Abstract
Artificial intelligence (AI) has been on the agenda worldwide for at least 10 years. As more evidence of industry applications becomes apparent, it continues to gain momentum. In aviation, AI is seen as a new generation of “stealth engines” that drive the industry. This paper explores the application of AI technology in the aviation industry and its impact on the sustainable development of the industry. Through the method of systematic literature review, it has been found that while AI contributes to making more informed decisions and optimizing operational efficiency, addressing challenges such as regulatory compliance, ethical considerations, and cyber security is crucial to realizing its full potential responsibly and sustainably. By examining current trends and future prospects, this paper provides an overview of AI’s role in shaping the future aviation, aiming to balance technological progress with industry resilience and sustainability.
1. Introduction
In a world where Artificial Intelligence (AI) permeates virtually all fields of society, the functioning of each industry is undergoing profound changes. These accelerating changes, including the rise of AI, prompt a fundamental contemplation and analysis to ensure industries’ survival. The aviation industry, characterized by its stringent safety standards, complex operational dynamics, and global connectivity demands, is facing new complex challenges, such as rising fuel, environmental impacts, growing customer demand, and the development of new autonomous systems to save production time and costs [1]. Despite these challenges, aviation stands at the forefront of AI application, leveraging advanced algorithms and machine learning techniques to enhance safety and efficiency, as well as committing to sustainability. It is acknowledged that AI adoption in aviation is multifaceted, from virtual AI algorithms to physical humanoid robots. Some of the literature on AI in aviation emphasizes the introduced AI technologies in aeronautics and generally focuses on a single AI technology within particular types of aviation organizations, rather than providing broad overviews across the entire industry. For example, Miyamoto, Bendarkar, and Mavris [2] discussed the application of natural language processing in aircraft maintenance, while Yasuda et al. [3] investigated the potential to automate aircraft visual inspection with computer vision. Although these studies have looked into certain aspects of AI’s application in aviation, there is a lack of a broader perspective reviewing the impact of AI on aviation. This paper, therefore, will critically examine the multifaceted impact of AI on the aviation industry, analyzing the key opportunities and challenges as stakeholders navigate the complexities of integrating AI-driven solutions into aviation operations.
