Synthesis and Characterization of Spermidine-Modified Alginic Acid Hydrogels with Possible Tissue Regeneration Applications †
Abstract
1. Introduction
2. Materials and Methods
2.1. Materials
2.2. Hydrogel Synthesis
2.3. Scanning Electron Microscopy (SEM)
2.4. Electrospray Ionization Mass Spectrometry (ESI-MASS)
2.5. Fourier Transform Infrared Spectroscopy (FT-IR)
2.6. In Vitro Cytotoxicity Assay
3. Results
3.1. Alginic Acid Hydrogel Synthesis with Different Concentrations of Crosslinker Agent
3.2. Scanning Electron Microscopy (SEM) of Alginic Acid Hydrogels with Different Concentrations of Crosslinker Agent
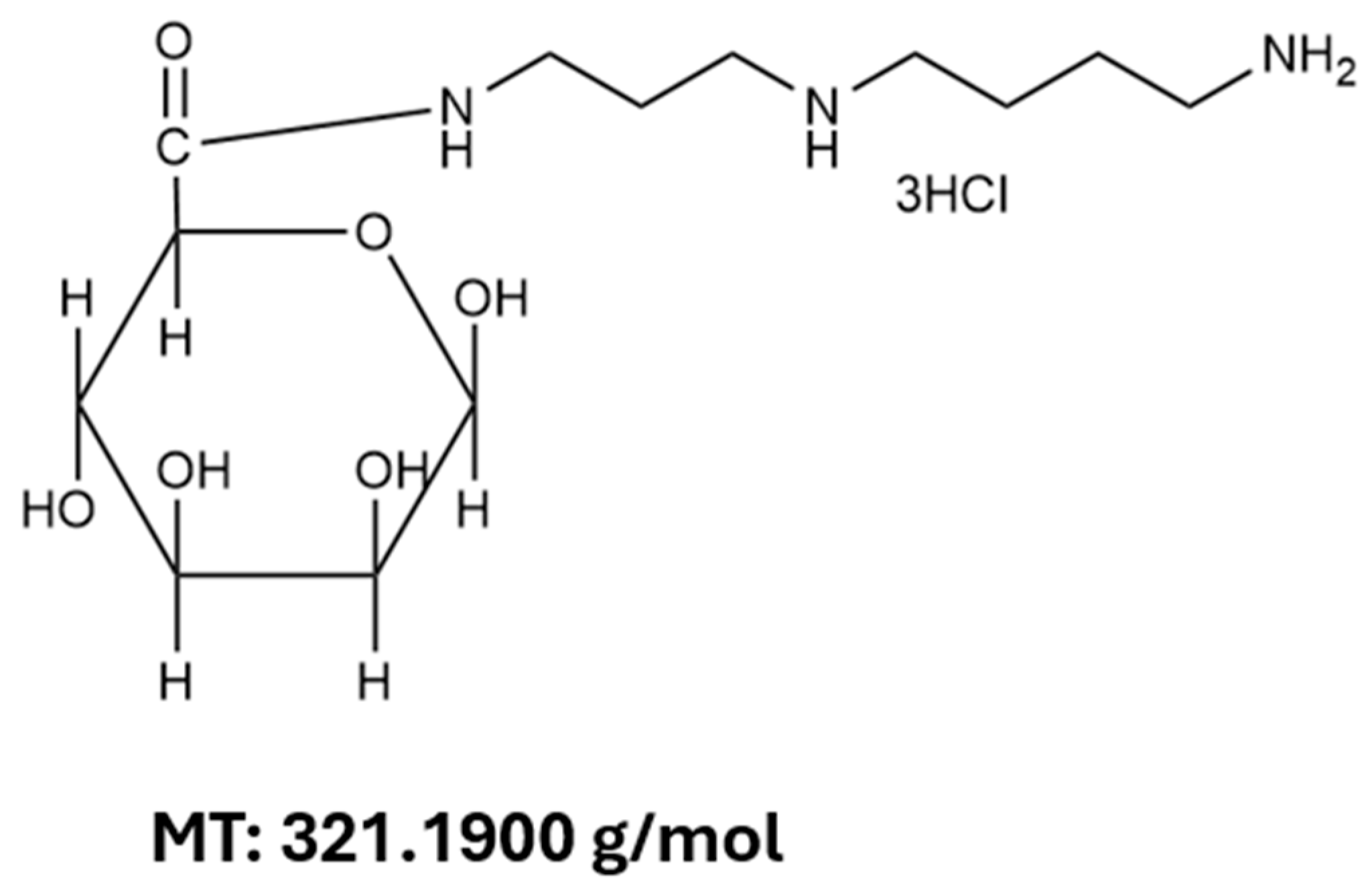
3.3. Electrospray Ionization Mass Spectrometry (ESI-MASS) of Alginic Acid Hydrogels with Different Concentrations of Crosslinker Agent
3.4. Fourier Transform Infrared Spectroscopy (FT-IR) of Alginic Acid Hydrogels with Different Concentrations of Crosslinker Agent
3.5. In Vitro Cytotoxicity Assay
4. Partial Conclusions
Author Contributions
Funding
Institutional Review Board Statement
Informed Consent Statement
Data Availability Statement
Acknowledgments
Conflicts of Interest
References
- Cao, J.; Wu, B.; Yuan, P.; Liu, Y.; Hu, C. Research Progress of Sodium Alginate-Based Hydrogels in Biomedical Engineering. Gels 2025, 11, 758. [Google Scholar] [CrossRef] [PubMed]
- Zhang, T.; Liu, H.; Nie, P.; Wang, K.; Wang, X.; Liu, Y.; Li, X.; Cheng, X. Enhancement of alginate/gelatin/polyvinyl alcohol hydrogels for multi-crosslinked 3D printed blood vessels. Int. J. Biol. Macromol. 2025, 310, 142947. [Google Scholar] [CrossRef] [PubMed]
- Liu, Y.; Ding, A. An overview of recent advancements in 4D printing of alginate hydrogels for tissue regeneration. J. Biomater. Sci. Polym. 2025, 36, 2786–2819. [Google Scholar] [CrossRef] [PubMed]
- Trucillo, P. Biomaterials for Drug Delivery and Human Applications. Materials 2024, 17, 456. [Google Scholar] [CrossRef] [PubMed]
