Integrating Water Evaluation and Planning Modeling into Integrated Water Resource Management: Assessing Climate Change Impacts on Future Surface Water Supply in the Irawan Watershed of Puerto Princesa, Philippines
Abstract
1. Introduction
2. Materials and Methods
2.1. Study Area
2.2. WEAP Modeling in Irawan Watershed
2.2.1. Model Description
2.2.2. Model Set-Up
2.2.3. Model Calibration and Validation
2.3. Scenario Development
2.3.1. Climate Scenario
Quantile Mapping Bias Correction of Meteorological Projections
2.3.2. Water Demand Scenario
2.3.3. Population Growth Scenario
2.3.4. Agricultural Decline Scenario
2.3.5. Combined Future Pathways
2.4. Development of IWRM Plan
3. Results and Discussions
3.1. Model Calibration and Validation
3.2. Climate Change and Streamflow Projections
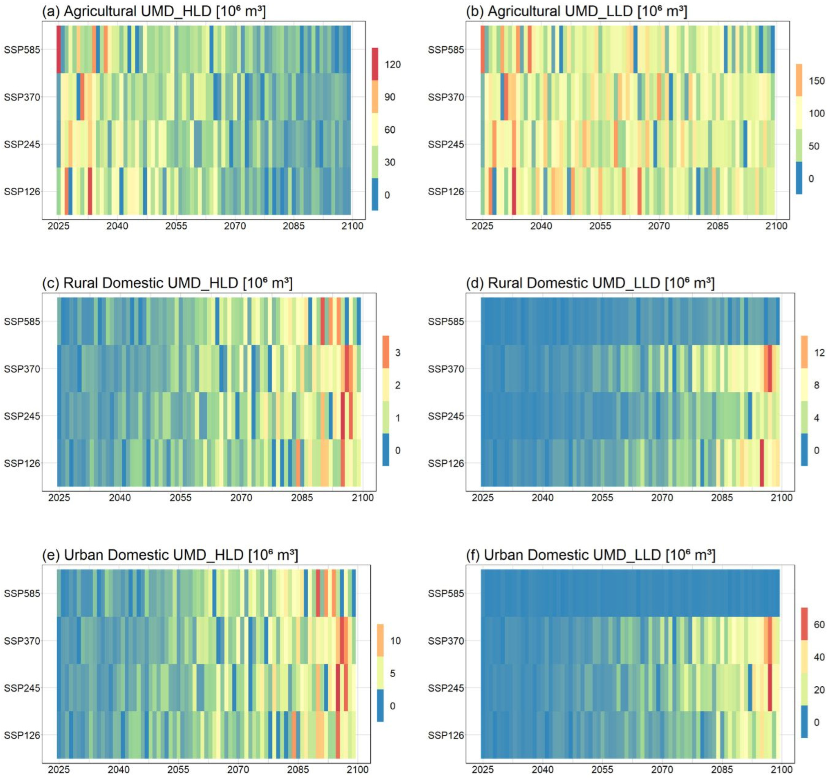
3.3. Socioeconomic Scenarios
3.4. Water Supply and Demand Under Various Scenarios
3.5. Effects of Changing Climate on the Water Balance
3.6. Integrated Water Resource Management (IWRM) Plan for the Irawan Watershed
- To manage water resources sustainably to fulfill the demands of current and coming generations;
- To increase the effectiveness of water use across all sectors;
- To preserve and rebuild natural ecosystems to sustain biodiversity and water quality;
- To create robust infrastructure to mitigate the effects of climate change;
- To improve governance and institutional capability for efficient water management.
3.6.1. Hydrological Modeling Results
3.6.2. Proposed Management Strategies
- Water Efficiency and Conservation
- Promote water-saving technologies in agriculture and urban areas;
- Implement public education campaigns on water conservation.
- Ecosystem Protection and Restoration
- Establish riparian buffer zones and protect wetlands;
- Implement reforestation and afforestation projects.
- Infrastructure Development
- Construct and maintain reservoirs and dams for water storage;
- Promote rainwater harvesting systems.
