Can 3D Virtual Worlds Be Used as Intelligent Tutoring Systems to Innovate Teaching and Learning Methods? Future Challenges and Possible Scenarios for Metaverse and Artificial Intelligence in Education †
Abstract
1. Introduction
2. Methods
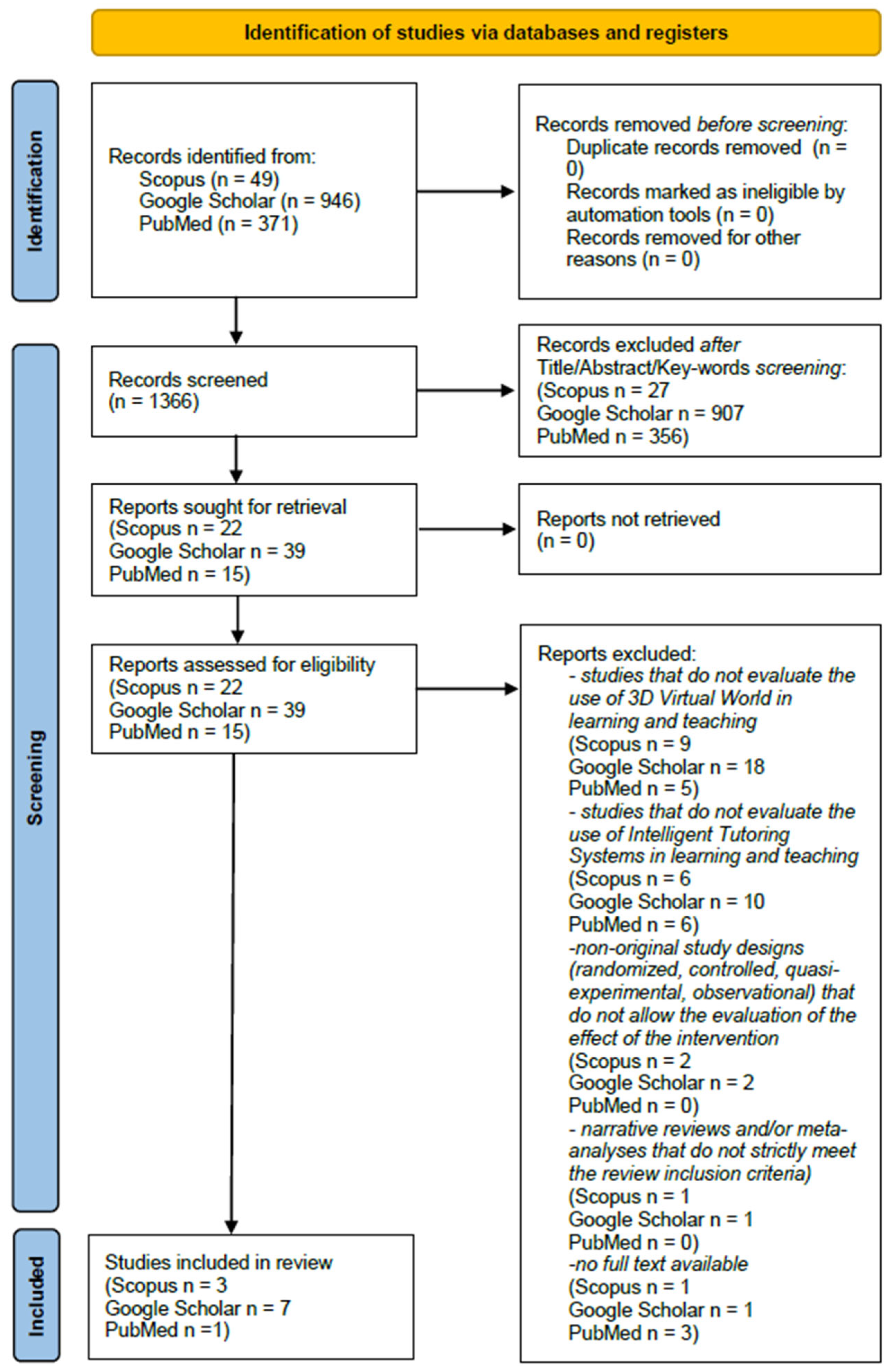
2.1. Information Sources and Search Strategy: Steps for ARTICLE Selection
2.2. Quality and BIAS Evaluation
3. Results and Discussion
- –
- –
- –
- Studies using both systems [20,21] (it is necessary, however, to underline that none of them experiments both systems in an integrated way in the field, but the first one explores a theoretical integration between VR, IoT and ITS and the second one proposes a theoretical architecture between ITS, AR and VR);
- –
- –
- –
- –
- –
3.1. Virtual Worlds and Intelligent Tutoring Systems as Tools for Educational Innovation and Learning Support
3.2. Adaptive Features of 3D Virtual Worlds and Their Potential Use as Tutoring Systems
3.3. Towards Adaptive Learning in the Metaverse: Integrating VW and ITS as a Frontier of Educational Innovation
3.4. Case Studies and Applications
4. Pedagogical Reflections, Limitations, Challenges and Future Directions
4.1. Emerging Technologies and Basic Educational Principles: A Necessary Balance
4.2. From Substitution to Integration: A Hybrid Model for the School of the Future
4.3. Autonomy and Dependence: Promoting Critical Thinking and Metacognition
4.4. Children and Adolescents: Adapting Technologies to Cognitive and Emotional Development
4.5. Social Learning, Emotional Intelligence, and Authentic Relationships
4.6. Ethics, Privacy, and Algorithmic Justice in Digital Education
4.7. Limitations of the Study
5. Conclusions
Author Contributions
Funding
Institutional Review Board Statement
Informed Consent Statement
Data Availability Statement
Conflicts of Interest
References
- Sharma, K.; Nguyen, A.; Hong, Y. Self-regulation and shared regulation in collaborative learning in adaptive digital learning environments: A systematic review of empirical studies. Br. J. Educ. Technol. 2024, 55, 1398–1436. [Google Scholar] [CrossRef]
- Occhioni, M.; Beccaceci, A.; Paris, E. Environmental education in distance learning: Using Virtual Worlds to link geosciences and sustainability. J. Geosci. Educ. 2024, 72, 393–407. [Google Scholar] [CrossRef]
- Apoki, U.C.; Hussein, A.M.A.; Al-Chalabi, H.K.M.; Badica, C.; Mocanu, M.L. The Role of Pedagogical Agents in Personalised Adaptive Learning: A Review. Sustainability 2022, 14, 6442. [Google Scholar] [CrossRef]
- Damaševičius, R.; Sidekerskienė, T. Virtual Worlds for Learning in Metaverse: A Narrative Review. Sustainability 2024, 16, 2032. [Google Scholar] [CrossRef]
- Filippone, A.; Barbieri, U.; Marsico, E.; Bevilacqua, A.; De Carlo, M.E.; Di Fuccio, R. Can Virtual Worlds be used as Intelligent Tutoring Systems to innovate teaching and learning methods? Future challenges for Metaverse and Artificial Intelligence in education. In Proceedings of the 5th International Electronic Conference on Applied Sciences, Online, 4–6 December 2024; MDPI: Basel, Switzerland, 2024. [Google Scholar]
- Asad, M.M.; Naz, A.; Churi, P.; Guerrero, A.J.M.; Salameh, A.A. Mix Method Approach of Measuring VR as a Pedagogical Tool to Enhance Experimental Learning: Motivation from Literature Survey of Previous Study. Educ. Res. Int. 2022, 1, 8262304. [Google Scholar] [CrossRef]