- Lee, K.Y.; Mooney, D.J. Alginate: Properties and biomedical applications. Prog. Polym. Sci. 2012, 37, 106–126. [Google Scholar] [CrossRef] [PubMed]
- Rowley, J.A.; Madlambayan, G.; Mooney, D.J. Alginate hydrogels as synthetic extracellular matrix materials. Biomaterials 1999, 20, 45–53. [Google Scholar] [CrossRef] [PubMed]
- Serafin, A.; Culebras, M.; Collins, M.N. Synthesis and evaluation of alginate, gelatin, and hyaluronic acid hybrid hydrogels for tissue engineering applications. Int. J. Biol. Macromol. 2023, 233, 2–10. [Google Scholar] [CrossRef] [PubMed]
- Tabor, C.W.; Tabor, H. 1,4-Diaminobutane (putrescine), spermidine, and spermine. Annu. Rev. Biochem. 1976, 45, 285–306. [Google Scholar] [CrossRef] [PubMed]
- Alavarse, A.C.; Frachini, E.C.G.; da Silva, R.L.C.G.; Lima, V.H.; Shavandi, A.; Petri, D.F.S. Crosslinkers for polysaccharides and proteins: Synthesis conditions, mechanisms, and crosslinking efficiency, a review. Int. J. Biol. Macromol. 2022, 202, 558–596. [Google Scholar] [CrossRef] [PubMed]
- Maiti, S.; Maji, B.; Yadav, H. Progress on green crosslinking of polysaccharide hydrogels for drug delivery and tissue engineering applications. Carbohydr. Polym. 2024, 326, 121584. [Google Scholar] [CrossRef] [PubMed]
- Kopač, T.; Ručigaj, A.; Krajnc, M. The mutual effect of the crosslinker and biopolymer concentration on the desired hydrogel properties. Int. J. Biol. Macromol. 2020, 159, 557–558. [Google Scholar] [CrossRef] [PubMed]
- He, Q.; Tong, T.; Yu, C.; Wang, Q. Advances in Algin and Alginate-Hybrid Materials for Drug Delivery and Tissue Engineering. Mar. Drugs 2022, 21, 14. [Google Scholar] [CrossRef] [PubMed]
- Martinez, F.D.; Fischer, T.; Hayn, A.; Mierke, C.T.; Burgess, J.K.; Harmsen, M.C. A Beginner’s Guide to the Characterization of Hydrogel Microarchitecture for Cellular Applications. Gels 2022, 8, 535. [Google Scholar] [CrossRef] [PubMed]
- MERCK. Available online: https://www.sigmaaldrich.com/MX/es/product/sigma/s2626?srsltid=AfmBOooqpGXHzovEintDe0-U20wleet7rd0WNl3l6evdNtRp9il_bjX6 (accessed on 20 October 2025).