- Climate Adaptation
- Develop climate-resilient infrastructure;
- Establish a hydrological monitoring and forecasting system.
- Sustainable Land Use
- Implement zoning regulations to protect critical watershed areas;
- Encourage sustainable agricultural practices.
- Institutional Strengthening
- Provide capacity building for local institutions and communities;
- Develop and enforce supportive policies and legislation.
3.6.3. Implementation Plan
4. Conclusions
Supplementary Materials
Author Contributions
Funding
Data Availability Statement
Acknowledgments
Conflicts of Interest
References
- Chuma, G.B.; Mondo, J.M.; Wellens, J.; Majaliwa, J.M.; Egeru, A.; Bagula, E.M.; Lucungu, P.B.; Kahindo, C.; Mushagalusa, G.N.; Karume, K.; et al. Effectiveness of wetlands as reservoirs for integrated water resource management in the Ruzizi plain based on water evaluation and planning (WEAP) approach for a climate-resilient future in eastern D.R. Congo. Sci. Rep. 2024, 14, 21577. [Google Scholar] [CrossRef] [PubMed]
- Gemechu, Y.T.; Goshime, D.W.; Bushira, K.M.; Asnake, A.B. Modeling of surface water allocation under current and future climate change in Keleta Catchment, Awash River Basin, Ethiopia. Sustain. Water Resour. Manag. 2024, 10, 176. [Google Scholar] [CrossRef]
- Zhang, Y.; Jiang, Y.; Wei, T.; Wang, Y.; Liu, Y.; Xu, L.; He, J.; Wang, X. A quantitative analysis framework for analyzing impacts of climate change on water-food-energy-ecosystem nexus in irrigation areas based on WEAP-MODFLOW. J. Clean. Prod. 2024, 470, 143315. [Google Scholar] [CrossRef]
- Mayar, M.A.; Hamidov, A.; Akramkhanov, A.; Helming, K. Consideration of the Environment in Water-Energy-Food Nexus Research in the Aral Sea Basin. Water 2024, 16, 658. [Google Scholar] [CrossRef]
- IPCC. Climate Change 2021: The Physical Science Basis. 9 August 2021. Available online: https://www.ipcc.ch/report/sixth-assessment-report-working-group-i/ (accessed on 6 June 2024).
- UNESCO. UN World Water Development Report 2020: Water and Climate Change; UNESCO: Paris, France, 2020. [Google Scholar]
- Asian Development Bank. Asian Water Development Outlook 2020; Asian Development Bank: Mandaluyong, Philippines, 2020; p. 156. [Google Scholar]
- Sakthivadivel, A.K.R.; Seckler, D. Water Scarcity and the Role of Storage in Development; International Water Management Institute: Colombo, Sri Lanka, 2000. [Google Scholar]
- Mancosu, N.; Snyder, R.L.; Kyriakakis, G.; Spano, D. Water Scarcity and Future Challenges for Food Production. Water 2015, 7, 975–992. [Google Scholar] [CrossRef]
- Department of Environment and Natural Resources; Forest Management Bureau. Watershed Characterization and Vulnerability Assessment Using Geographic Information System and Remote Sensing, 1st ed.; Forest Management Bureau: Quezon City, Philippines, 2011; p. 199.
- National Economic and Development Authority. MIMAROPA Water Supply and Sanitation Databook and Regional Roadmap. 2021. Available online: https://neda.gov.ph/wp-content/uploads/2021/09/04B-Region-4B-Databook-and-Roadmap_4June2021.pdf (accessed on 24 October 2023).