2. Methodology
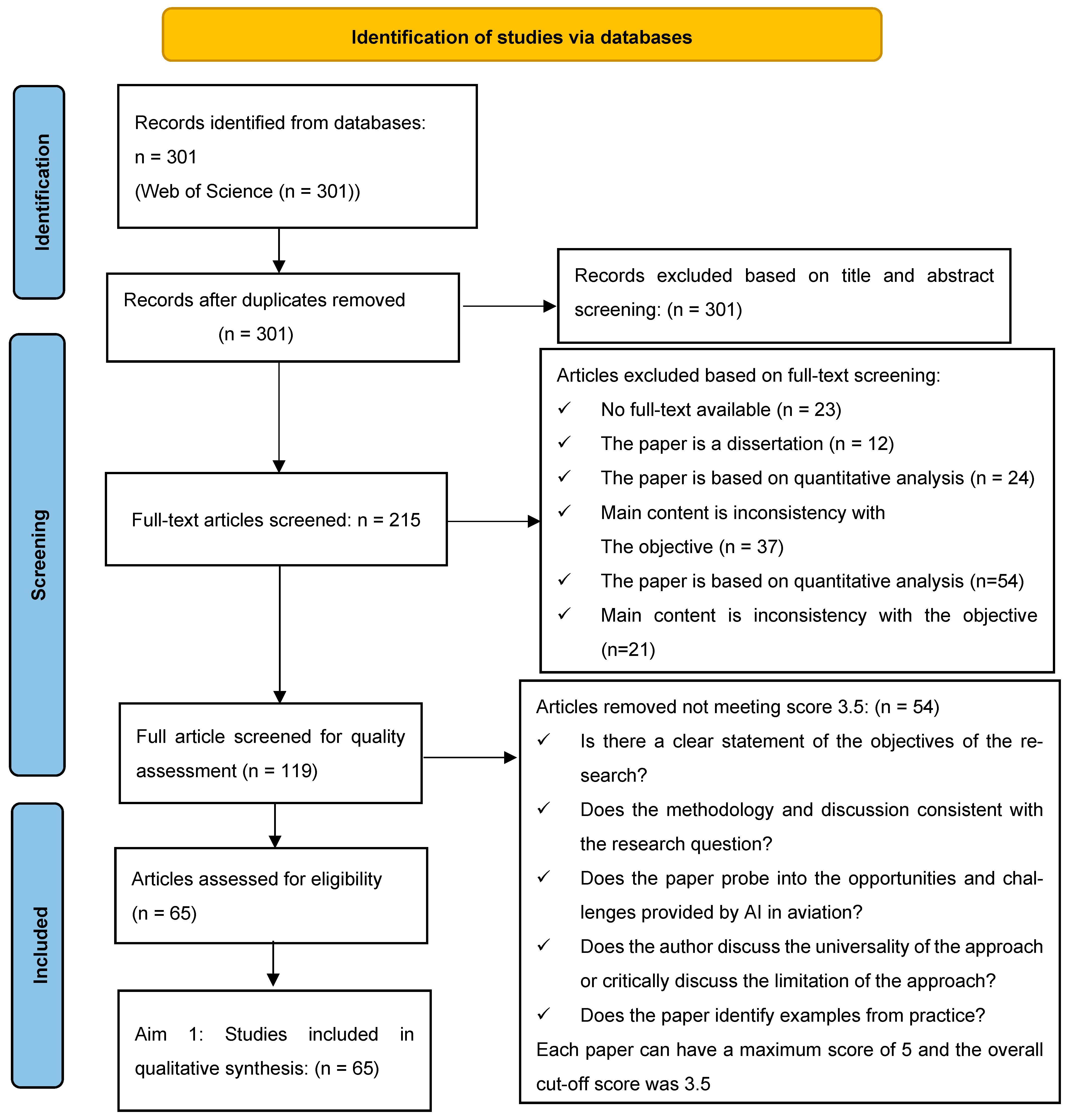
A systematic literature review (SLR) (as Figure 1) will be employed to comprehensively explore and synthesize existing research on the impact of AI in the aviation industry. This study complies with the Preferred Reporting Items for Systematic Reviews and Meta-Analysis (PRISMA) statement, which is the normative methodological guideline [4]. Informed by Pollock and Berge [5], the systematic literature review will be conducted in four stages: the formulation of a protocol, the collecting stage, the synthesizing stage, and the reporting stage. Prior to solely focusing on a certain aviation organization, it is necessary to review concepts and practices across the industry. Therefore, the objective of this systematic literature review is to understand AI in aviation in a broader sense and leverage its opportunities and challenges in guiding it towards a bright and sustainable future. In this stage, the PRISMA flowchart will be used to guide the study selection and quality assessment, and 65 papers will be included in the final analysis.
Figure 1.
Steps of systematic literature review.
3. Results and Discussion
Prior to engaging in the dialogue of the impact of AI on aviation, it is of paramount concern to identify the type of AI used in aviation. AI can generally be categorized into two main fields: logic-based AI and neural network-based AI. Logic-based AI is programmed with the logical thinking of the human brain, which can be traced back to the Leibniz’s philosophy in the 17th century that consciousness and perception cannot be realized by, nor reduced to, the mechanical operations of matter [6]. This type was dominant in the early days of AI, characterized by the use of “semantics” to recognize and analyze natural language. Whereas neural network-based AI functions on the basis of statistical predictive correlation, i.e., using statistical principles to analyze and process large amounts of data. It has been proven that neural network AI is currently the dominant paradigm of research in the field of aviation.
The results of the data show that AI is positively influencing performance in aviation. By combing the literature with the aid of the PRISMA chart, three observations can be listed as follows:
- Neural network-based AI has become dominant in aviation, in contrast to symbolic AI.
