 scenes that provided full spatial coverage of the corresponding rivers. Because of the 16-day revisit period and frequent cloud cover in the study area, the nearest suitable Landsat 8 acquisitions typically occurred 2–5 weeks before or after the in situ sampling dates. Consequently, the external validation results are based on data that were never seen during training but include an unavoidable temporal mismatch, which likely reduces apparent performance compared with ideal same-day image–sample pairs.
Levels of turbidity, TDS, DO, pH, EC, and temperature in the SJR and other water sources in New Brunswick were predicted utilizing the developed BPNN models. The expected results and the natural ground measurements were compared to assess the robustness and stability of the developed BPNN models.
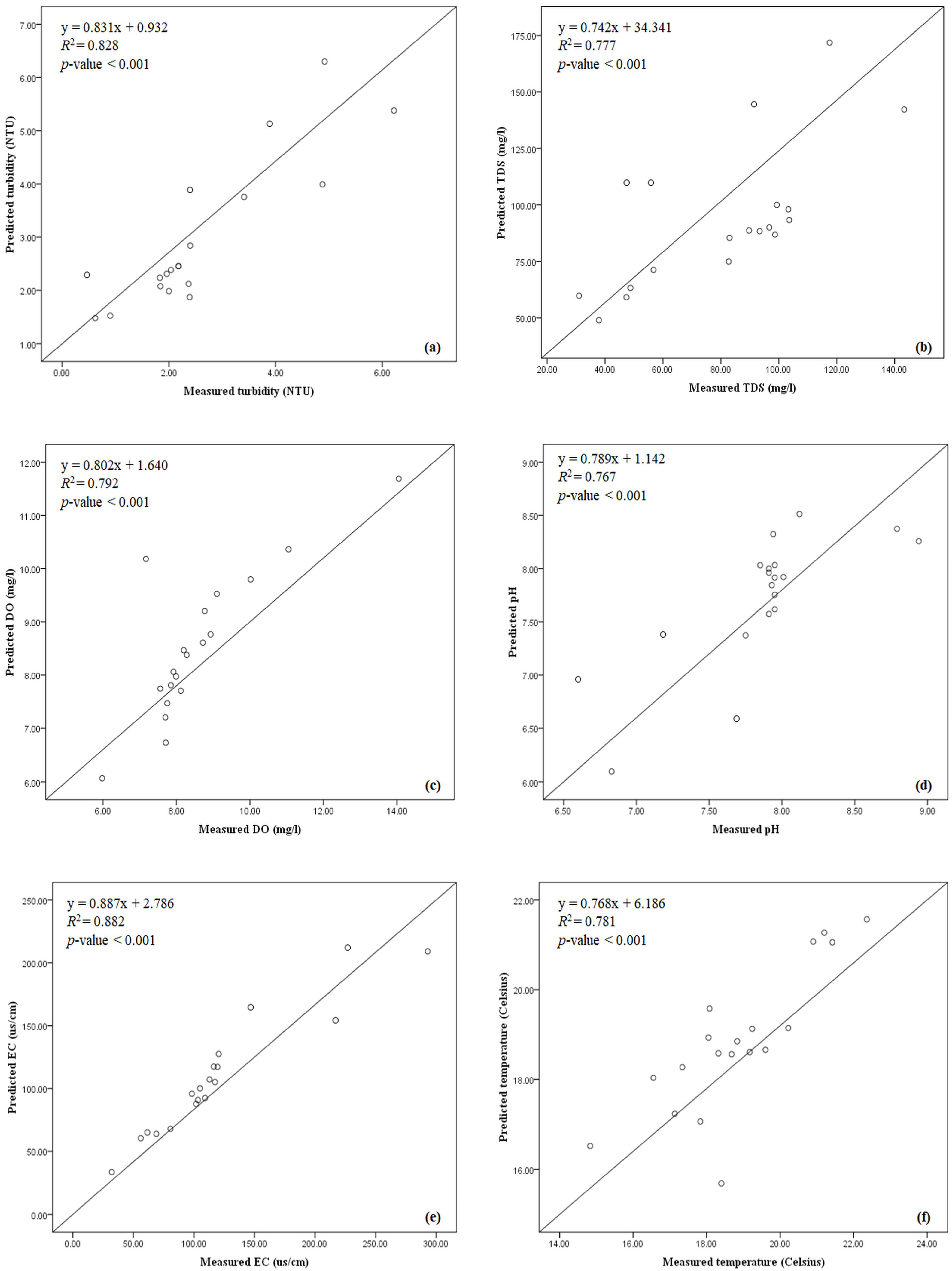
As explained in Figure 11, the generated models for the utilized SWQPs (turbidity, TDS, DO, pH, EC, and temperature) demonstrated vital permanence with R2 values of 0.828, 0.777, 0.792, 0.767, 0.882, and 0.781, respectively. However, due to the period of 2 to 3 weeks between ground truth data and Landsat 8 spectral bands, there was a potential increase in the impact of temporal differences, resulting in slightly lower performance (R2 ≥ 0.767) compared to samples collected concurrently with satellite overpasses (R2 ≥ 0.803).
Figure 11.
Measured versus predicted values of (a) turbidity, (b) TDS, (c) DO, (d) pH, (e) EC, and (f) temperature utilizing the first external (independent) dataset.
