Electron-Beam Radiation Effects in Multilayer Structures Grown with the Periodical Deposition of Si and CaF2 on Si(111) †
Abstract
:1. Introduction
2. Materials and Methods
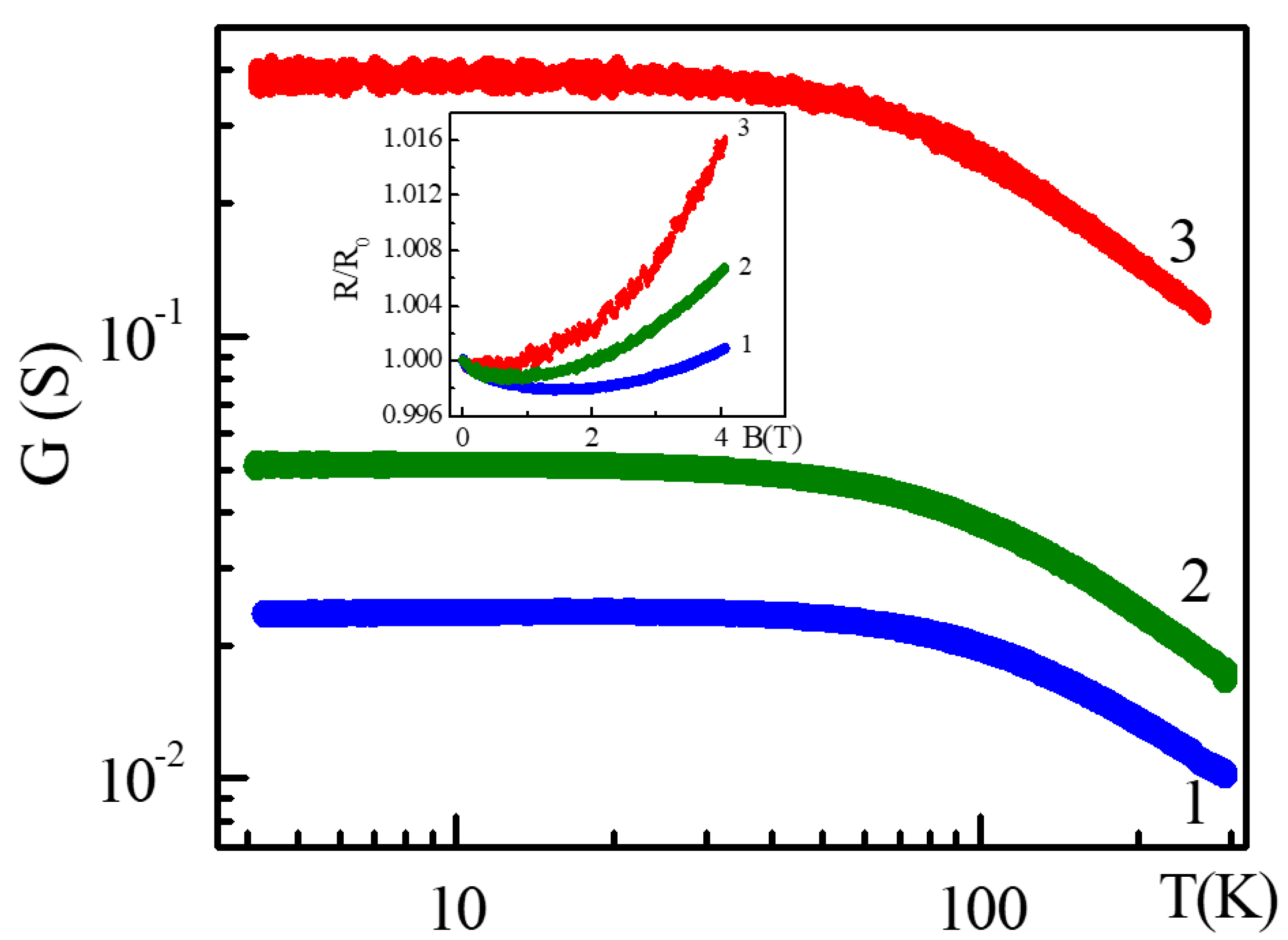
3. Results and Discussion
4. Conclusions
Author Contributions
Funding
Institutional Review Board Statement
Informed Consent Statement
Data Availability Statement
Acknowledgments
Conflicts of Interest
References
- Morar, J.F.; Wittmer, M. Growth of epitaxial CaSi2 films on Si(111). J. Vac. Sci. Technol. A 1988, 6, 1340. [Google Scholar] [CrossRef]
- Galkin, N.G.; Galkin, K.N.; Dotsenko, S.A.; Goroshko, D.L.; Fogarassy, Z.; Pecz, B. The growth processes and crystal structure of Ca silicides films grown by MBE at 500 °C on a Si(001) substrate. Mater. Chem. Phys. 2020, 253, 123380. [Google Scholar] [CrossRef]
- Galkin, N.G.; Galkin, K.N.; Tupkalo, A.V.; Chusovitin, E.A.; Goroshko, D.L.; Fogarassi, Z.; Pecz, B. Semitransparent and conductive CaSi2 films for silicon device applications. Jpn. J. Appl. Phys. 2020, 59, SFFA12. [Google Scholar] [CrossRef]
- Galkin, N.G.; Galkin, K.N.; Tupkalo, A.V.; Fogarassy, Z.; Pecz, B. A low temperature growth of Ca silicides on Si(100) and Si(111) substrates: Formation, structure, optical properties and energy band structure parameters. J. Alloys Compd. 2020, 813, 152101. [Google Scholar] [CrossRef]
- Affronte, M.; Laborde, O.; Olcese, G.L.; Palenzona, A. Low temperature properties of calcium mono-and disilicides. J. Alloys Compd. 1998, 274, 68. [Google Scholar] [CrossRef]
- Galkin, N.G.; Galkin, K.N.; Tupkalo, A.V.; Dotsenko, S.A.; Fogarassi, Z.; Pecz, B. Ca Silicide Films on Si(100) and Si(111) Substrates: Structure, Optical and Electrical Properties. Int. J. Nanosci. 2019, 18, 1940014. [Google Scholar] [CrossRef]
- Ohsuna, T.; Ito, K.; Nakano, H. Transformation of CaSi overgrowth domains to the CaSi2 crystal phase via vacuum annealing. Jpn. J. Appl. Phys. 2021, 61, 025506. [Google Scholar] [CrossRef]
- Terada, T.; Ishibe, T.; Katayama, T.; Sato, K.; Nguyen, T.Q.; Nakano, H.; Nakamura, Y. Thermoelectric power factor enhancement of calcium-intercalated layered silicene by introducing metastable phase. Appl. Phys. Express 2021, 14, 115505. [Google Scholar] [CrossRef]
- Kacyuba, A.; Dvurechenskii, A.; Kamaev, G.; Volodin, V.; Krupin, A. Crystal structure of thin CaSi2 films grown by radiation induced epitaxy. J. Crystal Growth 2021, 562, 126080. [Google Scholar] [CrossRef]