- AI is effectively used by aeronautical companies of different sizes, from the smallest ones to multinationals; it is also used across the overall process in aviation, from manufacture to maintenance.
- The data demonstrate an orientation of companies towards more informed decisions and improved operational efficiency, as well as two aspects that could cause challenges: regulatory and ethical issues and cyber security issues.
4. Conclusions
The majority of aviation companies are defined by their eagerness to optimize their production cycle, reduce costs, and enhance efficiency in their operations—in other words, improve overall performance [7]. Consequently, AI has become increasingly important but demanding in terms of complexity; also, its integration into aviation presents a transformative landscape filled with both opportunities and challenges. Based on an evaluation of 65 selected studies, the conclusions are as follows: Firstly, companies of all sizes in the aviation industry have examples of applying AI to the entire production line, particularly neural network-based AI. Secondly, while AI contributes to making more informed decisions and optimizing operational efficiency, addressing challenges such as regulatory compliance, ethical considerations, and cyber security is crucial to realizing its full potential responsibly and sustainably. The successful adoption of AI in aviation hinges on striking a delicate balance between leveraging technological advancements and addressing these multifaceted challenges. Due to the self-iterating nature of AI systems, there is also a need to develop new and more efficient verification processes to help realize the full potential of AI in further strengthening the aviation industry. With proactive measures in place, stakeholders can harness AI’s potential to propel the industry towards safer, more efficient, and passenger-centric operations, ensuring sustainable growth and resilience in an increasingly digital era.
Funding
This research received no external funding.
Institutional Review Board Statement
Not applicable.
Informed Consent Statement
Not applicable.
Data Availability Statement
The raw data supporting the conclusions of this article will be made available by the authors on request.
Conflicts of Interest
The author declares no conflicts of interest.
References
- Pierrat, E.; Rupcic, L.; Hauschild, M.Z.; Laurent, A. Global environmental mapping of the aeronautics manufacturing sector. J. Clean. Prod. 2021, 297, 126603. [Google Scholar] [CrossRef]
- Miyamoto, A.; Bendarkar, M.V.; Mavris, D.N. Natural Language Processing of Aviation Safety Reports to Identify Inefficient Operational Patterns. Aerospace 2022, 9, 450. [Google Scholar] [CrossRef]
- Yasuda, F.; Cappabianco, L.E.G.; Martins, J.A.B. Gripp Aircraft visual inspection: A systematic literature review. Comput. Ind. 2022, 141, 103695. [Google Scholar] [CrossRef]
- Tranfield, D.; Denyer, D.; Smart, P. Towards a methodology for developing evidence-informed management knowledge by means of systematic review. Br. J. Manag. 2003, 14, 207–222. [Google Scholar] [CrossRef]
- Pollock, A.; Berge, E. How to do a systematic review. Int. J. Stroke 2018, 13, 138–156. [Google Scholar] [CrossRef]
- Stanford Encyclopedia of Philosophy. 1997. Available online: https://plato.stanford.edu/entries/leibniz-mind/ (accessed on 23 June 2024).
- Zaoui, A.; Tchuente, D.; Wamba, S.F.; Kamsu-Foguem, B. Impact of artificial intelligence on aeronautics: An industry-wide review. J. Eng. Technol. Manag. 2024, 71, 101800. [Google Scholar] [CrossRef]
Disclaimer/Publisher’s Note: The statements, opinions and data contained in all publications are solely those of the individual author(s) and contributor(s) and not of MDPI and/or the editor(s). MDPI and/or the editor(s) disclaim responsibility for any injury to people or property resulting from any ideas, methods, instructions or products referred to in the content. |
© 2024 by the author. Licensee MDPI, Basel, Switzerland. This article is an open access article distributed under the terms and conditions of the Creative Commons Attribution (CC BY) license (https://creativecommons.org/licenses/by/4.0/).
