Abstract
Due to the precarious underwater environment, many tasks are impossible to carry out with manned vehicles. It is due to the development of autonomous underwater vehicles (AUVs) that exploration, surveillance, and research have been carried out like never before. AUVs are now extensively used for lengthy missions but face challenges in maintaining an accurate position over a larger operational area due to water currents and oceanic complexities. Hence, more sophisticated navigation systems are required for AUVs. As global positioning systems (GPS) and radio signals are attenuated under water, it becomes difficult to navigate subsea areas. In this research work, we propose the accurate position estimation of an AUV by a Kalman filter using an inertial navigation system (INS). In the MATLAB environment, a sample of the INS accelerometer’s data is simulated to determine position from acceleration using the Kalman filter, and the double integration method of determining position is contrasted. Our experimental results imply that our suggested method produces better outcomes.
1. Introduction
AUVs are robotic vehicles with a propulsion system for navigation and an embedded computer for decision making [1]. It belongs to the class of unmanned underwater vehicles (UUVs). AUVs can perform a broad range of subsea tasks in both civil and military settings, including the monitoring of ocean pollutants [1], the search for mines [2], the exploration of marine science [3], the inspection of pipelines [4], anti-submarine warfare [5], etc. For these applications, AUVs require localization and precise sensor technologies. Alternatively put, a measurement is only useful if its time, place, and orientation are precisely known. It is critical to have the right equipment when using AUVs to carry out these measurements.
Accurate location and orientation information must be time-synchronized with each measurement taken. However, it is difficult to meet these requirements due to the rapid attenuation of higher-frequency signals, unstructured nature of the undersea environment, and unavailability of global positioning system (GPS) signals underwater. Inaccurate localization could cause the vehicle to deviate from the pre-planned mission route, resulting in an inaccurate geo-located dataset and a compromised mission. In the worst cases, mission failure could result in an AUV being lost or destroyed.
AUV localization has been the subject of numerous studies. In this research work, the inertial navigation system (INS) is utilized to obtain the AUV’s position information and to eradicate the noise of sensor readings using a Kalman filter.
The paper is setup as follows: The literature review for this study on localization techniques is presented in Section 2. The problems with AUV navigation are discussed in Section 3. The methodology is presented in Section 4. Section 5 contains the Results and Discussion. Section 6 offers the Conclusions.
2. Literature Review
For an autonomous underwater vehicle to properly perform its objective, accurate localization information is necessary. In this assessment of the literature, we looked into the numerous navigational methods put forth by academics.
In the paper title “A particle filter approach for AUV localization” by [6], the particle filter technique was used for AUV localization. The results from their experiments validated the algorithm’s great performance, which was unaffected by noisy measurements.
An occupancy-grid-based SLAM technique for AUVs was proposed in [7]. A local map was taken from the entire map and applied to each sonar scan as a scanning grid map. The map matching procedure was then optimized using the PSO-GA. The AUV status was then corrected using the position and orientation determined with the matching procedure. The updated grid map was updated based on the modified AUV status, which also converted the sonar data into a global coordinate. Field data showed that the suggested SLAM system can adapt to underwater environments and is accurate enough for ocean engineering applications.
A stereo visual odometry system was proposed for AUV navigation in the paper titled “Selective visual odometry for accurate AUV localization” written by [8]. The method solely uses local information and achieves a minimal drift error even for long distances.
An acoustic localization technique for small, low-cost autonomous underwater vehicles (AUVs) was presented in the publication “One-Way Travel-Time Inverted Ultra-Short Baseline Localization for Low-Cost Autonomous Underwater Vehicles” by [9]. An instantaneous estimation of an AUV’s location was provided by its ultrashort baseline (USBL) receiver array, which calculates the range, azimuth, and inclination to the transmitter using one-way traveltime (OWTT) and phased-array beamforming.
A stereo-vision-based AUV navigation system to reset the integrated INS error was proposed in the paper “Stereo-vision-based AUV navigation system for resetting the inertial navigation system error” by [10]. Using INS and the stereo-vision system, AUV navigation and docking station return tests were carried out in a test tank. The suggested method could dock the AUV and reset the integrated INS error, according to their experimental findings.