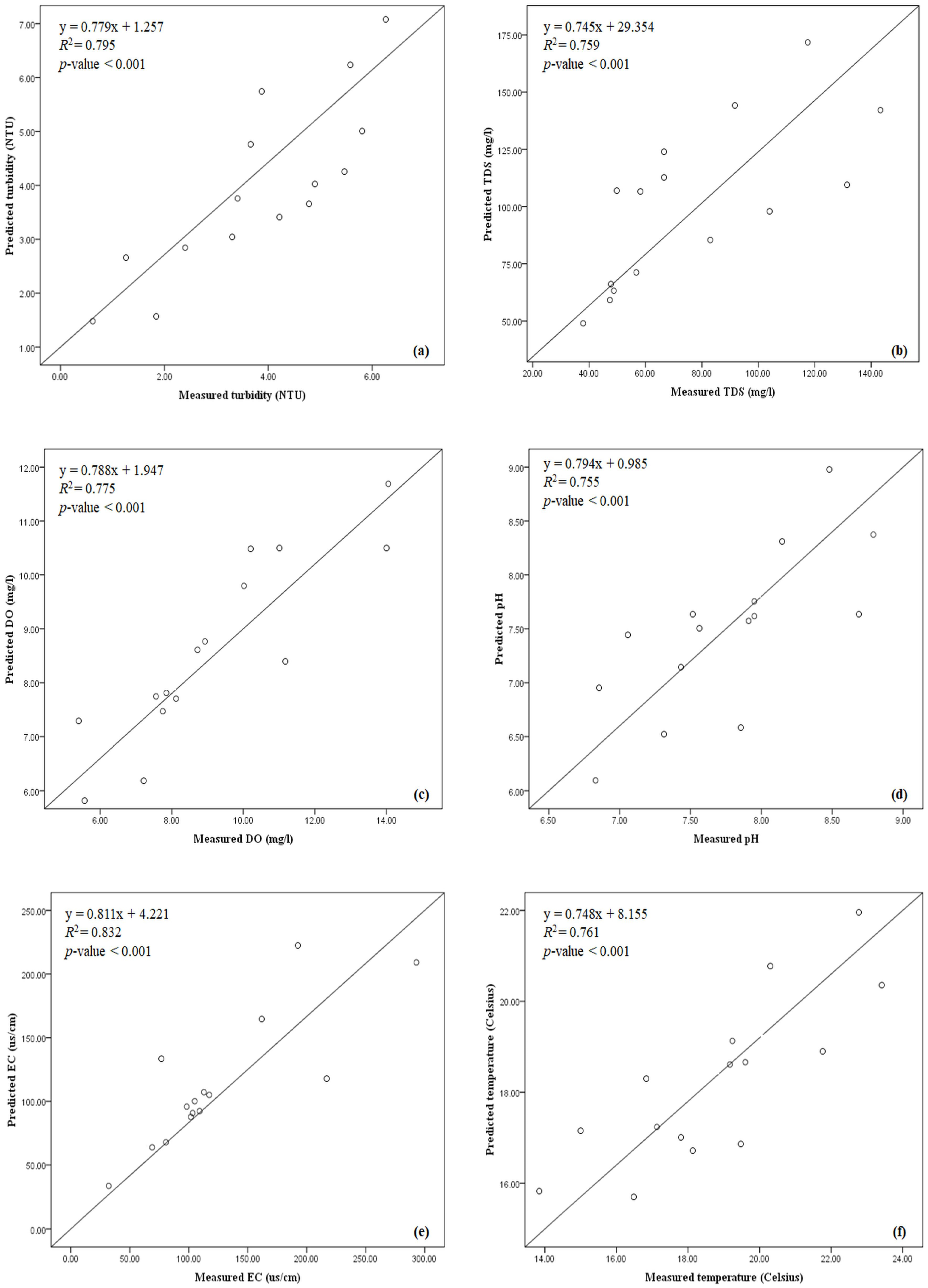
As illustrated in Figure 12, predicted findings might vary more than expected because the second dataset’s spectral data and ground truth were obtained roughly one month apart. The R2 values of 0.795, 0.759, 0.775, 0.755, 0.832, and 0.761 indicated the stability of the established models for turbidity, TDS, DO, pH, EC, and temperature. These results highlight the possibility of creating robust models to estimate different SWQP concentrations in New Brunswick water bodies without depending on water monitoring sites.
Figure 12.
Measured versus predicted values of (a) turbidity, (b) TDS, (c) DO, (d) pH, (e) EC, and (f) temperature utilizing the second external (independent) dataset.
The higher R2 values obtained for the internal test data compared to the two external datasets reflect the fact that the internal split samples are from the same river system and acquisition period used for model calibration, whereas the external datasets originate from distinct rivers with different hydrological and biogeochemical characteristics. In this sense, the external validation represents a partial domain-shift scenario, in which a decrease from internally calibrated R2 ≥ 0.80 to external R2 ≥ 0.75 is expected and indicates that the learned relationships retain substantial predictive power even under changed conditions, rather than signaling data leakage between training and validation subsets.
3.6. Benchmark Comparison Results
The performance of the BPNN was scientifically compared to benchmarking algorithms using identical data splits (75% training, 25% testing; n = 66 in situ samples × 9 Landsat 8 bands, Figure 4). Comparative models included: (i) multiple linear regression (MLR, MATLAB fitlm); (ii) support vector regression (SVR, MATLAB fitrsvm, radial basis function kernel, optimized regularization parameter C = 10, kernel scale parameter γ = 0.1 via 5-fold grid search); and (iii) random forest (RF, MATLAB TreeBagger, 100 trees, maximum tree depth = 10). BPNN substantially outperformed all baselines across the full SWQP suite (Table 4). The median R2 gains were +33% vs. MLR, +15% vs. SVR, and +6% vs. RF across all 10 SWQPs.
Table 4.
BPNN against baseline performance.
MLR showed the poorest performance due to unmodeled nonlinearities; SVR and RF captured moderate nonlinearity but lacked BPNN’s multi-band spectral integration capacity for both optical and non-optical parameters.
3.7. Spatio-Temporal Distribution of SWQP Concentrations
To create spatio-temporal concentration maps for the designated SWQPs, the developed BPNN models were fed surface reflectance from the Landsat 8 imagery of all water pixels in the scene. These results are shown in Figure 13. Based on the sample period, SWQP concentrations in the SJR showed a seasonal dependency. Within April and May (spring season), the concentrations were higher than samples taken in June, July, and August (summer season) because of snowmelt and rainfall, which led to soil erosion. Thus, pollutants and sediments were transported from agricultural and forested regions into the SJR.