- Mekonnen, M.M.; Hoekstra, A.Y. Sustainability: Four billion people facing severe water scarcity. Sci. Adv. 2016, 2, 1–7. [Google Scholar] [CrossRef] [PubMed]
- Pahl-Wostl, C.; Knieper, C.; Lukat, E.; Meergans, F.; Schoderer, M.; Schütze, N.; Schweigatz, D.; Dombrowsky, I.; Lenschow, A.; Stein, U.; et al. Enhancing the capacity of water governance to deal with complex management challenges: A framework of analysis. Environ. Sci. Policy 2020, 107, 23–35. [Google Scholar] [CrossRef]
- Hosseini, N.; Johnston, J.; Lindenschmidt, K.-E. Impacts of Climate Change on the Water Quality of a Regulated Prairie River. Water 2017, 9, 199. [Google Scholar] [CrossRef]
- Kumar, P.; Johnson, B.A.; Dasgupta, R.; Avtar, R.; Chakraborty, S.; Kawai, M.; Magcale-Macandog, D.B. Participatory Approach for More Robust Water Resource Management: Case Study of the Santa Rosa Sub-Watershed of the Philippines. Water 2020, 12, 1172. [Google Scholar] [CrossRef]
- Kumar, P.; Masago, Y.; Mishra, B.K.; Fukushi, K. Evaluating future stress due to combined effect of climate change and rapid urbanization for Pasig-Marikina River, Manila. Groundw. Sustain. Dev. 2018, 6, 227–234. [Google Scholar] [CrossRef]
- Kumar, P. Numerical quantification of current status quo and future prediction of water quality in eight Asian megacities: Challenges and opportunities for sustainable water management. Environ. Monit. Assess. 2019, 191, 319. [Google Scholar] [CrossRef] [PubMed]
- Bates, B.C.; Kundzewicz, S.W.Z.W.; Palutikof, J.P. Climate Change and Water Management; Intergovernmental Panel on Climate Change: Geneva, Switzerland, 2008; pp. 51–52. [Google Scholar]
- United Nations. World Population Prospects 2019; Department of Economic and Social Affairs, Population Division: New York, NY, USA, 2021. [Google Scholar]
- Sieber, J. User Guide for WEAP 21; Stockholm Environment Institute: Stockholm, Sweden, 2015. [Google Scholar]
- Kumar, M.D.; Batchelor, C.; James, A.J. Chapter 11—Operationalizing IWRM concepts at the basin level: From theory to practice. In Current Directions in Water Scarcity Research, Volume 1; Kumar, M.D., Reddy, V.R., James, A.J., Eds.; Elsevier: Amsterdam, The Netherlands, 2019; pp. 299–329. [Google Scholar]
- Cacal, J.C.; Taboada, E.B.; Mehboob, M.S. Strategic Implementation of Integrated Water Resource Management in Selected Areas of Palawan: SWOT-AHP Method. Sustainability 2023, 15, 2922. [Google Scholar] [CrossRef]
- Wei, X.; Cai, S.; Ni, P.; Zhan, W. Impacts of climate change and human activities on the water discharge and sediment load of the Pearl River, southern China. Sci. Rep. 2020, 10, 16743. [Google Scholar] [CrossRef]
- Li, Z.; Li, W.; Li, Z.; Lv, X. Responses of Runoff and Its Extremes to Climate Change in the Upper Catchment of the Heihe River Basin, China. Atmosphere 2023, 14, 539. [Google Scholar] [CrossRef]
- Gain, A.K.; Giupponi, C.; Renaud, F.G. Climate Change Adaptation and Vulnerability Assessment of Water Resources Systems in Developing Countries: A Generalized Framework and a Feasibility Study in Bangladesh. Water 2012, 4, 345–366. [Google Scholar] [CrossRef]
- Felipe, J.; Estrada, G. Why Has the Philippines’s Growth Performance Improved? From Disappointment to Promising Success; ADB Economics Working Paper Series, no. 542; Asian Development Bank: Mandaluyong, Philippines, 2018. [Google Scholar]