- Anindyaputri, N.A.; Yuana, R.A.; Hatta, P. Enhancing Students’ Ability in Learning Process of Programming Language using Adaptive Learning Systems: A Literature Review. Open Eng. 2020, 10, 820–829. [Google Scholar] [CrossRef]
- Fontaine, G.; Cossette, S.; Maheu-Cadotte, M.-A.; Mailhot, T.; Deschênes, M.-F.; Mathieu-Dupuis, G.; Côté, J.; Gagnon, M.-P.; Dubé, V. Efficacy of adaptive e-learning for health professionals and students: A systematic review and meta-analysis. BMJ Open 2019, 9, e025252. [Google Scholar] [CrossRef]
- Page, M.J.; McKenzie, J.E.; Bossuyt, P.M.; Boutron, I.; Hoffmann, T.C.; Mulrow, C.D.; Moher, D. The PRISMA 2020 statement: An updated guideline for reporting systematic reviews. Syst. Rev. 2021, 10, 89. [Google Scholar] [CrossRef]
- Hinojo-Lucena, F.J.; Aznar-Díaz, I.; Cáceres-Reche, M.P.; Trujillo-Torres, J.M.; Romero-Rodríguez, J.M. Problematic internet use as a predictor of eating disorders in students: A systematic review and meta-analysis study. Nutrients 2019, 11, 2151. [Google Scholar] [CrossRef]
- Salisbury, L. Web of Science and Scopus: A Comparative Review of Content and Searching Capabilities. Charlest. Advis. 2009, 11, 5–18. [Google Scholar]
- Girvan, C. What is a virtual world? Definition and classification. Educ. Technol. Res. Dev. 2018, 66, 1087–1100. [Google Scholar] [CrossRef]
- Piaget, J. Science of Education and the Psychology of the Child; Coltman, D., Translator; Orion: New York, NY, USA, 1970. [Google Scholar]
- Vygotsky, L.S. Mind in Society: Development of Higher Psychological Processes; Cole, M., Jolm-Steiner, V., Scribner, S., Souberman, E., Eds.; Harvard University Press: Cambridge, MA, USA, 1978. [Google Scholar] [CrossRef]
- Bruner, J. A narrative model of self-construction. Ann. N. Y. Acad. Sci. 1997, 818, 145–161. [Google Scholar]
- Papert, S.A. Mindstorms: Children, Computers, and Powerful Ideas; Basic Books: New York, NY, USA, 2000. [Google Scholar]
- Kalogiannakis, M.; Papadakis, S.; Zourmpakis, A.I. Gamification in Science Education. A systematic review of the literature. Educ. Sci. 2021, 11, 22. [Google Scholar] [CrossRef]
- Grivokostopoulou, F.; Kovas, K.; Perikos, I. The Effectiveness of Embodied Pedagogical Agents and Their Impact on Students Learning in Virtual Worlds. Appl. Sci. 2020, 10, 1739. [Google Scholar] [CrossRef]
- Filippone, A.; Montepeloso, E.A.; Leone, R.; Bevilacqua, A. Cooperative learning in virtual worlds: An innovative teaching and learning experience for STEAM education. Ital. J. Educ. Res. 2023, 100–113. [Google Scholar] [CrossRef]
- Rohil, M.K.; Mahajan, S.; Paul, T. An architecture to intertwine augmented reality and intelligent tutoring systems: Towards realizing technology-enabled enhanced learning. Educ. Inf. Technol. 2025, 30, 3279–3308. [Google Scholar] [CrossRef]
- Kostadimas, D.; Kasapakis, V.; Kotis, K. A Systematic Review on the Combination of VR, IoT and AI Technologies, and Their Integration in Applications. Future Internet 2025, 17, 163. [Google Scholar] [CrossRef]
- Díaz, J.; Saldaña, C.; Avila, C. Virtual world as a resource for hybrid education. Int. J. Emerg. Technol. Learn. 2020, 15, 94–109. [Google Scholar] [CrossRef]