Figure 13.
Spatio-temporal maps for (a) turbidity, (b) TSS, (c) TS, (d) TDS, (e) COD, (f) BOD, (g) DO, (h) pH, (i) EC, and (j) temperature utilizing the developed L8-BPNN-CCME-WQI framework.
The noticeable increase in TSS, TS, and TDS during April–May is consistent with the hydrological regime of the SJR, where snowmelt-driven runoff and spring rainfall lead to higher discharges, enhanced overland flow, and increased bank and soil erosion. Under these conditions, fine sediments and associated particulate and dissolved materials are mobilized from agricultural and forested slopes into the river network, producing the elevated suspended and dissolved loads captured in the spring images. In contrast, the lower concentrations observed in July–August correspond to reduced snowmelt contributions, lower mean flows, and more stable channel conditions, which limit sediment entrainment. The spatial patterns in Figure 13 are consistent with this runoff-driven mechanism. The results showed higher TSS, TS, and TDS at tributary confluences and in reaches draining steeper, more agricultural sub-basins.
Furthermore, because the SJR middle basin is considered an industrial zone with higher levels of organic waste, concentrations of both COD and BOD were greater than their counterparts in the lower river basin. Moreover, EC levels increase with temperature, showing that warmer water can maintain higher EC levels for longer periods than cooler water. Elevated EC readings may be markers for inorganic dissolved solids and minerals, which can lead to elevated water alkalinity (pH values).
To further examine the drivers of elevated organic loading, we analyzed the spatial correspondence between the predicted COD and BOD distributions and known industrial and agricultural sources along the middle basin. High-COD and high-BOD zones are consistently located downstream of the main paper and food processing facilities situated on the riverbanks and along reaches draining sub-catchments with higher proportions of agricultural land. This spatial co-occurrence supports the interpretation that effluent discharges and diffuse agricultural inputs are the primary contributors to the increased organic load in the middle reaches, rather than being solely a function of internal river processes. The lower basin, where industrial activity and agricultural land fraction are reduced, shows systematically lower COD/BOD levels, consistent with this attribution.
To quantify both industrial and agricultural impacts on SWQP concentrations, a statistically rigorous analysis is presented. Mean COD and BOD concentrations were significantly elevated in the middle basin industrial reach (above Mactaquac Dam) compared to the lower basin reach (below Mactaquac Dam): COD mean = 32.4 mg/L vs. 21.8 mg/L (percent increase = +48.6%, p < 0.001); BOD mean = 2.14 mg/L vs. 1.42 mg/L (percent increase = +50.7%, p < 0.001). Mean TSS concentrations increased 251% during spring snowmelt/runoff periods (April–May: 6.82 mg/L, p < 0.001) compared to summer baseflow conditions (July–August: 1.94 mg/L, p < 0.001), consistent with documented New Brunswick agricultural sediment transport patterns during snowmelt.
3.8. Determining Precise Surface Water Quality Levels
The SJR study region was split into two zones—the middle and lower basins (above and below the Mactaquac Dam, respectively)—to ensure accurate estimates of water quality levels via the CCME-WQI. Figure 14 shows that twenty-eight samples were gathered in the SJR lower basin during field trips 1 and 2. To accurately determine the water quality levels below the dam, 47,544 water pixels (obtained from the generated BPNN with R2 values exceeding 0.803) were inserted into the CCME-WQI as an input rather than depending only on 28 samples. Similarly, on field trips 3, 4, and 5, thirty-eight samples were accumulated above the dam. To accurately determine the water quality levels above the dam, 100,606 water pixels were input to the CCME-WQI instead of just 39 water samples.
Figure 14.
The master segments of the selected SJR study region.
The results of the CCME-WQI calculations demonstrated that pH, TS, and TDS values were within allowable bounds. However, the CCME and WHO standard thresholds for turbidity, TSS, COD, BOD, DO, EC, and temperature were exceeded. Below the Mactaquac Dam, the obtained CCME-WQI score was 67 (Fair), indicating that although water quality is generally protected, there may be sporadic threats or impairments. The surface water quality above the Mactaquac Dam was rated 59 (Marginal), indicating that it is frequently compromised or at risk. The lower basin, which has less industrial and agricultural activity than the area above the Mactaquac Dam, is able to sustain a higher level of water quality, which explains the difference in water quality levels between the SJR’s chosen sites.
Since the CCME-WQI is a deterministic function of SWQPs and guideline thresholds, its evaluation in this study is based on the demonstrated accuracy and stability of the underlying SWQP predictions (Section 3.4) and on the consistency between the resulting WQI levels and known patterns of anthropogenic pressure. The lower WQI (“Marginal”) in the middle basin coincides with higher frequencies and magnitudes of exceedances for COD, BOD, turbidity, TSS, and EC, and with the presence of paper and food processing industries and more intensive agriculture, whereas the “Fair” class in the lower basin reflects fewer exceedances and weaker pressure, indicating that the WQI fields are coherent with both the predicted SWQPs and independent knowledge of the system.
4. Discussion
The findings from this research highlight critical insights into the concentrations of SWQPs in the SJR, as well as the effectiveness of various atmospheric correction algorithms and water pixel extraction methods. The study’s results indicate significant spatial and temporal variations in water quality, which are influenced by both natural processes and anthropogenic activities.