- Hamdi, A.; Abdulhameed, I.; Mawlood, I. Application of WEAP Model for Managing Water Resources in Iraq: A Review. IOP Conf. Ser. Earth Environ. Sci. 2023, 1222, 012032. [Google Scholar] [CrossRef]
- Naeem, K.; Zghibi, A.; Elomri, A.; Mazzoni, A.; Triki, C. A Literature Review on System Dynamics Modeling for Sustainable Management of Water Supply and Demand. Sustainability 2023, 15, 6826. [Google Scholar] [CrossRef]
- Shahraki, A.S.; Shahraki, J.; Monfared, S.A.H. An Application of WEAP Model in Water Resources Management Considering the Environmental Scenarios and Economic Assessment Case Study: Hirmand Catchment. Mod. Appl. Sci. 2016, 10, 49. [Google Scholar] [CrossRef]
- Alamanos, A. Sustainable water resources management under water-scarce and limited-data conditions. Central Asian J. Water Res. 2021, 7, 1–19. [Google Scholar] [CrossRef]
- Berredjem, A.F.; Boumaiza, A.; Hani, A. Simulation of current and future water demands using the WEAP model in the Annaba province, Northeastern Algeria: A case study. AQUA Water Infrastruct. Ecosyst. Soc. 2023, 72, 1815–1824. [Google Scholar] [CrossRef]
- Mersha, A.N.; Masih, I.; De Fraiture, C.; Wenninger, J.; Alamirew, T. Evaluating the Impacts of IWRM Policy Actions on Demand Satisfaction and Downstream Water Availability in the Upper Awash Basin, Ethiopia. Water 2018, 10, 892. [Google Scholar] [CrossRef]
- Genjebo, M.G.; Kemal, A.; Nannawo, A.S. Assessment of surface water resource and allocation optimization for diverse demands in Ethiopia’s upper Bilate Watershed. Heliyon 2023, 9, e20298. [Google Scholar] [CrossRef] [PubMed]
- Beven, K. Rainfall-Runoff Modelling: The Primer; John Wiley & Sons: Hoboken, NJ, USA, 2012. [Google Scholar]
- Thompson, S.E.; Basu, N.B.; Lascurain, J.; Aubeneau, A.; Rao, P.S.C. Relative dominance of hydrologic versus biogeochemical factors on solute export across impact gradients. Water Resour. Res. 2011, 47, 1–20. [Google Scholar] [CrossRef]
- Arnold, J.G.; Moriasi, D.N.; Gassman, P.W.; Abbaspour, K.C.; White, M.J.; Srinivasan, R.; Santhi, C.; Harmel, R.D.; van Griensven, A.; Van Liew, M.W.; et al. SWAT: Model use, calibration, and validation. Trans. ASABE 2012, 55, 1491–1508. [Google Scholar] [CrossRef]
- Hattermann, F.F.; Krysanova, V.; Gosling, S.N.; Dankers, R.; Daggupati, P.; Donnelly, C.; Flörke, M.; Huang, S.; Motovilov, Y.; Buda, S.; et al. Cross-scale intercomparison of climate change impacts simulated by regional and global hydrological models in eleven large river basins. Clim. Change 2017, 141, 561–576. [Google Scholar] [CrossRef]
- Alfieri, L.; Burek, P.; Feyen, L.; Forzieri, G. Global warming increases the frequency of river floods in Europe. Hydrol. Earth Syst. Sci. 2015, 19, 2247–2260. [Google Scholar] [CrossRef]
- Chang, I.-S.; Zhao, M.; Chen, Y.; Guo, X.; Zhu, Y.; Wu, J.; Yuan, T. Evaluation on the integrated water resources management in China’s major cities—Based on City Blueprint® Approach. J. Clean. Prod. 2020, 262, 121410. [Google Scholar] [CrossRef]
- Bañares, E.N.; Mehboob, M.S.; Khan, A.R.; Cacal, J.C. Projecting hydrological response to climate change and urbanization using WEAP model: A case study for the main watersheds of Bicol River Basin, Philippines. J. Hydrol. Reg. Stud. 2024, 54, 101846. [Google Scholar] [CrossRef]
- Dankers, R.; Arnell, N.W.; Clark, D.B.; Falloon, P.D.; Fekete, B.M.; Gosling, S.N.; Heinke, J.; Kim, H.; Masaki, Y.; Satoh, Y.; et al. First Look at Changes in Flood Hazard in the Inter-Sectoral Impact Model Intercomparison Project ensemble. Proc. Natl. Acad. Sci. USA 2013, 111, 3257–3261. [Google Scholar] [CrossRef]
