Short-Term Water Demand Forecasting Using Machine Learning Approaches in a Case Study of a Water Distribution Network Located in Italy †
Abstract
1. Introduction
2. Materials and Methods
2.1. Dataset Preprocessing
2.2. Water Demand Forecast Framework
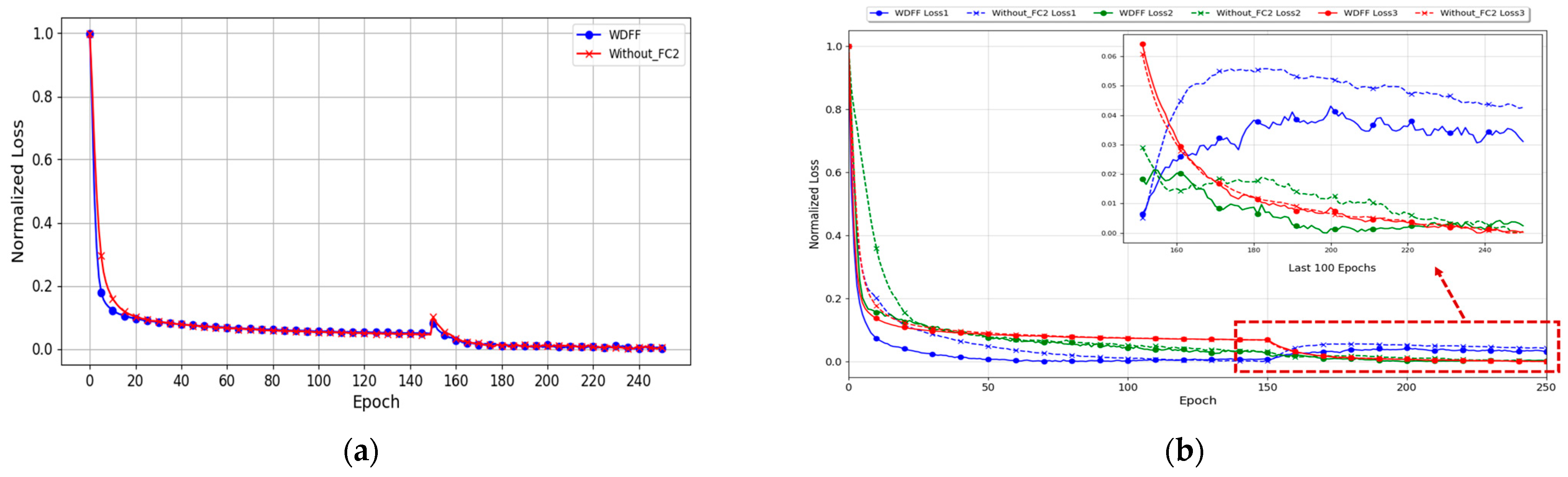
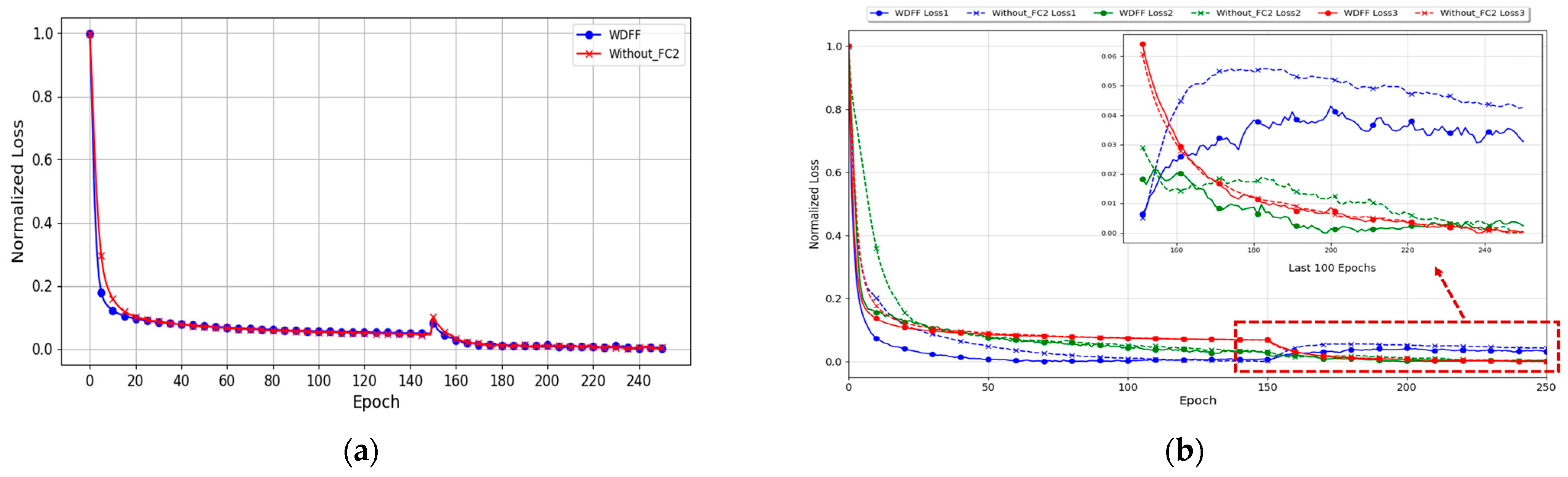
3. Results and Discussion
Author Contributions
Funding
Institutional Review Board Statement
Informed Consent Statement
Data Availability Statement
Acknowledgments
Conflicts of Interest
References
- Donkor, E.A.; Mazzuchi, T.A.; Soyer, R.; Roberson, J.A. Urban Water Demand Forecasting: Review of Methods and Models. J. Water Resour. Plan. Manag. 2014, 140, 146–159. [Google Scholar] [CrossRef]
- Ghalehkhondabi, I.; Ardjmand, E.; Young, W.A.; Weckman, G.R. Water demand forecasting: Review of soft computing methods. Environ. Monit. Assess. 2017, 189, 313. [Google Scholar] [CrossRef] [PubMed]
- Braun, M.; Bernard, T.; Piller, O.; Sedehizade, F. 24-Hours Demand Forecasting Based on SARIMA and Support Vector Machines. Procedia Eng. 2014, 89, 926–933. [Google Scholar] [CrossRef]
- Zanfei, A.; Brentan, B.M.; Menapace, A.; Righetti, M. A short-term water demand forecasting model using multivariate long short-term memory with meteorological data. J. Hydroinformatics 2022, 24, 1053–1065. [Google Scholar] [CrossRef]
- Zubaidi, S.L.; Gharghan, S.K.; Dooley, J.; Alkhaddar, R.M.; Abdellatif, M. Short-Term Urban Water Demand Prediction Considering Weather Factors. Water Resour. Manag. 2018, 32, 4527–4542. [Google Scholar] [CrossRef]
- Guo, G.; Liu, S.; Wu, Y.; Li, J.; Zhou, R.; Zhu, X. Short-Term Water Demand Forecast Based on Deep Learning Method. J. Water Resour. Plan. Manag. 2018, 144, 04018076. [Google Scholar] [CrossRef]