The analysis of SWQP concentrations demonstrated significant spatio-temporal variations that can be mechanistically linked to both hydrological forcing and human activities. The middle basin persistently exhibits higher COD and BOD than the lower basin, and the new spatial overlay analysis shows that the strongest organic enrichment occurs downstream of major paper and food processing facilities and in reaches draining sub-catchments with higher agricultural land fractions. This pattern indicates that point-source effluents and diffuse agricultural inputs are the main drivers of organic loading in the middle Saint John River, rather than uniform basin-wide processes. Seasonally, elevated TSS, TS, and TDS in spring reflect snowmelt-driven runoff and higher flows that mobilize sediments and associated constituents from upland soils, whereas lower values in summer correspond to reduced discharge and sediment supply. Statistical analysis confirms industrial activities in the middle basin significantly elevate mean COD and BOD concentrations by 48.6% and 50.7%, respectively, compared to the lower basin reach, while spring agricultural runoff increases mean TSS concentrations by 251% compared to summer. These attributions demonstrate that the L8-BPNN-CCME-WQI framework can be used not only to map water quality status but also to identify pressure–state relationships relevant for targeted mitigation and management.
The comparative analysis of atmospheric correction algorithms demonstrated that FLAASH outperformed other methods, such as QUAC and ATCOR, in terms of accuracy, as indicated by higher R2 values and lower RMSE values. In the present framework, the USGS Landsat 8 Level 2 surface reflectance product was employed as an internal reference for assessing the relative behavior of three atmospheric correction algorithms, whereas FLAASH-corrected Level 1T data are used as the operational input to the BPNN. This choice reflects our objective to provide a fully specified preprocessing chain that begins with Level 1T imagery and can be transferred to other regions, archives, or sensors where standardized Level 2 products may not be available in the same manner. At the same time, the close agreement between FLAASH and Level 2 over the study area suggests that, in practical applications where high-quality Level 2 products are readily available for all required scenes, the BPNN component of the L8-BPNN-CCME-WQI framework could be driven directly by Level 2 surface reflectance without an explicit re-correction step. A systematic head-to-head comparison of BPNN performance using Level 2 and FLAASH inputs constitutes an important direction for future work to quantify any incremental benefit of the explicit atmospheric correction stage.
The evaluation of various water pixel extraction techniques revealed that while NDWI and NDVI masks misclassified significant land use areas as water, MNDWI provided a more accurate representation by correctly identifying all water bodies, albeit with some misclassifications. The K-means classification method yielded the most accurate water mask, which was further refined manually to enhance boundary delineation. This process underscores the importance of selecting appropriate methodologies for water pixel extraction to ensure accurate modeling of SWQPs.
The developed BPNN models demonstrated strong predictive capabilities for estimating SWQP concentrations based on Landsat 8 spectral bands. Beyond the internal train–test split, two independent surface water quality datasets collected on different dates and from other rivers across New Brunswick were used to further verify model stability and spatial transfer within the province (Figure 9 and Figure 10). These datasets were not involved in model training and therefore provide an additional, external validation of the L8-BPNN models. High R2 values during both training and testing phases indicate that the models effectively captured complex relationships between satellite data and water quality parameters. The ability of BPNN to model nonlinear relationships without prior knowledge of these connections is a significant advantage over traditional statistical methods. The evolution of training and testing RMSE with epoch (Figure 8) showed typical behavior in which test error decreases to a minimum and then increases when training is prolonged. To mitigate this, we employed early stopping based on the minimum testing RMSE, selecting the corresponding epoch as the “best epoch” and discarding later iterations with higher testing error. This strategy acts as an implicit regularization mechanism and ensures that the reported model performance reflects the point of optimal generalization rather than the final training epoch.
Further validation using external datasets from various rivers in New Brunswick confirmed the robustness of the BPNN models. Although temporal discrepancies between ground truth data and satellite imagery slightly affected performance, the models still exhibited robust predictive capabilities. This suggests that the BPNN can serve as a reliable tool for estimating SWQP concentrations across different water bodies without relying solely on extensive monitoring sites.
From a generalization perspective, the gap between the strong internal performance (with training/test R2 frequently exceeding 0.80) and the robust external validation scores (R2 frequently exceeding 0.75) reflects the increased difficulty of predicting SWQPs in rivers whose optical and biogeochemical regimes differ from those used for calibration, rather than overfitting to the internal datasets. The external rivers were not used at any stage of model training or tuning and therefore constitute a conservative validation of the L8-BPNN-CCME-WQI models under partial domain shift. In future work, more conservative strategies such as k-fold cross-validation at the station or reach level, leave-one-date-out schemes, or explicit domain-adaptation methods could be adopted to further quantify and, where possible, reduce the sensitivity of model performance to differences in watershed characteristics and temporal sampling between calibration and application sites.
Systematic comparison against MLR, SVR, and RF baselines (Section 3.6, Table 4) confirmed the BPNN as the optimal algorithm for L8-BPNN-CCME-WQI, with median R2 gains of +33%, +15%, and +6% over MLR, SVR, and RF, respectively. This superiority stems from BPNN’s capacity to integrate multi-band spectral information through distributed nonlinear representations, which is critical for retrieving non-optical SWQPs via indirect turbidity–organic–temperature couplings characteristic of the SJR conditions. These results establish a robust foundation for operational deployment while confirming methodological rigor beyond empirical performance alone.
An important methodological consideration is the retrieval of parameters such as DO, BOD, COD, EC, and pH, which lack strong intrinsic optical signatures in broadband visible–NIR reflectance. In this study, the physically meaningful correlations between these variables and optically active constituents, together with temperature, provide the basis for their indirect estimation. The band-wise sensitivity analysis confirms that the BPNN exploits spectral regions consistent with suspended and dissolved matter and thermal structure, rather than arbitrary scene effects. Therefore, the L8-BPNN component should be interpreted as learning coupled hydro-biogeochemical patterns specific to the SJR and New Brunswick rivers during the study period. Application to other systems is appropriate only where similar combinations between non-optical SWQPs and optically active constituents are independently verified.