- Letcher, R.; Jakeman, A.; Calfas, M.; Linforth, S.; Baginska, B.; Lawrence, I. A comparison of catchment water quality models and direct estimation techniques. Environ. Model. Softw. 2002, 17, 77–85. [Google Scholar] [CrossRef]
- Asadieh, B.; Krakauer, N.Y. Global change in streamflow extremes under climate change over the 21st century. Hydrol. Earth Syst. Sci. 2017, 21, 5863–5874. [Google Scholar] [CrossRef]
- Li, X.; Zhao, Y.; Shi, C.; Sha, J.; Wang, Z.-L.; Wang, Y. Application of Water Evaluation and Planning (WEAP) model for water resources management strategy estimation in coastal Binhai New Area, China. Ocean Coast. Manag. 2015, 106, 97–109. [Google Scholar] [CrossRef]
- Mehta, V.K.; Aslam, O.; Dale, L.; Miller, N.; Purkey, D.R. Scenario-based water resources planning for utilities in the Lake Victoria region. Phys. Chem. Earth Parts A/B/C 2013, 61–62, 22–31. [Google Scholar] [CrossRef]
- Cacal, J.C.; Austria, V.C.A.; Taboada, E.B. Extreme Event-based Rainfall-runoff Simulation Utilizing GIS Techniques in Irawan Watershed, Palawan, Philippines. Civ. Eng. J. 2023, 9, 220–232. [Google Scholar] [CrossRef]
- Puerto Princesa City Government. (2019, June 24). Water Resources. Available online: https://puertoprincesa.ph/?q=about-our-city/water-resources (accessed on 15 September 2022).
- Cruz, M.A.V.D.; Hanasaki, N.; Boulange, J.; Nakamura, S. Impact of Climate and Social Changes on Water Availability in Puerto Princesa City, Palawan Philippines. In Proceedings of 2018 Annual Conference, Japan Society of Hydrology and Water Resources; Japan Society of Hydrology and Water Resources: Tokyo, Japan, 2018; Volume 31, p. 254. [Google Scholar]
- Cruz, M.A.D.; Nakamura, S.; Hanasaki, N.; Boulange, J. Integrated Evaluation of Changing Water Resources in an Active Ecotourism Area: The Case of Puerto Princesa City, Palawan, Philippines. Sustainability 2021, 13, 4826. [Google Scholar] [CrossRef]
- Abalus, R.O.; Cruz RV, O.; Carandang, W.M.; Santos, E.P. Vulnerability Assessment of Irawan Watershed in Puerto Princesa City, Philippines using the GeoREVIEW Model. Ecosyst. Dev. J. 2018, 8, 22–40. [Google Scholar]
- Yates, D.; Sieber, J.; Purkey, D.; Huber-Lee, A. WEAP21—A Demand-, Priority-, and Preference-Driven Water Planning Model. Water Int. 2005, 30, 487–500. [Google Scholar] [CrossRef]
- Sieber, J.; Purkey, D. Water Evaluation and Planning System User Guide for Weap21; Stockholm Environment Institute, US Center: Somerville, MA, USA, 2007. [Google Scholar]
- Droubi, A.; Al-Sibai, M.; Abdallah, A.; Zahra, S.; Obeissi, M.; Wolfer, J.; Huber, M.; Hennings, V. A Decision Support System (DSS) for Water Resources Management—Design and Results from a Pilot Study in Syria. In Climatic Changes and Water Resources in the Middle East and North Africa; Springer: Berlin/Heidelberg, Germany, 2009; pp. 199–225. [Google Scholar]
- Mehboob, M.S.; Kim, Y. Effect of climate and socioeconomic changes on future surface water availability from mountainous water sources in Pakistan’s Upper Indus Basin. Sci. Total Environ. 2021, 769, 144820. [Google Scholar] [CrossRef] [PubMed]
- Philippine Statistics Authority. Economic Growth: Agriculture. Agricultural Indicators System, PSA Complex, East Avenue Diliman, Quezon City, ISSN-2012-0435, 2023. Available online: https://psa.gov.ph/content/agricultural-indicators-system-economic-growth-agriculture (accessed on 24 May 2024).
