Deep Learning System for E-Waste Management †
Abstract
1. Introduction
2. Research Methodology
3. Data Collection
The Proposed Model
4. Result and Discussion
4.1. Model Architecture
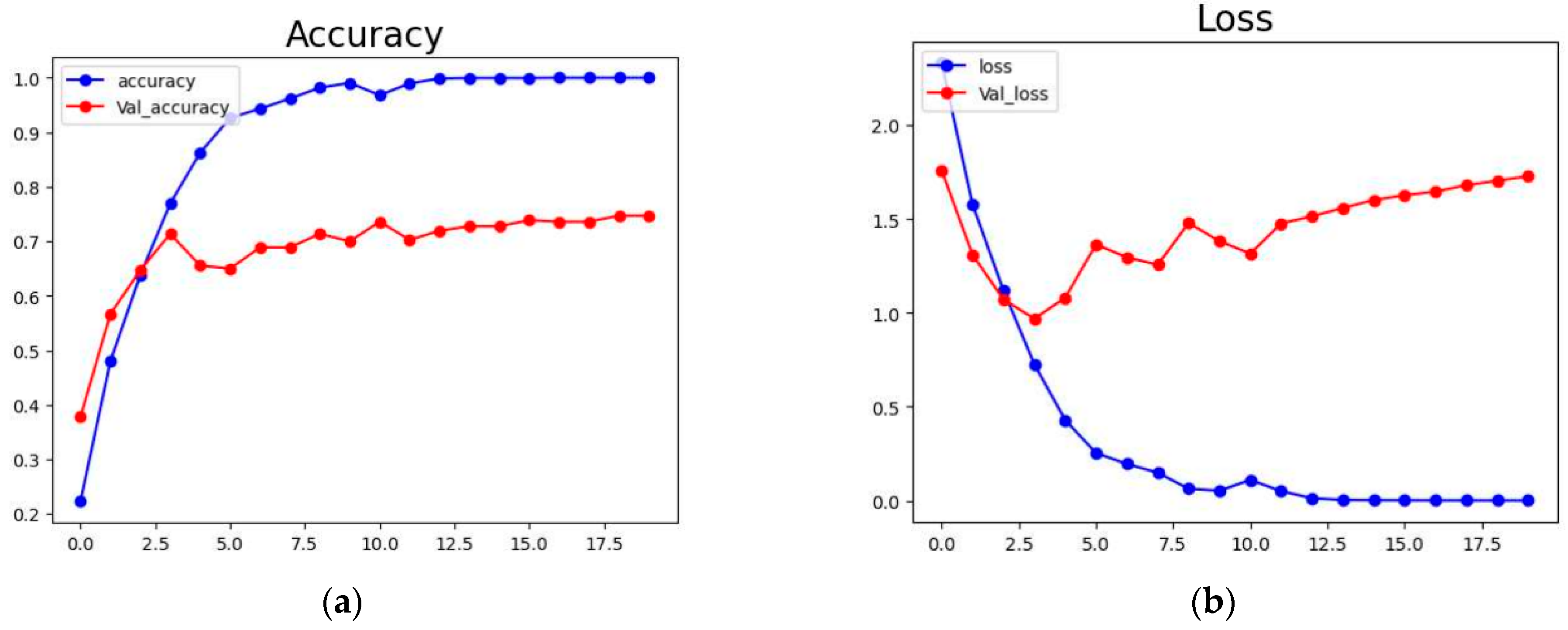
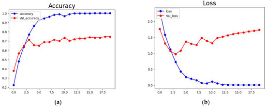
4.2. Plotting Performance
4.3. Evaluate Model Performance
Testing Performance
5. Conclusions
Author Contributions
Funding
Institutional Review Board Statement
Informed Consent Statement
Data Availability Statement
Conflicts of Interest
References
- Ahmed, M.I.B.; Alotaibi, R.B.; Al-Qahtani, R.A.; Al-Qahtani, R.S.; Al-Hetela, S.S.; Al-Matar, K.A.; Al-Saqer, N.K.; Rahman, A.; Saraireh, L.; Youldash, M.; et al. Deep Learning Approach to Recyclable Products Classification: Towards Sustainable Waste Management. Sustainability 2023, 15, 11138. [Google Scholar] [CrossRef]
- Akshat Tamrakar.E Waste Dataset. Kaggle Online Repository. Accessed on Kaggle Online Dataset Repository. Available online: https://www.kaggle.com/datasets/akshat103/e-waste-image-dataset (accessed on 13 April 2024).