The spatio-temporal maps generated from the BPNN models revealed seasonal patterns in SWQP concentrations, with higher levels observed during spring due to runoff from melting snow and rainfall. The findings also highlighted elevated levels of EC associated with increased temperatures, indicating potential implications for water quality management in warmer months.
The CCME-WQI calculated from these parameters serves as an essential tool for assessing overall water quality. The observed variations in water quality levels across different seasons underscore the need for continuous monitoring to capture these dynamics accurately. In our implementation, the CCME-WQI is applied to a spatial ensemble of pixels within each river segment, rather than exclusively to temporal sequences at fixed monitoring stations. Each pixel–fSWQP pair is treated as a test against the relevant guideline, and the index aggregates the proportion and magnitude of exceedances across all water pixels, yielding a single spatially integrated value for the reach at the time of image acquisition. This spatial adaptation is consistent with the flexible design of the CCME-WQI framework, which was developed to summarize ambient water quality conditions relative to guidelines and has been used for both temporal trend analysis and spatial discrimination between sites. Nevertheless, it is important to interpret the resulting CCME-WQI scores as synoptic, spatially averaged indicators of reach-scale status at specific dates, rather than as substitutes for long-term, time-based indices at individual stations. In management applications, the spatially derived CCME-WQI should therefore complement, rather than replace, conventional station-based monitoring. This study’s findings suggest that implementing a robust framework could enhance water quality management efforts in the SJR and similar aquatic systems.
The spatial and seasonal patterns revealed by the L8-BPNN-CCME framework have direct implications for how the SJR should be monitored and managed. While the preceding sections focused on methodological performance and physical interpretation of the mapped SWQPs and CCME-WQI classes, it is equally important to translate these findings into concrete guidance for practitioners responsible for water quality protection. In the following subsection, we outline how the identified “Marginal” and “Fair” reaches, together with the SWQP hotspot patterns, can be used to prioritize interventions and to optimize the design of in situ monitoring programs at the basin scale.
Implications for Water Resources Management
The spatially explicit CCME-WQI maps derived from the L8-BPNN-CCME framework provide actionable information for prioritizing management interventions along the Saint John River. In particular, the middle basin upstream of the Mactaquac Dam, consistently classified as “Marginal” (CCME-WQI ≈ 59), contains several sub-reaches where COD, BOD, and TSS hotspots coincide with (i) the vicinity of paper and food processing industries located on the riverbanks and (ii) tributary inflows draining sub-catchments with higher proportions of agricultural land. These segments represent priority reaches where targeted pollution control measures are likely to yield the greatest improvement in overall river status.
From a management perspective, three types of actions are suggested by the mapped patterns. First, reach-scale hotspots immediately downstream of industrial facilities can be used to support focused audits of effluent treatment performance and compliance with discharge permits, with the expectation that improved treatment or tighter effluent limits would directly reduce local organic loading (COD/BOD) and associated CCME-WQI excursions. Second, in sub-catchments where elevated TSS and TDS are aligned with agricultural tributaries during the spring snowmelt period, the maps point to priority areas for implementing best management practices, such as riparian buffer strips, cover crops, and erosion control measures, to reduce sediment and nutrient export during high-runoff events. Third, segments exhibiting persistent high TSS and bank-proximal turbidity plumes suggest locations where bank stabilization or riparian restoration could decrease chronic sediment inputs.
The high-resolution nature of the CCME-WQI and SWQP maps also provides a basis for optimizing in situ monitoring design. Instead of distributing limited sampling stations uniformly along the river, managers can place additional stations at (a) transitions between “Fair” and “Marginal” reaches, (b) downstream of major industrial facilities, and (c) key agricultural tributary confluences identified from the maps. This targeted design could increase the sensitivity of the monitoring network to detect changes resulting from specific interventions (e.g., upgraded wastewater treatment, adoption of best management practices) while maintaining a reduced number of stations. Because the L8-BPNN-CCME-WQI framework can be repeatedly applied to new Landsat acquisitions, it can be used to track spatial shifts in CCME-WQI classes over time and thus provide a quantitative, map-based means to evaluate whether implemented measures lead to measurable improvements in water quality at the reach scale.
From an operational perspective, the transferable contribution of this research is the integrated L8-BPNN-CCME-WQI framework, rather than the specific numerical models calibrated for the Saint John River and New Brunswick rivers. In other watersheds, the same processing chain (satellite preprocessing and atmospheric correction selection, water pixel extraction, BPNN training using local in situ SWQPs, and subsequent CCME-WQI computation) can be re-implemented to derive system-specific models that respect local optical properties and water quality regimes. The models presented here should, therefore, be viewed as a regionally calibrated realization of a general framework, not as universally applicable equations.
Overall, this study contributes valuable insights into water quality dynamics in the SJR while demonstrating the effectiveness of integrating satellite data, WQIs, and machine learning approaches (L8-BPNN-CCME-WQI) for environmental monitoring. An additional contribution of this work is the use of multi-date, multi-river datasets and pixel-wise CCME-WQI computation, which enhances the representativeness of the derived water quality indicators beyond what is possible with sparse station-based measurements alone.
Future research should focus on refining these models further and exploring their applicability in other regions and periods to enhance our understanding of surface water quality across diverse ecosystems. Moreover, future work could involve testing alternative machine learning models to enhance robustness. Furthermore, in future applications of this framework with larger datasets, more conservative validation strategies should be adopted to further reduce potential spatio-temporal dependence between training and testing data. Grouped splitting by image acquisition date is recommended so that all samples from a given satellite scene are consistently assigned to a single subset, thereby avoiding any shared scene-level atmospheric or radiometric conditions between calibration and evaluation. Such scene-level validation schemes typically yield more realistic estimates of operational performance and are particularly important when neighboring samples within a river reach or time window exhibit strong spatial and temporal correlation.