- Hilario, F.D.; Juanillo, E.L.; De Guzman, R.G. Observed Climate Trends and Projected Climate Change in the Philippines; PAGASA: Quezon City, Philippines, 2018.
- Puerto Princesa City Government. (2020, 5 June 2024). Socio-Economic Profile. Available online: https://puertoprincesa.ph/?q=investment-profile/economy-and-employment (accessed on 20 May 2024).
- PhilAtlas. (2024, 15 January 2024). Irawan, City of Puerto Princesa. Available online: https://www.philatlas.com/luzon/mimaropa/puerto-princesa/irawan.html (accessed on 15 January 2024).
- Warszawski, L.; Frieler, K.; Huber, V.; Piontek, F.; Serdeczny, O.; Schewe, J. The Inter-Sectoral Impact Model Intercomparison Project (ISI–MIP): Project framework. Proc. Natl. Acad. Sci. USA 2014, 111, 3228–3232. [Google Scholar] [CrossRef]
- Tido, S.; Sergey, D.; Thomas, R.; Dmitry, S.; Dirk, B.; Jan, H.; Dmitry, S.; Qiang, W.; Thomas, J. AWI AWI-CM1.1MR Model Output Prepared for CMIP6 CMIP, 1st ed.; Earth System Grid Federation, 2018. Available online: https://esgf.llnl.gov/ (accessed on 20 May 2024).
- Danabasoglu, G. IPCC DDC: NCAR CESM2 Model Output Prepared for CMIP6 CDRMIP, 1st ed.; World Data Center for Climate (WDCC) at DKRZ: Hamburg, Germany, 2023. [Google Scholar]
- Yukimoto, S.; Koshiro, T.; Kawai, H.; Oshima, N.; Yoshida, K.; Urakawa, S.; Tsujino, H.; Deushi, M.; Tanaka, T.; Hosaka, M.; et al. IPCC DDC: MRI MRI-ESM2.0 Model Output Prepared for CMIP6 CMIP, 1st ed.; World Data Center for Climate (WDCC) at DKRZ: Hamburg, Germany, 2023. [Google Scholar]
- Gorguner, M.; Kavvas, M.L. Modeling impacts of future climate change on reservoir storages and irrigation water demands in a Mediterranean basin. Sci. Total Environ. 2020, 748, 141246. [Google Scholar] [CrossRef]
- Haro-Monteagudo, D.; Palazón, L.; Beguería, S. Long-term sustainability of large water resource systems under climate change: A cascade modeling approach. J. Hydrol. 2020, 582, 124546. [Google Scholar] [CrossRef]
- Riahi, K.; Van Vuuren, D.P.; Kriegler, E.; Edmonds, J.; O’Neill, B.C.; Fujimori, S.; Bauer, N.; Calvin, K.; Dellink, R.; Fricko, O.; et al. The Shared Socioeconomic Pathways and their energy, land use, and greenhouse gas emissions implications: An overview. Glob. Environ. Change 2017, 42, 153–168. [Google Scholar] [CrossRef]
- van Vuuren, D.P.; Smith, S.J.; Riahi, K. Downscaling socioeconomic and emissions scenarios for global environmental change research: A review. WIREs Clim. Change 2010, 1, 393–404. [Google Scholar] [CrossRef]
- Themeßl, M.J.; Gobiet, A.; Leuprecht, A. Empirical-statistical downscaling and error correction of daily precipitation from regional climate models. Int. J. Climatol. 2011, 31, 1530–1544. [Google Scholar] [CrossRef]
- Montenegro, M.; Campozano, L.; Urdiales-Flores, D.; Maisincho, L.; Serrano-Vincenti, S.; Borbor-Cordova, M.J. Assessment of the Impact of Higher Temperatures Due to Climate Change on the Mortality Risk Indexes in Ecuador Until 2070. Front. Earth Sci. 2022, 9, 794602. [Google Scholar] [CrossRef]
- Räisänen, J.; Räty, O. Projections of daily mean temperature variability in the future: Cross-validation tests with ENSEMBLES regional climate simulations. Clim. Dyn. 2013, 41, 1553–1568. [Google Scholar] [CrossRef]