- Terada, T.; Uematsu, Y.; Ishibe, T.; Naruse, N.; Sato, K.; Nguyen, T.Q.; Kobayashi, E.; Nakano, H.; Nakamura, Y. Giant Enhancement of Seebeck Coefficient by Deformation of Silicene Buckled Structure in Calcium-Intercalated Layered Silicene Film. Adv. Mater. Interfaces 2022, 9, 2101752. [Google Scholar] [CrossRef]
- Ito, K.; Suemasu, T.; Nakano, H. Growth of tr6-CaSi2 thin films on Si(111) substrates. Jpn. J. Appl. Phys. 2018, 57, 120313. [Google Scholar] [CrossRef]
- Ito, K.; Ohsuna, T.; Suemasu, T.; Nakano, H. Growth and fluorination of CaSi2 thin film. Jpn. J. Appl. Phys. 2020, 59, SFFC02. [Google Scholar] [CrossRef]
- Würz, R.; Schmidt, R.; Schöpke, A.; Fuhs, W. Solid-phase epitaxy of CaSi2 on Si(111) and the Schottky-barrier height of CaSi2/Si(111). Appl. Surf. Sci. 2002, 190, 437–440. [Google Scholar] [CrossRef]
- Kacyuba, A.; Dvurechenskii, A.; Kamaev, G.; Volodin, V.; Krupin, A. Radiation-Induced epitaxial CaSi2 film growth at the molecular-beam epitaxy of CaF2 on Si. Mater. Lett. 2020, 268, 127554. [Google Scholar] [CrossRef]
- Dvurechenskii, A.V.; Kacyuba, A.V.; Kamaev, G.N.; Volodin, V.A.; Smagina, Z.V. Radiation-Induced Nucleation and Growth of CaSi2 Crystals, Both Directly during the Epitaxial CaF2 Growth and after the CaF2 Film Formation. Nanomaterials 2022, 12, 1407. [Google Scholar] [CrossRef] [PubMed]
- Charles, L.S.; Moddeman, W.E.; Grant, J.T. Electron-beam-induced decomposition of ion bombarded calcium fluoride surfaces. Appl. Phys. Lett. 1981, 52, 6921. [Google Scholar]
- Braungart, R.; Sigmund, H. Formation of magnesium silicide (Mg2Si) and calcium silicide (CaSi2) layers on single-crystal silicon substrates. Z. Naturforsch. 1980, 35a, 1268. [Google Scholar] [CrossRef]
- Zinovyev, V.A.; Kacyuba, A.V.; Volodin, V.A.; Zinovieva, A.F.; Cherkova, S.G.; Smagina, Z.V.; Dvurechenskii, A.V.; Krupin, A.Y.; Borodavchenko, O.M.; Zhivulko, V.D.; et al. Atomic Structure and Optical Properties of CaSi2 Layers Grown on CaF2/Si Substrates. Semiconductors 2021, 55, 808. [Google Scholar] [CrossRef]
- Morar, J.F.; Wittmer, M. Metallic CaSi2 epitaxial films on Si(111). Phys. Rev. B 1988, 37, 2618. [Google Scholar] [CrossRef] [PubMed]
- Zinovieva, A.F.; Zinovyev, V.A.; Stepina, N.P.; Volodin, V.A.; Krupin, A.Y.; Kacyuba, A.V.; Dvurechenskii, A.V. Radiation-Stimulated Formation of Two-Dimensional Structures Based on Calcium Silicide. Nanomaterials 2022, 12, 3623. [Google Scholar] [CrossRef] [PubMed]