5. Conclusions
This study developed and evaluated an integrated L8-BPNN-CCME-WQI framework for mapping multiple surface water quality parameters (SWQPs) and deriving reach-scale water quality levels/classes over the Saint John River (SJR), New Brunswick, Canada. Using atmospherically corrected Landsat 8 reflectance and the backpropagation neural network, we achieved high predictive performance for turbidity, TSS, TS, TDS, COD, BOD, DO, pH, EC, and temperature, with R2 values ≥ 0.80.
By applying the CCME-WQI formulation to pixel-wise SWQP predictions, we generated synoptic classes of water quality status, showing that the lower basin of the Saint John River is typically classified as “Fair” (CCME-WQI ≈ 67), whereas the middle basin upstream of the Mactaquac Dam is “Marginal” (≈59), consistent with higher organic loading, industrial activity, and agricultural land fraction in the middle reach. The spatio-temporal patterns of TSS, TS, and TDS indicate strong seasonal control by snowmelt-driven runoff and spring discharge peaks, while COD and BOD hotspots align with reaches downstream of paper and food processing facilities and agricultural tributaries, linking modeled patterns to specific anthropogenic and hydrological drivers.
These results demonstrate that the proposed framework can convert multi-parameter satellite information into operationally relevant CCME-WQI levels that support targeted management actions, such as prioritizing industrial effluent control and agricultural best management practices in degraded sub-reaches, and optimizing in situ monitoring locations at transitions between “Fair” and “Marginal” segments. The methodology is general and can be transferred to other river systems by calibrating the BPNN with local SWQPs and guidelines while retaining the same processing chain from image preprocessing to index computation. Future work should extend the framework to more recent monitoring periods, incorporate additional water quality indicators where data permit, and adopt more conservative validation schemes (e.g., scene-grouped or scene-wise cross-validation) as larger datasets become available to further strengthen temporal and spatial generalization.
Author Contributions
Conceptualization, E.S.E.D. and A.S.; methodology, E.S.E.D. and A.S.; software, E.S.E.D.; validation, E.S.E.D.; formal analysis, E.S.E.D. and A.S.; investigation, E.S.E.D. and A.S.; resources, E.S.E.D.; data curation, E.S.E.D.; writing—original draft preparation, E.S.E.D.; writing—review and editing, E.S.E.D. and A.S.; visualization, E.S.E.D. and A.S.; supervision, E.S.E.D. and A.S.; project administration, E.S.E.D. and A.S.; funding acquisition, E.S.E.D. All authors have read and agreed to the published version of the manuscript.
Funding
This research was funded by the Egyptian Ministry of Higher Education, represented by the Egyptian Bureau for Cultural and Educational Affairs in Canada, as well as the Remote Sensing Innovation Lab (RSIL) at TMU, Canada.
Data Availability Statement
The Landsat 8 satellite imagery presented in this study is openly available on the USGS official website, https://earthexplorer.usgs.gov/ (accessed on 20 July 2025).
Acknowledgments
The authors wish to thank the USGS for supplying the Landsat 8 satellite data. Moreover, gratitude is extended to Katy Haralampides and Dennis Connor for their assistance with field data collection, water sampling, and experimental analysis. Furthermore, acknowledgment is due to the anonymous reviewers for their insightful feedback and constructive recommendations that contributed to enhancing this manuscript. GenAI was not used for any aspect of the data analysis or writing process.
Conflicts of Interest
The authors declare no conflicts of interest.
References
- Ejiohuo, O.; Onyeaka, H.; Akinsemolu, A.; Nwabor, O.F.; Siyanbola, K.F.; Tamasiga, P.; Al-Sharify, Z.T. Ensuring water purity: Mitigating environmental risks and safeguarding human health. Water Biol. Secur. 2025, 4, 100341. [Google Scholar] [CrossRef]
- Lu, J.; Gu, J.; Han, J.; Xu, J.; Liu, Y.; Jiang, G.; Zhang, Y. Evaluation of Spatiotemporal Patterns and Water Quality Conditions Using Multivariate Statistical Analysis in the Yangtze River, China. Water 2023, 15, 3242. [Google Scholar] [CrossRef]
- Olomukoro, J.O.; Obi-Obueze, N.O.; Eko-Imirianye, R.; Anani, O.A.; Obot, V. Water quality evaluation using physicochemical and biological indices to characterize the integrity of the Orogodo River in sub-Saharan Africa. Front. Environ. Chem. 2022, 3, 961369. [Google Scholar] [CrossRef]
- Adjovu, G.E.; Stephen, H.; James, D.; Ahmad, S. Measurement of Total Dissolved Solids and Total Suspended Solids in Water Systems: A Review of the Issues, Conventional, and Remote Sensing Techniques. Remote Sens. 2023, 15, 3534. [Google Scholar] [CrossRef]
- Sri Dhivya Krishnan, K.; Prabhakaran, A.; Danesh, K.; Dinesh Kumar, E.; Saai Srivathsan, R.; Sachin, M.P. Water Quality Parameters Modeling of Thamirabarani River. In Proceedings of the International Conference on Signal Processing, Computation, Electronics, Power and Telecommunication (IConSCEPT), Karaikal, India, 4–5 July 2024. [Google Scholar] [CrossRef]
- Sharaf El Din, E.; Zhang, Y. Neural Network Modelling of the Saint John River Sediments and Dissolved Oxygen Content from Landsat OLI Imagery. In Proceedings of the ASPRS Annual Conference 2017: Imaging & Geospatial Technology Forum (IGTF), Baltimore, MA, USA, 11–17 March 2017. [Google Scholar]