- Petrina, S.; Zhao, J.J. 3D Virtual learning environment for acquisition of cultural competence: Experiences of instructional designers. In Research Anthology on Virtual Environments and Building the Metaverse; IGI Global Scientific Publishing: Palmdale, PA, USA, 2023; pp. 675–701. [Google Scholar] [CrossRef]
- Paris, E.; Boniello, A.; Occhioni, M. Geoscience education using virtual worlds. Eur. Geol. 2020, 50, 39–44. [Google Scholar] [CrossRef]
- Filippone, A.; De Carlo, M.E.; Di Fuccio, R. Virtual English LAB: The Impact of Virtual Worlds on English Language Learning and Life Skills in Higher Education. Excell. Innov. Learn. Teach.—Open Access 2025, 10, 23–44. [Google Scholar] [CrossRef]
- Filippone, A.; Barbieri, U.; Marsico, E. Escape room in 3D virtual worlds: Reflections on new digital skills for innovative teaching by special educational teachers in training. Ital. J. Educ. Technol. 2025. Accepted Manuscript Online. [Google Scholar] [CrossRef]
- Filippone, A.; Ferulli, M.; Bevilacqua, A. Virtual Worlds and Eduverse: A reflection on the body, space and learning in the metaverse. Ital. J. Health Educ. Sport Incl. Didact. 2023, 7, 1–15. [Google Scholar] [CrossRef]
- Abd-Alrazaq, A.; AlSaad, R.; Alhuwail, D.; Ahmed, A.; Healy, P.M.; Latifi, S.; Aziz, S.; Damseh, R.; Alabed Alrazak, S.; Sheikh, J. Large Language Models in Medical Education: Opportunities, Challenges, and Future Directions. JMIR Med. Educ. 2023, 9, e48291. [Google Scholar] [CrossRef]
- Occhioni, M. Techland: Math and science in a virtual world. In Handbook of Research on Collaborative Teaching Practice in Virtual Learning Environments; IGI Global: Palmdale, PA, USA, 2017; pp. 407–426. [Google Scholar] [CrossRef]
- Lee, H.; Woo, D.; Yu, S. Virtual reality metaverse system supplementing remote education methods: Based on aircraft maintenance simulation. Appl. Sci. 2022, 12, 2667. [Google Scholar] [CrossRef]
- Filippone, A.; Barbieri, U.; Marsico, E.; De Carlo, M.E.; Di Fuccio, R. Teaching and Learning in 3D Virtual Worlds integrated with Intelligent Tutoring Systems: New perspectives for Virtual Reality, Eduverse and Artificial Intelligence in Education. Educ. Sci. Soc.-Open Access 2024, 15, 298–313. [Google Scholar] [CrossRef]
- Nkambou, R.; Brisson, J.; Tato, A.; Robert, S. Learning logical reasoning using an intelligent tutoring system: A hybrid approach to student modeling. In Proceedings of the AAAI Conference on Artificial Intelligence, Washington, DC, USA, 7–14 February 2023; Volume 37, pp. 15930–15937. [Google Scholar] [CrossRef]
- Hussain, S.; Meehan, K.; Qadir, J. Metaverse in education: Opportunities and challenges. Front. Educ. 2024, 9, 1411841. [Google Scholar] [CrossRef]
- Hernández-Campos, M.; Guzmán-Arias, L.C.; Aguilar-Cordero, J.F.; Rojas-Muñoz, E.; Leandro-Elizondo, R.; Law, Y.C. Improving Motivation and Learning Experience with a Virtual Tour of an Assembly Line to Learn about Productivity. Sustainability 2023, 15, 11407. [Google Scholar] [CrossRef]
- Fabris, C.P.; Rathner, J.A.; Fong, A.Y.; Sevigny, C.P. Virtual Reality in Higher Education. Int. J. Innov. Sci. Math. Educ. 2021, 27, 69–80. [Google Scholar] [CrossRef]