- Sangelantoni, L.; Russo, A.; Gennaretti, F. Impact of bias correction and downscaling through quantile mapping on simulated climate change signal: A case study over Central Italy. Theor. Appl. Clim. 2019, 135, 725–740. [Google Scholar] [CrossRef]
- Mendez, M.; Maathuis, B.; Hein-Griggs, D.; Alvarado-Gamboa, L.-F. Performance Evaluation of Bias Correction Methods for Climate Change Monthly Precipitation Projections over Costa Rica. Water 2020, 12, 482. [Google Scholar] [CrossRef]
- Angus, J.E. The Probability Integral Transform and Related Results. SIAM Rev. 1994, 36, 652–654. [Google Scholar] [CrossRef]
- Philippine Statics. Authority. Population of Puerto Princesa City. Available online: https://rssomimaropa.psa.gov.ph/content/highlights-population-density-palawan-and-city-puerto-princesa-2020-census-population-and (accessed on 8 August 2023).
- Goyburo, A.; Rau, P.; Lavado-Casimiro, W.; Buytaert, W.; Cuadros-Adriazola, J.; Horna, D. Assessment of Present and Future Water Security under Anthropogenic and Climate Changes Using WEAP Model in the Vilcanota-Urubamba Catchment, Cusco, Perú. Water 2023, 15, 1439. [Google Scholar] [CrossRef]
- Jones, B.; O’neill, B.C. Spatially explicit global population scenarios consistent with the Shared Socioeconomic Pathways. Environ. Res. Lett. 2016, 11, 084003. [Google Scholar] [CrossRef]
- Palawan Council for Sustainable Development. (2023, 5 June 2024). PCSDS and KOICA Discuss the Roject ENRIS for Food Security and Water Quality Improvement in Palawan. Available online: https://pcsd.gov.ph/PCSDS-and-KOICA-dis/ (accessed on 5 June 2023).
- Ougougdal, H.A.; Khebiza, M.Y.; Messouli, M.; Lachir, A. Assessment of Future Water Demand and Supply under IPCC Climate Change and Socio-Economic Scenarios, Using a Combination of Models in Ourika Watershed, High Atlas, Morocco. Water 2020, 12, 1751. [Google Scholar] [CrossRef]
- Tena, T.M.; Mudenda, F.; Nguvulu, A.; Mwaanga, P.; Gathenya, J.M. Analysis of River Tributaries’ Streamflow Contribution Using WEAP Model: A Case of the Ngwerere and Kanakatampa Tributaries to the Chongwe River in Zambia. J. Water Resour. Prot. 2021, 13, 309–323. [Google Scholar] [CrossRef]









| Major Rivers | Catchment Area (Hectares) | % of Total |
|---|---|---|
| Babuyan River | 28,786 | 24.89 |
| Montible River | 23,156 | 20.02 |
| Langogan River | 16,292 | 14.09 |
| Inagawan River | 14,592 | 12.62 |
| Bacungan River | 11,343 | 9.81 |
| Sabang River | 1674 | 1.44 |
| Cabayugan River | 3814 | 3.29 |
| Irawan River | 3679 | 3.18 |
| Tanabag River | 5622 | 4.86 |
| Concepcion River | 4225 | 3.65 |
| Bahile River | 2427 | 2.09 |
| Total | 115,610 | 100.00 |
| Data | Description | Sources |
|---|---|---|
| Climate data | Monthly gage (2010–2020) Monthly gridded data for three GCMs (AWI-CM-1, CESM2, and MRI-ESM2) under four SSP scenarios (2025–2100) | PAGASA Puerto Princesa Synoptic Station Coupled Model Intercomparison Project (CMIP6) |
| Streamflow data | Monthly gauge data (2010–2020) | Puerto Princesa City Water District |
| Population data | Population census, growth rate | Philippine Statistics Authority |