- Kaplan, G.; Yalcinkaya, F.; Altıok, E.; Pietrelli, A.; Nastro, R.A.; Lovecchio, N.; Ieropoulos, I.A.; Tsipa, A. The role of remote sensing in the evolution of water pollution detection and monitoring: A comprehensive review. Phys. Chem. Earth Parts A/B/C 2024, 136, 103712. [Google Scholar] [CrossRef]
- Jiang, D.; Matsushita, B.; Pahlevan, N.; Gurlin, D.; Fichot, C.G.; Harringmeyer, J.; Sent, G.; Brito, A.C.; Brotas, V.; Werther, M.; et al. Estimating the concentration of total suspended solids in inland and coastal waters from Sentinel-2 MSI: A semi-analytical approach. ISPRS J. Photogramm. Remote Sens. 2023, 204, 362–377. [Google Scholar] [CrossRef]
- Sharaf El Din, E.; Zhang, Y.; Suliman, A. Mapping concentrations of surface water quality parameters using a novel remote sensing and artificial intelligence framework. Int. J. Remote Sens. 2017, 38, 1023–1042. [Google Scholar] [CrossRef]
- Abdelmalik, K.W. Role of statistical remote sensing for Inland water quality parameters prediction. Egypt. J. Remote Sens. Space Sci. 2018, 21, 193–200. [Google Scholar] [CrossRef]
- Boucher, J.; Weathers, K.C.; Norouzi, H.; Steele, B. Assessing the effectiveness of Landsat 8 chlorophyll a retrieval algorithms for regional freshwater monitoring. Ecol. Appl. 2018, 28, 1044–1054. [Google Scholar] [CrossRef] [PubMed]
- Özelkan, E. Water body detection analysis using NDWI indices derived from landsat-8 OLI. Pol. J. Environ. Stud. 2020, 29, 1759–1769. [Google Scholar] [CrossRef]
- Mansaray, A.S.; Dzialowski, A.R.; Martin, M.E.; Wagner, K.L.; Gholizadeh, H.; Stoodley, S.H. Comparing planetscope to landsat-8 and sentinel-2 for sensing water quality in reservoirs in agricultural watersheds. Remote Sens. 2021, 13, 1847. [Google Scholar] [CrossRef]
- Mohammed, A.K.; Mahran, N.B. Environmental studies on phytoplankton diversity in drainage water of main drains in Eastern Delta, case study. Egypt. J. Aquat. Res. 2021, 48, 211–216. [Google Scholar] [CrossRef]
- El Ouali, A.; El Hafyani, M.; Roubil, A.; Lahrach, A.; Essahlaoui, A.; Hamid, F.E.; Muzirafuti, A.; Paraforos, D.S.; Lanza, S.; Randazzo, G. Modeling and spatiotemporal mapping of water quality through remote sensing techniques: A Case Study of the Hassan Addakhil Dam. Appl. Sci. 2021, 11, 9297. [Google Scholar] [CrossRef]
- Omambia, A.; Maake, B.; Wambua, A.W. Water Quality Monitoring Using IoT & Machine Learning. Int. J. IoT Appl. Agric. 2022, 8, 65–78. [Google Scholar]
- Doyun, K.; KyoungJin, L.; SeungMyeong, J.; MinSeok, S.; ByeoungJun, K.; Jungsu, P.; Tae-Young, H. Real-time chlorophyll-a forecasting using machine learning framework with dimension reduction and hyperspectral data. Environ. Res. 2024, 262, 119823. [Google Scholar] [CrossRef]
- Jamal Jumaah, H.; Adnan Rashid, A.; Abdul Razzaq Saleh, S.; Jamal Jumaah, S. Deep Neural Remote Sensing and Sentinel-2 Satellite Image Processing of Kirkuk City, Iraq for Sustainable Prospective. J. Opt. Photonics Res. 2024, 2, 172–180. [Google Scholar] [CrossRef]
- Naufal, C.; Solano-Correa, Y.T.; Marrugo, A.G. Time series water body analysis through planet satellite imagery: A coastal urban case study. In Geospatial Informatics XIV; SPIE: Bellingham, WA, USA, 2024. [Google Scholar] [CrossRef]
- Sharaf El Din, E. Application of Fuzzy Logic to Satellite Reflectance for Precise Water Quality Management in the Saint John River, Canada: A Novel Approach. J. Indian Soc. Remote. Sens. 2025. [Google Scholar] [CrossRef]
- Wang, Z.; Wang, Q.; Liu, Z.; Wu, T. A deep learning interpretable model for river dissolved oxygen multi-step and interval prediction based on multi-source data fusion. J. Hydrol. 2024, 629, 130637. [Google Scholar] [CrossRef]
- Yao, Z.; Wang, Z.; Huang, J.; Xu, N.; Cui, X.; Wu, T. Interpretable prediction, classification and regulation of water quality: A case study of Poyang Lake, China. Sci. Total Environ. 2024, 951, 175407. [Google Scholar] [CrossRef]
- El Azhari, H.; Cherif, E.; Sarti, O.; Azzirgue, E.; Dakak, H.; Yachou, H.; Da Silva, J.; Salmoun, F. Assessment of Surface Water Quality Using the Water Quality Index (IWQ), Multivariate Statistical Analysis (MSA) and Geographic Information System (GIS) in Oued Laou Mediterranean Watershed, Morocco. Europ. Water 2022, 15, 130. [Google Scholar] [CrossRef]
- Maansi, J.R.; Wats, M. Evaluation of surface water quality using water quality indices (WQIs) in Lake Sukhna, Chandigarh, India. Appl. Water Sci. 2022, 12, 2. [Google Scholar] [CrossRef]
- Yan, T.; Shen, S.; Zhou, A. Indices and models of surface water quality assessment: Review and perspectives. Environ. Pollut. 2022, 38, 119611. [Google Scholar] [CrossRef]
- Chidiac, S.; El Najjar, P.; Ouaini, N.; El Rayess, Y.; El Azzi, D. A comprehensive review of water quality indices (WQIs): History, models, attempts and perspectives. Rev. Environ. Sci. Biotechnol. 2023, 22, 349–395. [Google Scholar] [CrossRef]
- Bagherian, K.; Fernández-Figueroa, E.G.; Rogers, S.R.; Wilson, A.E.; Bao, Y. Predicting Chlorophyll-a Concentration and Harmful Algal Blooms in Lake Okeechobee Using Time-Series MODIS Satellite Imagery and Long Short-Term Memory. J. ASABE 2024, 67, 1191–1202. [Google Scholar] [CrossRef]
- CCME. Canadian Water Quality Index 1.0 Technical Report and User’s Manual; Canadian Environmental Quality Guidelines Water Quality Index Technical Subcommittee: Gatineau, QC, Canada, 2001.