- Vogg, G.; Zamanzadeh-Hanebuth, N.; Brandt, M.; Stutzmann, M.; Albrecht, M. Preparation and Characterization of Epitaxial CaSi2 and Siloxene Layers on Silicon. Chem. Mon. 1999, 130, 7. [Google Scholar] [CrossRef]
- Ziman, J.M. Electrons and Phonons: The Theory of Transport Phenomena in Solids; Clarendon Press: Oxford, UK, 1960. [Google Scholar]
- Olsen, J.L. Electron Transport in Metals; Interscience: New York, NY, USA, 1962. [Google Scholar]





Disclaimer/Publisher’s Note: The statements, opinions and data contained in all publications are solely those of the individual author(s) and contributor(s) and not of MDPI and/or the editor(s). MDPI and/or the editor(s) disclaim responsibility for any injury to people or property resulting from any ideas, methods, instructions or products referred to in the content. |
© 2023 by the authors. Licensee MDPI, Basel, Switzerland. This article is an open access article distributed under the terms and conditions of the Creative Commons Attribution (CC BY) license (https://creativecommons.org/licenses/by/4.0/).
Share and Cite
Dvurechenskii, A.V.; Kacyuba, A.V.; Kamaev, G.N.; Volodin, V.A.; Stepina, N.P.; Zinovieva, A.F.; Zinovyev, V.A. Electron-Beam Radiation Effects in Multilayer Structures Grown with the Periodical Deposition of Si and CaF2 on Si(111). Mater. Proc. 2023, 14, 68. https://doi.org/10.3390/IOCN2023-14481
Dvurechenskii AV, Kacyuba AV, Kamaev GN, Volodin VA, Stepina NP, Zinovieva AF, Zinovyev VA. Electron-Beam Radiation Effects in Multilayer Structures Grown with the Periodical Deposition of Si and CaF2 on Si(111). Materials Proceedings. 2023; 14(1):68. https://doi.org/10.3390/IOCN2023-14481
Chicago/Turabian StyleDvurechenskii, Anatoly V., Aleksey V. Kacyuba, Gennady N. Kamaev, Vladimir A. Volodin, Natalia P. Stepina, Aigul F. Zinovieva, and Vladimir A. Zinovyev. 2023. "Electron-Beam Radiation Effects in Multilayer Structures Grown with the Periodical Deposition of Si and CaF2 on Si(111)" Materials Proceedings 14, no. 1: 68. https://doi.org/10.3390/IOCN2023-14481
APA StyleDvurechenskii, A. V., Kacyuba, A. V., Kamaev, G. N., Volodin, V. A., Stepina, N. P., Zinovieva, A. F., & Zinovyev, V. A. (2023). Electron-Beam Radiation Effects in Multilayer Structures Grown with the Periodical Deposition of Si and CaF2 on Si(111). Materials Proceedings, 14(1), 68. https://doi.org/10.3390/IOCN2023-14481