- Marougkas, A.; Troussas, C.; Krouska, A.; Sgouropoulou, C. Virtual Reality in Education: A Review of Learning Theories, Approaches and Methodologies for the Last Decade. Electronics 2023, 12, 2832. [Google Scholar] [CrossRef]
- Gesthuizen, R.; Tan, H.; Kidman, G. Inspired to build understanding: Learning about sustainability and environmental education from within a virtual world. Int. Res. Geogr. Environ. Educ. 2025, 34, 25–42. [Google Scholar] [CrossRef]
- Illi, C.; Elhassouny, A. Edu-Metaverse: A Comprehensive Review of Virtual Learning Environments. IEEE Access 2025, 13, 30187–30211. [Google Scholar] [CrossRef]
- Selwyn, N. Technology as a focus of education policy. In The Wiley Handbook of Educational Policy; John Wiley & Sons: Hoboken, NJ, USA, 2018; pp. 457–477. [Google Scholar]
- Biesta, G. Education, measurement and the professions: Reclaiming a space for democratic professionality in education. In Measuring up in Education; Routledge: Abingdon, UK, 2020; pp. 4–20. [Google Scholar]
- Oje, A.V.; Hunsu, N.J.; Fiorella, L. A Systematic Review of Evidence-based Design and Pedagogical Principles in Educational Virtual Reality Environments. Educ. Res. Rev. 2025, 100676. [Google Scholar] [CrossRef]
- Singh, B.; Kaunert, C.; Lal, S.; Arora, M.K. Enhancing AI-Augmented Classrooms: Teacher-Centric Integration of Intelligent Tutoring Systems and Adaptive Learning Environments. In Fostering Inclusive Education with AI and Emerging Technologies; IGI Global: Palmdale, PA, USA, 2025; pp. 99–130. [Google Scholar] [CrossRef]
- Bower, M.; Laurillard, D. Teaching as a Design Science: Building Pedagogical Patterns for Learning and Technology; Routledge: New York, NY, USA; London, UK, 2012; 258p. [Google Scholar]
- Zimmerman, B.J. Becoming a self-regulated learner: An overview. Theory Into Pract. 2002, 41, 64–70. [Google Scholar] [CrossRef]
- Choi-Lundberg, D.L.; Butler-Henderson, K.; Harman, K.; Crawford, J. A systematic review of digital innovations in technology-enhanced learning designs in higher education. Australas. J. Educ. Technol. 2023, 39, 133–162. [Google Scholar] [CrossRef]
- Malann, D.; Al-Turjman, F. Metaverse technology in education: An enhancement for the future. In Artificial Intelligence of Things; Morgan Kaufmann: San Francisco, CA, USA, 2025; pp. 23–36. [Google Scholar] [CrossRef]
- Bernal, S.L.; Pérez, M.Q.; Beltrán, E.T.M.; Pérez, G.M.; Celdrán, A.H. When brain-computer interfaces meet the metaverse: Landscape, demonstrator, trends, challenges, and concerns. Neurocomputing 2025, 625, 129537. [Google Scholar] [CrossRef]
- Dede, C. Immersive interfaces for engagement and learning. Science 2009, 323, 66–69. [Google Scholar] [CrossRef]
- Immordino-Yang, M.H.; Darling-Hammond, L.; Krone, C.R. Nurturing nature: How brain development is inherently social and emotional, and what this means for education. In Social and Emotional Learning; Routledge: Abingdon, UK, 2025; pp. 63–83. [Google Scholar]
- Livingstone, S.; Third, A.; Lansdown, G. Children’s rights in the digital environment: A challenging terrain for evidence-based policy. In The Routledge Companion to Digital Media and Children; Routledge: Abingdon, UK, 2025; pp. 378–389. [Google Scholar]
- Kujundziski, A.P.; Bojadjiev, J. Artificial Intelligence in Education: Transforming Learning Landscapes. In Reimagining Intelligent Computer-Assisted Language Education; IGI Global: Palmdale, PA, USA, 2020; pp. 1–54. [Google Scholar] [CrossRef]