In the work “Adaptive Step Size Learning With Applications to Velocity Aided Inertial Navigation System” presented by [11], an adaptive tuning approach based on supervised learning to choose the right INS step size was provided. In order to achieve this, a velocity error bound was established, allowing the INS/DVL or the INS/GNSS fusion filter to operate under less-than-ideal conditions while still reducing the computing load. The results from the simulations and field tests demonstrated the advantages of applying their suggested strategy. Their suggested architecture can also be used in other fusion scenarios involving different kinds of platforms or sensors.
The paper “AUV localization in an underwater acoustic positioning system” written by [12] proposed a method for AUV localization by looking into various sources of source localization uncertainty in an underwater acoustic positioning system. The non-linear analyses’ findings were contrasted with linearized uncertainty estimates. Linearization errors were demonstrated to be negligibly large for each factor, and the paper concluded that a linearized estimate can be used for the localized uncertainty of an AUV.
3. Problem Statement
A stable and dependable navigation system is necessary for AUVs to successfully complete missions. Due to the sea’s unknown environment and the fact that GPS and GNSS satellites do not operate underwater, underwater navigation becomes more challenging. Researchers have developed a number of navigational methods, such as inertial navigation systems and acoustic navigation systems. The acoustic position system gives us direct estimates of the position between points. But, this method is expensive and operationally demanding. Therefore, it is necessary to create an AUV navigation system that can pinpoint its location using sensor data. In this research work, we design a navigational system for an AUV using an inertial navigation system technique based on the dead reckoning system [13] concept.
4. Methodology
In this paper, we employ an AUV localization technique that uses data from inertial navigation sensors; then, the double integration method and a Kalman filter will be used to estimate the AUV’s position using the accelerometers’ output, its acceleration. The system first determines and estimates the state variables before adjusting them as necessary. Second, the measurements are continually updated in order to compute the error correction and state prediction. The Kalman filter (KF) achieves a precise position by reducing the impact of unnecessary noise on state estimation [14]. Figure 1 presents the methodology for the localization.
Figure 1.
System underlying the structure.
Due to the lack of actual INS data from the AUV, sample data were collected to validate our proposed method over an 1800 m loop around the university campus over 250 ms. According to Figure 2, the test system consists of an Arduino board and an ADXL-335 accelerometer module. This approach appeared to be the most achievable and useful for actual research. The data were then passed through the Kalman Filter and double integration algorithms for testing. In this experiment, the two algorithms were examined and further compared.
Figure 2.
Test system prototype.
4.1. Double Integration
By using the double integration method, it is possible to determine a vehicle’s displacement from its acceleration. This method is simpler and less expensive while still proving to be reliable due to its built-in filtering capabilities as a pseudo low-pass filter, which gives the data that are needed for this study. For calculating the distance, the following formula was used. Figure 3 shows a flow diagram of the double integration process.
where x, y, z are the distance of their respective axes.
Figure 3.
Flowchart of double integration process.
4.2. Kalman Filter
On the basis of the equation of motion, the Kalman estimator algorithm was used; the state equations are as follows:
As demonstrated, velocity and position information can be taken from the experiment-measured acceleration input. The Kalman estimator then receives these data and predicts the output based on the measured data. The following parameters are modified for analysis, along with their respective ranges as shown in Table 1.
Table 1.
Adjusted parameters for the system.
5. Results and Discussion
In order to estimate position of an AUV, the ADXL-355 module was used to acquire test data, which was then used as described in Section 4. The module offers accelerometer data in all three Cartesian coordinate systems but for simplicity, only the XY plane was taken into consideration. The results of corresponding methods and their comparative analysis are presented in the subsections.
5.1. Double Integration Method Result
The acceleration readings contain some noise and error, as seen in Figure 4 and Figure 5. The first integration results depicted in Figure 6 and Figure 7 make it obvious that the integration procedure naturally eliminated noise readings. The displacement in the x and y directions is shown in Figure 8 and Figure 9, respectively, after being double-integrated.
Figure 4.
Acceleration for x-axis.
Figure 5.
Acceleration for y-axis.
Figure 6.