| Agricultural data | Cultivable land, land decline rate Crop water requirement | Philippine Statistics Authority Integrated Evaluation of Changing Water Resources in an Active Ecotourism Area: The Case of Puerto Princesa City, Palawan, Philippines [49] |
| Domestic water abstraction | Per capita annual domestic consumption, unit industrial water demand | Integrated Evaluation of Changing Water Resources in an Active Ecotourism Area: The Case of Puerto Princesa City, Palawan, Philippines [49] |
| Parameter | Unit |
|---|---|
| Municipal demand | 26 m3/cap/yr for urban areas [11] 14 m3/cap/yr for rural areas [11] |
| Agriculture demand | 629 m3 ha−1 yr−1 [11] |
| Population growth rate | 3.98% annual growth for low population growth (LPG) scenario [55,58] 5.0% annual growth for high population growth (HPG) scenario [55,58] |
| Agricultural decline rate | −0.5% annual rate for low land decline (LLD) scenario [55] −1.2% annual rate for high land decline (HLD) scenario [55] |
| Climate Scenario | Water Demand Scenario | Population Growth Scenario | Agricultural Land Decline Scenario |
|---|---|---|---|
| SSP 126 | MD | LPG | LLD/HLD |
| MD + SAE | HPG | LLD/HLD | |
| SSP 245 | MD | LPG | LLD/HLD |
| MD + SAE | HPG | LLD/HLD | |
| SSP 370 | MD | LPG | LLD/HLD |
| MD + SAE | HPG | LLD/HLD | |
| SSP 585 | MD | LPG | LLD/HLD |
| MD + SAE | HPG | LLD/HLD |
Disclaimer/Publisher’s Note: The statements, opinions and data contained in all publications are solely those of the individual author(s) and contributor(s) and not of MDPI and/or the editor(s). MDPI and/or the editor(s) disclaim responsibility for any injury to people or property resulting from any ideas, methods, instructions or products referred to in the content. |
© 2024 by the authors. Licensee MDPI, Basel, Switzerland. This article is an open access article distributed under the terms and conditions of the Creative Commons Attribution (CC BY) license (https://creativecommons.org/licenses/by/4.0/).
Share and Cite
Cacal, J.C.; Mehboob, M.S.; Bañares, E.N. Integrating Water Evaluation and Planning Modeling into Integrated Water Resource Management: Assessing Climate Change Impacts on Future Surface Water Supply in the Irawan Watershed of Puerto Princesa, Philippines. Earth 2024, 5, 905-927. https://doi.org/10.3390/earth5040047
Cacal JC, Mehboob MS, Bañares EN. Integrating Water Evaluation and Planning Modeling into Integrated Water Resource Management: Assessing Climate Change Impacts on Future Surface Water Supply in the Irawan Watershed of Puerto Princesa, Philippines. Earth. 2024; 5(4):905-927. https://doi.org/10.3390/earth5040047
Chicago/Turabian StyleCacal, Jennifer Collado, Muhammad Shafqat Mehboob, and Ernie Nograles Bañares. 2024. "Integrating Water Evaluation and Planning Modeling into Integrated Water Resource Management: Assessing Climate Change Impacts on Future Surface Water Supply in the Irawan Watershed of Puerto Princesa, Philippines" Earth 5, no. 4: 905-927. https://doi.org/10.3390/earth5040047
APA StyleCacal, J. C., Mehboob, M. S., & Bañares, E. N. (2024). Integrating Water Evaluation and Planning Modeling into Integrated Water Resource Management: Assessing Climate Change Impacts on Future Surface Water Supply in the Irawan Watershed of Puerto Princesa, Philippines. Earth, 5(4), 905-927. https://doi.org/10.3390/earth5040047