- Anuardo, R.G.; Espuny, M.; Costa, A.C.F.; Espuny, A.L.G.; Kazançoğlu, Y.; Kandsamy, J.; De Oliveira, O.J. Transforming E-Waste into Opportunities: Driving Organizational Actions to Achieve Sustainable Development Goals. Sustainability 2023, 15, 14150. [Google Scholar] [CrossRef]
- Chand, P.; Lal, S. Waste Classification for Sustainable Development Using Image Recognition with Deep Learning Neural Network Model. Sensors 2022, 22, 9079. [Google Scholar] [CrossRef]
- Elangovan, S.; Sasikala, S.; Arun Kumar, S.; Bharathi, M.; Naveen Sangath’, E.; Subashini, T. A Deep Learning Based Multiclass Segregation of E-waste using Hardware Software Co-Simulation. J. Phys. Conf. Ser. 2021, 1997, 012039. [Google Scholar] [CrossRef]
- Graves, A.; Jaitly, N. Towards End-to-End Speech Recognitionwith Recurrent Neural Networks. In Proceedings of the 31st International Conference on International Conference on Machine Learning, Beijing, China, 21–26 June 2014; Volume 32. [Google Scholar]
- Mittal, I.; Tiwari, A.; Rana, B.; Singh, P. Trash Classification: Classifying garbage using Deep Learning. J. Eng. Sci. 2020, 11. [Google Scholar] [CrossRef]
- Niful, I.; Mehedi, H.; Emam, H.; Sunny, S.; Atikur, R.; Md, I.P. EWasteNet: A Two-Stream Data Efficient Image Transformer Approach for E-Waste Classification. In Proceedings of the 2023 IEEE 8th International Conference On Software Engineering and Computer Systems (ICSECS), 5 Penang, Malaysia, 25–27 August 2023. [Google Scholar] [CrossRef]
- Nafiz, M.S.; Das, S.S.; Morol, M.K.; Al Juabir, A.; Nandi, D. ConvoWaste: An Automatic Waste Segregation Machine Using Deep Learning. In Proceedings of the 2023 3rd International Conference on Robotics, Electrical and Signal Processing Techniques (ICREST), Dhaka, Bangladesh, 7–8 January 2023; pp. 181–186. [Google Scholar] [CrossRef]
- Oise, G. A Web Base E-Waste Management and Data Security System. Radinka J. Sci. Syst. Lit. Rev. 2023, 1, 49–55. [Google Scholar] [CrossRef]
- Oise, G.; Konyeha, S. E-Waste Management through Deep Learning: A Sequential Neural Network Approach. Fudma J. Sci. 2024, 8, 17–24. [Google Scholar] [CrossRef]
- Oise, G.P.; Konyeha, S. Harnessing Deep Learning for Sustainable E-Waste Management and Environmental Health Protection. Fudma J. Sci. 2024, 3, 17–24. [Google Scholar] [CrossRef]
- Oise Godfrey Perfectson. A Framework on E-Waste Management and Data Security System. Int. J. Transdiscipl. Res. Emerg. Technol. 2023, 1, 33–39. [Google Scholar]
- Oise Godfrey Perfectson. Environmental and Information Safety of End-of-Life Electronics. Int. Trans. Electr. Eng. Comput. Sci. 2024, 3, 86–91. [Google Scholar] [CrossRef]
- Roy, T.S.; Roy, J.K.; Mandal, N. Improvement in the performance of deep learning based on CNN to classify the heart sound by evaluating hyper-parameters. Soft Comput. 2024. [Google Scholar] [CrossRef]