- Papadimitriou, S.; Virvou, M. 21st Century Skills via Prosocial Educational Games with Responsible Artificial Intelligence: An Overview. In Artificial Intelligence—Based Games as Novel Holistic Educational Environments to Teach 21st Century Skills; Springer Nature: Berlin/Heidelberg, Germany, 2025; pp. 1–24. [Google Scholar]

| Inclusion Criteria | Exclusion Criteria |
|---|---|
| Studies evaluating the use of 3D Virtual Worlds in learning and teaching | Articles not meeting the inclusion criteria |
| Studies evaluating the use of Intelligent Tutoring Systems in learning and teaching | Duplicate articles |
| Case studies or good practices on the use of Virtual Worlds in learning and teaching | Articles not written in English |
| Case studies or examples of good practices on the use of Intelligent Tutoring Systems in learning and teaching | Conference proceedings, lecture proceedings, book chapters, and other non-peer-reviewed publications |
| Studies, case studies, or examples of good practices on the combined use of Virtual Worlds and Intelligent Tutoring Systems in learning and teaching | Articles written before 2018 |
| Original study designs (randomized, controlled, quasi-experimental and observational) that allow the evaluation of the effect of the intervention | Narrative reviews and/or meta-analyses that do not strictly meet the review inclusion criteria |
| Reviews or meta-analyses, if they clearly report specific results, demonstrate with well-defined parameters an effect of the use of Virtual Worlds and Intelligent Tutoring Systems on student learning, motivation or autonomy |
| Author | Title | Journal | NOS Score |
|---|---|---|---|
| Occhioni et al. [2] | Environmental education in distance learning: using Virtual Worlds to link geosciences and sustainability | Journal of Geoscience Education, 2024, 72, 393–407 | 8 |
| Damaševičius and Sidekerskienė [4] | Virtual Worlds for Learning in Metaverse: A Narrative Review | Sustainability, 2024, 16(5), 2032 | Na |
| Grivokostopoulou et al. [18] | The Effectiveness of Embodied Pedagogical Agents and Their Impact on Students Learning in Virtual Worlds | Applied Sciences, 2020, 10(5), 1739 | 8 |
| Filippone et al. [19] | Cooperative learning in virtual worlds: An innovative teaching and learning experience for STEAM education | Italian Journal of Educational Research, 2023, (31), 100–113 | 8 |
| Rohil et al. [20] | An architecture to intertwine augmented reality and intelligent tutoring systems: towards realizing technology-enabled enhanced learning | Education and Information Technologies, 2025, 30(3), 3279–3308 | 7 |
| Kostadimas et al. [21] | A Systematic Review on the Combination of VR, IoT and AI Technologies, and Their Integration in Applications | Future Internet, 2025, 17(4), 163 | Na |
| Diaz et al. [22] | Virtual world as a resource for hybrid education | International Journal of Emerging Technologies in Learning, 2020, 15(15), 94–109 | 7 |
| Petrina and Zhao [23] | 3D Virtual learning environment for acquisition of cultural competence: Experiences of instructional designers | In Research Anthology on Virtual Environments and Building the Metaverse, 2023, pp. 675–701). IGI Global Scientific Publishing | 7 |