Disclaimer/Publisher’s Note: The statements, opinions and data contained in all publications are solely those of the individual author(s) and contributor(s) and not of MDPI and/or the editor(s). MDPI and/or the editor(s) disclaim responsibility for any injury to people or property resulting from any ideas, methods, instructions or products referred to in the content. |
© 2024 by the authors. Licensee MDPI, Basel, Switzerland. This article is an open access article distributed under the terms and conditions of the Creative Commons Attribution (CC BY) license (https://creativecommons.org/licenses/by/4.0/).
Share and Cite
Que, Q.; Gao, J.; Wu, W.; Cao, H.; Li, K.; Zhang, H.; He, Y.; Shen, R. Short-Term Water Demand Forecasting Using Machine Learning Approaches in a Case Study of a Water Distribution Network Located in Italy. Eng. Proc. 2024, 69, 177. https://doi.org/10.3390/engproc2024069177
Que Q, Gao J, Wu W, Cao H, Li K, Zhang H, He Y, Shen R. Short-Term Water Demand Forecasting Using Machine Learning Approaches in a Case Study of a Water Distribution Network Located in Italy. Engineering Proceedings. 2024; 69(1):177. https://doi.org/10.3390/engproc2024069177
Chicago/Turabian StyleQue, Qidong, Jinliang Gao, Wenyan Wu, Huizhe Cao, Kunyi Li, Hanshu Zhang, Yi He, and Rui Shen. 2024. "Short-Term Water Demand Forecasting Using Machine Learning Approaches in a Case Study of a Water Distribution Network Located in Italy" Engineering Proceedings 69, no. 1: 177. https://doi.org/10.3390/engproc2024069177
APA StyleQue, Q., Gao, J., Wu, W., Cao, H., Li, K., Zhang, H., He, Y., & Shen, R. (2024). Short-Term Water Demand Forecasting Using Machine Learning Approaches in a Case Study of a Water Distribution Network Located in Italy. Engineering Proceedings, 69(1), 177. https://doi.org/10.3390/engproc2024069177