Velocity for x-axis.
Figure 7.
Velocity for y-axis.
Figure 8.
Displacement for x-axis.
Figure 9.
Displacement for y-axis.
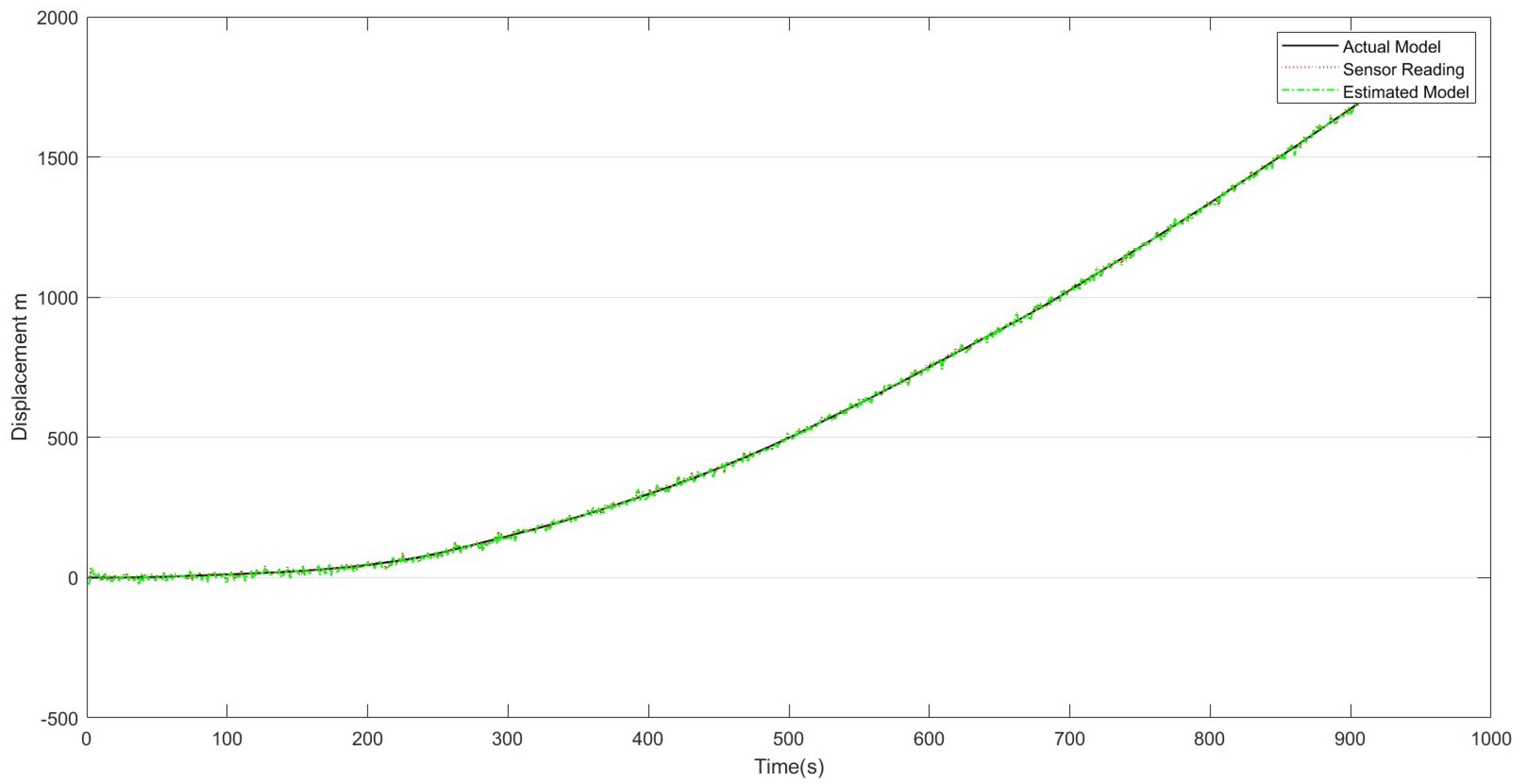
5.2. Kalman Filter Result
Figure 10 and Figure 11 show the Kalman filter’s results. The KF performs significantly better, and its state space is more closely aligned with its actual state. The dateset is supported by the parameters chosen. The accuracy of the method is evaluated using the evaluation metric root mean square error (RSME), and the measurement and estimation RSME of the Kalman filter is 0.4960.