| Paris et al. [24] | Geoscience education using virtual worlds | European Geologist, 2020, 50, 39–44 | 8 |
| Filippone et al. [25] | Virtual English LAB: The Impact of Virtual Worlds on English Language Learning and Life Skills in Higher Education | Excellence and Innovation in Learning and Teaching-Open Access, 2025, 10(1), 23–44 | 8 |
| Filippone et al. [26] | Escape room in 3D virtual worlds: Reflections on new digital skills for innovative teaching by special educational teachers in training | Italian Journal of Educational Technology, 2025, Accepted Manuscript Online | 8 |
| Author | Type of the Study | Objective of the Study | Sample-Related Target |
|---|---|---|---|
| Occhioni et al. [2] | Quasi-experimental | Environmental education with virtual worlds | School students in DAD (ages 13–18) |
| Damaševičius and Sidekerskienė [4] | Narrative Review | Theoretical analysis on the use of VWs in the metaverse | na |
| Grivokostopoulou et al. [18] | Experimental | Evaluating the effectiveness of pedagogical agents in VW | 8 |
| Filippone et al. [19] | Quasi-experimental | Cooperative learning in virtual worlds | 8 |
| Rohil et al. [20] | Theoretical-design | Integrated AR + ITS architecture for enhanced learning | 7 |
| Kostadimas et al. [21] | Systematic review | Review of VR, IoT, and AI in the application field | na |
| Diaz et al. [22] | Longitudinal | Evaluating the use of VWs in hybrid education | 7 |
| Petrina and Zhao [23] | Qualitative and Descriptive | Analysis of the acquisition of cultural competence in 3D environments | 7 |
| Paris et al. [24] | Experimental | Geoscience Education with VW | 8 |
| Filippone et al. [25] | Quasi-Experimental | English language learning and life skills at VW | 8 |
| Filippone et al. [26] | Quasi-Experimental | Digital skills development and educational innovation through escape rooms at VW | 8 |
| Author | Integration into Traditional Teaching | Methods of Influence on Study Autonomy | Relationship About Social Effects |
|---|---|---|---|
| Occhioni et al. [2] | High level of integration VW integrated into distance learning on environmental topics | Moderate level of influence Promoting environmental problem solving | Positive effects on increasing sustainable awareness |
| Damaševičius and Sidekerskienė [4] | Theoretical integration Reflection on future scenarios | High level of influence (theoretical) VW as self-directed learning tools | Potential effects on promoting online collaboration |
| Grivokostopoulou et al. [18] | High level of integration VW with pedagogical agents simulate teacher interaction | High level of influence Individualized guidance through agents | Neutral effects on more individual focus |
| Filippone et al. [19] | High level of integration VW integrati in progetti STEAM scolastici | Moderate level of influence Guided cooperative learning | Positive effects on development of collaboration and inclusion |
| Rohil et al. [20] | Conceptual integration Architectural Proposal for ITS + AR | High level of influence (potential) Customization and adaptability | Potential effects on increased technological engagement |
| Kostadimas et al. [21] | Variable integration based on the cases examined | It depends on the technology integrated | Dependent on the context of use |