- Anastasopoulos, P.; Acratos, C. A Review on Water Quality Indices. Hydroecol. Eng. 2025, 2, 10003. [Google Scholar] [CrossRef]
- Modiegi, M.; Rampedi, I.T.; Tesfamichael, S.G. Comparison of multi-source satellite data for quantifying water quality parameters in a mining environment. J. Hydrol. 2020, 591, 125322. [Google Scholar] [CrossRef]
- Oiry, S.; Barillé, L. Using sentinel-2 satellite imagery to develop microphytobenthos-based water quality indices in estuaries. Ecol. Indic. 2021, 121, 107184. [Google Scholar] [CrossRef]
- Sargaonkar, A.; Deshpande, V. Development of an Overall Index of Pollution for Surface Water Based on a General Classification Scheme in Indian Context. Environ. Monit. Assess. 2003, 89, 43–67. [Google Scholar] [CrossRef] [PubMed]
- Lumb, A.; Halliwell, D.; Sharma, T. Application of CCME Water Quality Index to Monitor Water Quality: A Case of the Mackenzie River Basin, Canada. Environ. Monit. Assess. 2006, 113, 411–429. [Google Scholar] [CrossRef] [PubMed]
- Rosemond, S.; Duro, D.C.; Dubé, M. Comparative Analysis of Regional Water Quality in Canada Using the Water Quality Index. Environ. Monit. Assess. 2009, 156, 223–240. [Google Scholar] [CrossRef]
- Arseneault, D. The Road to Canada—Nomination Document for the St. John River, New Brunswick; with the Support of the New Brunswick Department of Natural Resources; The St. John River Society: Fredericton, NB, Canada, 2008. [Google Scholar]
- Roy, D.P.; Wulder, M.; Loveland, T.R.; Zhu, Z. Landsat-8: Science and product vision for terrestrial global change research. Remote Sens. Environ. 2014, 145, 154–172. [Google Scholar] [CrossRef]
- Earth Explorer. Retrieved from U.S. Geological Survey. 2016. Available online: http://earthexplorer.usgs.gov/ (accessed on 20 July 2025).
- Sharaf El Din, E. A novel approach for surface water quality modelling based on Landsat-8 tasselled cap transformation. Int. J. Remote Sens. 2020, 41, 7186–7201. [Google Scholar] [CrossRef]
- APHA. Standards Methods for the Examination of Water and Wastewater, 21st ed.; American Public Health Association: Washington, DC, USA, 2005. [Google Scholar]
- Huang, C.; Zou, J.; Li, Y.; Yang, H.; Shi, K.; Li, J.; Wang, Y.; Chena, X.; Zheng, F. Assessment of NIR-red algorithms for observation of chlorophyll-a in highly turbid inland waters in China. ISPRS J. Photogramm. Remote Sens. 2014, 93, 29–39. [Google Scholar] [CrossRef]
- Bunkei, M.; Wei, Y.; Gongliang, Y.; Youichi, O.; Kazuya, Y.; Takehiko, F. A hybrid algorithm for estimating the chlorophyll-a concentration across different trophic states in Asian inland waters. ISPRS J. Photogramm. Remote Sens. 2015, 102, 28–37. [Google Scholar]
- He, J.; Wang, C.; Han, Y.; Zhang, W.; Wang, X.; Li, Y.; Guo, L. Wetland mapping in the Liaohe River Estuary using multi-source remote sensing image feature selection. Int. J. Remote Sens. 2024, 45, 6624–6650. [Google Scholar] [CrossRef]
- Zhang, Y.Z.; Pulliainen, J.T.; Koponen, S.S.; Hallikainen, M.T. Application of an empirical neural network to surface water quality estimation in the Gulf of Finland using combined optical data and microwave data. Remote Sens. Environ. 2002, 81, 327–336. [Google Scholar] [CrossRef]
- Kim, H.; Kim, D.; Mahdian, M.; Salamattalab, M.; Bateni, S.; Roohollah, N. Incorporation of water quality index models with machine learning-based techniques for real-time assessment of aquatic ecosystems. Environ. Pollut. 2024, 355, 124242. [Google Scholar] [CrossRef]
- Hinton, E.G. How neural networks learn from experience. Sci. Am. 1992, 267, 144–151. [Google Scholar] [CrossRef]
- Khan, A.A.; Paterson, R.; Khan, H. Modification and Application of the Canadian Council of Ministers of the Environment Water Quality Index (CCMEWQI) for the Communication of Drinking Water Quality Data in Newfoundland and Labrador. Water Quality Res. J. Can. 2004, 39, 285–293. [Google Scholar] [CrossRef]
- Water Quality Data Portal—Lakes and Rivers. Available online: https://geonb.snb.ca/lakesandrivers/Portal.html (accessed on 15 August 2025).
Disclaimer/Publisher’s Note: The statements, opinions and data contained in all publications are solely those of the individual author(s) and contributor(s) and not of MDPI and/or the editor(s). MDPI and/or the editor(s) disclaim responsibility for any injury to people or property resulting from any ideas, methods, instructions or products referred to in the content. |
© 2026 by the authors. Licensee MDPI, Basel, Switzerland. This article is an open access article distributed under the terms and conditions of the Creative Commons Attribution (CC BY) license.