- PubChem. Available online: https://pubchem.ncbi.nlm.nih.gov/compound/Alginate (accessed on 20 October 2025).
- Stuart, B. Infrared Spectroscopy: Fundamentals and Applications; John Wiley & Sons Ltd.: Bognor Regis, UK, 2004; pp. 45–51. [Google Scholar]
- Wang, M.O.; Etheridge, J.M.; Thompson, J.A.; Vorwald, C.E.; Dean, D.; Fisher, J.P. Evaluation of the in vitro cytotoxicity of cross-linked biomaterials. Biomacromolecules 2013, 14, 1321–1329. [Google Scholar] [CrossRef] [PubMed]







| Reagent | Source and Country | Mass Fraction Purity | Grade | Chemical Structure |
|---|---|---|---|---|
| Alginic acid sodium salt | Sigma-Aldrich (Burlington, MA, USA) | 100% | Industrial reagent | ![]() |
| Spermidine trihydrochloride (TLC) | Sigma-Aldrich (Burlington, MA, USA) | ≥98% | Industrial reagent | ![]() |
| 1-Cloro-4,6-dimetoxi-1,3,5-triazina (CDMT) | Sigma-Aldrich (Burlington, MA, USA) | 97% | Industrial reagent | ![]() |
| N-Methyl morpholine (NMM) | Sigma-Aldrich (Burlington, MA, USA) | 99% | Analytical reagent | ![]() |
Disclaimer/Publisher’s Note: The statements, opinions and data contained in all publications are solely those of the individual author(s) and contributor(s) and not of MDPI and/or the editor(s). MDPI and/or the editor(s) disclaim responsibility for any injury to people or property resulting from any ideas, methods, instructions or products referred to in the content. |
© 2026 by the authors. Licensee MDPI, Basel, Switzerland. This article is an open access article distributed under the terms and conditions of the Creative Commons Attribution (CC BY) license (https://creativecommons.org/licenses/by/4.0/).
Share and Cite
Díaz-Corte, H.G.; Padilla-Martínez, I.I.; Martínez-Mejía, G.; Corea, M. Synthesis and Characterization of Spermidine-Modified Alginic Acid Hydrogels with Possible Tissue Regeneration Applications. Mater. Proc. 2025, 25, 23. https://doi.org/10.3390/materproc2025025023
Díaz-Corte HG, Padilla-Martínez II, Martínez-Mejía G, Corea M. Synthesis and Characterization of Spermidine-Modified Alginic Acid Hydrogels with Possible Tissue Regeneration Applications. Materials Proceedings. 2025; 25(1):23. https://doi.org/10.3390/materproc2025025023
Chicago/Turabian StyleDíaz-Corte, Harim Galilea, Itzia Irene Padilla-Martínez, Gabriela Martínez-Mejía, and Mónica Corea. 2025. "Synthesis and Characterization of Spermidine-Modified Alginic Acid Hydrogels with Possible Tissue Regeneration Applications" Materials Proceedings 25, no. 1: 23. https://doi.org/10.3390/materproc2025025023
APA StyleDíaz-Corte, H. G., Padilla-Martínez, I. I., Martínez-Mejía, G., & Corea, M. (2025). Synthesis and Characterization of Spermidine-Modified Alginic Acid Hydrogels with Possible Tissue Regeneration Applications. Materials Proceedings, 25(1), 23. https://doi.org/10.3390/materproc2025025023