| Diaz et al. [22] | High level of integration VW integrated into blended courses | High level of influence Personal path management | Positive effects on interaction and peer-learning |
| Petrina and Zhao [23] | Medium level of integration experiences integrated into project paths | High level of influence Self-training on cultural competence | Positive effects on development of intercultural thinking |
| Paris et al. [24] | High level of integration 3D simulations as an extension of lessons | Moderate level of influence Guided activities in VW | Positive effects on active student engagement |
| Filippone et al. [25] | High level of integration VW in combinazione con lezioni in aula | High level of influence Autonomous exploration of the virtual world | Very positive effects on cooperative learning and peer-feedback |
| Filippone et al. [26] | High level of integration Educational escape room as an innovative tool | High level of influence Autonomous solution of complex problems | Very positive effects on collaboration and motivation |
Disclaimer/Publisher’s Note: The statements, opinions and data contained in all publications are solely those of the individual author(s) and contributor(s) and not of MDPI and/or the editor(s). MDPI and/or the editor(s) disclaim responsibility for any injury to people or property resulting from any ideas, methods, instructions or products referred to in the content. |
© 2025 by the authors. Licensee MDPI, Basel, Switzerland. This article is an open access article distributed under the terms and conditions of the Creative Commons Attribution (CC BY) license (https://creativecommons.org/licenses/by/4.0/).
Share and Cite
Filippone, A.; Barbieri, U.; Marsico, E.; Bevilacqua, A.; De Carlo, M.E.; Di Fuccio, R. Can 3D Virtual Worlds Be Used as Intelligent Tutoring Systems to Innovate Teaching and Learning Methods? Future Challenges and Possible Scenarios for Metaverse and Artificial Intelligence in Education. Eng. Proc. 2025, 87, 110. https://doi.org/10.3390/engproc2025087110
Filippone A, Barbieri U, Marsico E, Bevilacqua A, De Carlo ME, Di Fuccio R. Can 3D Virtual Worlds Be Used as Intelligent Tutoring Systems to Innovate Teaching and Learning Methods? Future Challenges and Possible Scenarios for Metaverse and Artificial Intelligence in Education. Engineering Proceedings. 2025; 87(1):110. https://doi.org/10.3390/engproc2025087110
Chicago/Turabian StyleFilippone, Alfonso, Umberto Barbieri, Emanuele Marsico, Antonio Bevilacqua, Maria Ermelinda De Carlo, and Raffaele Di Fuccio. 2025. "Can 3D Virtual Worlds Be Used as Intelligent Tutoring Systems to Innovate Teaching and Learning Methods? Future Challenges and Possible Scenarios for Metaverse and Artificial Intelligence in Education" Engineering Proceedings 87, no. 1: 110. https://doi.org/10.3390/engproc2025087110
APA StyleFilippone, A., Barbieri, U., Marsico, E., Bevilacqua, A., De Carlo, M. E., & Di Fuccio, R. (2025). Can 3D Virtual Worlds Be Used as Intelligent Tutoring Systems to Innovate Teaching and Learning Methods? Future Challenges and Possible Scenarios for Metaverse and Artificial Intelligence in Education. Engineering Proceedings, 87(1), 110. https://doi.org/10.3390/engproc2025087110