- Van Delden, H.; Seppelt, R.; White, R.; Jakeman, A.J. A methodology for the design and development of integrated models for policy support. Environ. Model. Softw. 2011, 26, 266–279. [Google Scholar] [CrossRef]
- Widmer, R.; Oswald-Krapf, H.; Sinha-Khetriwal, D.; Schnellmann, M.; Böni, H. Global perspectives on e-waste. Environ. Impact Assess. Rev. 2005, 25, 436–458. [Google Scholar] [CrossRef]







| Layers (Types) | Outputs Shapes |
|---|---|
| Rescaling_5 (Rescaling) | (None, 224, 224, 3) |
| Conv2d_15 (conv2D | (None, 222, 222, 16) |
| Max_pooling2d_15 (MaxPooling2D) | (None, 11, 111, 16) |
| Conv2d_16 (Conv2D) | (None, 109, 109, 32) |
| Max_pooling2d_16 (MaxPooling2D) | (None, 54, 54, 32) |
| Conv2d_17 (Conv2D) | (None, 52, 52, 64) |
| Max_pooling2d (MaxPooling2D) | (None, 26, 26, 64) |
| Flatten_5 (FLATTEN) | (None, 43264) |
| Dense_10 (DNESE) | (None, 128) |
| Dense_11 (DNESE) | (None, 128) |
| Categories | Precision | Recall | F1_Scores | Support |
|---|---|---|---|---|
| Battery | 0.91 | 1.00 | 0.95 | 30 |
| Keyboard | 0.86 | 0.83 | 0.85 | 30 |
| Microwave | 0.80 | 0.80 | 0.80 | 30 |
| Mobile | 0.79 | 0.83 | 0.83 | 30 |
| Mouse | 0.84 | 0.70 | 0.76 | 30 |
| PCB | 1.00 | 0.90 | 0.95 | 30 |
| Player | 0.84 | 0.87 | 0.85 | 30 |
| Printer | 0.76 | 0.73 | 0.75 | 30 |
| Television | 0.84 | 0.87 | 0.85 | 30 |
| Washing Machine | 1.00 | 0.83 | 0.91 | 30 |
| Computer | 0.94 | 1.00 | 0.97 | 30 |
| Speaker | 0.83 | 0.97 | 0.89 | 30 |
| Accuracy | 0.86 | 360 | ||
| Macro Average | 0.87 | 0.86 | 0.86 | 360 |
| Weighted Average | 0.87 | 0.86 | 0.86 | 360 |
Disclaimer/Publisher’s Note: The statements, opinions and data contained in all publications are solely those of the individual author(s) and contributor(s) and not of MDPI and/or the editor(s). MDPI and/or the editor(s) disclaim responsibility for any injury to people or property resulting from any ideas, methods, instructions or products referred to in the content. |
© 2024 by the authors. Licensee MDPI, Basel, Switzerland. This article is an open access article distributed under the terms and conditions of the Creative Commons Attribution (CC BY) license (https://creativecommons.org/licenses/by/4.0/).
Share and Cite
Oise, G.P.; Konyeha, S. Deep Learning System for E-Waste Management. Eng. Proc. 2024, 67, 66. https://doi.org/10.3390/engproc2024067066
Oise GP, Konyeha S. Deep Learning System for E-Waste Management. Engineering Proceedings. 2024; 67(1):66. https://doi.org/10.3390/engproc2024067066
Chicago/Turabian StyleOise, Godfrey Perfectson, and Susan Konyeha. 2024. "Deep Learning System for E-Waste Management" Engineering Proceedings 67, no. 1: 66. https://doi.org/10.3390/engproc2024067066
APA StyleOise, G. P., & Konyeha, S. (2024). Deep Learning System for E-Waste Management. Engineering Proceedings, 67(1), 66. https://doi.org/10.3390/engproc2024067066