Figure 10.
Displacement for y-axis.
Figure 11.
Displacement for y-axis.
5.3. Comparative Analysis
We can infer from Figure 8, Figure 9, Figure 10 and Figure 11 that the Kalman filter prediction model is in close agreement with the estimated position compared with the double integration method. According to the findings, the Kalman filter is recommended since it offers a more precise prediction model. Despite the small implementation scale, the simulated data show that the suggested methodology is useful for locating AUVs. However, the results may lose linearity and errors may grow if real AUV data are used instead. In that case, an extended or unscented Kalman filter will be required to handle the nonlinear data.
6. Conclusions
In this paper, we simulated a vehicle’s accelerometer data to determine its position as a test scenario for AUV localization because of the unavailability of the AUV’s original data. The experimental results compared two methods using the double integration of acceleration and sensor data fused with a Kalman filter. The experimental results show that, in the double integration method, position error increases with time, whereas the results with the Kalman filter follow the actual path trajectory, thus showing that the Kalman filter gives a better estimate of position compared with the double integration method.
Author Contributions
Conceptualization, methodology, software, hardware testing, validation, B.R.; formal analysis, writing—original draft preparation, M.A. (Maryam Arshad); writing—review and editing, M.A. (Maria Ashraf); and visualization, supervision, S.S.H.Z. All authors have read and agreed to the published version of the manuscript.
Funding
This research received no external funding.
Institutional Review Board Statement
Not applicable.
Informed Consent Statement
Not applicable.
Data Availability Statement
The data presented in this study are available on request from the corresponding author. The data are not publicly available due to privacy.
Conflicts of Interest
The authors declare no conflict of interest.
References
- Vasilijević, A.; Nađ, Đ.; Mandić, F.; Mišković, N.; Vukić, Z. Coordinated Navigation of Surface and Underwater Marine Robotic Vehicles for Ocean Sampling and Environmental Monitoring. IEEE/ASME Trans. Mechatron. 2017, 22, 1174–1184. [Google Scholar] [CrossRef]
- Hagen, P.E.; Hansen, R.E.; Gade, K.; Hammerstad, E. Interferometric synthetic aperture sonar for AUV based mine hunting: The SENSOTEK project. In Proceedings of the Unmanned Systems 2001, Baltimore, MD, USA, 31 July–2 August 2001. [Google Scholar]
- Pascoal, A.; Oliveira, P.; Silvestre, C.; Sebastião, L.; Rufino, M.; Barroso, V.; Gomes, J.; Ayela, G.; Coince, P.; Cardew, M.; et al. Robotic ocean vehicles for marine science applications: The european asimov project. In Proceedings of the OCEANS 2000 MTS/IEEE Conference and Exhibition. Conference Proceedings (Cat. No. 00CH37158), Providence, RI, USA, 11–14 September 2000; Volume 1, pp. 409–415. [Google Scholar] [CrossRef]
- Liu, Y.; Wang, F.; Lv, Z.; Cao, K.; Lin, Y. Pixel-to-action policy for underwater pipeline following via deep reinforcement learning. In Proceedings of the 2018 IEEE International Conference of Intelligent Robotic and Control Engineering (IRCE), Lanzhou, China, 24–27 August 2018; pp. 135–139. [Google Scholar]
- Been, R.; Hughes, D.T.; Potter, J.R.; Strode, C. Cooperative anti-submarine warfare at NURC moving towards a net-centric capability. In Proceedings of the OCEANS’10 IEEE SYDNEY, Sydney, NSW, Australia, 24–27 May 2010; pp. 1–10. [Google Scholar]
- Maurelli, F.; Krupinski, S.; Petillot, Y.; Salvi, J. A particle filter approach for AUV localization. In Proceedings of the OCEANS 2008, Quebec City, QC, Canada, 15–18 September 2008; pp. 1–7. [Google Scholar] [CrossRef]
- Mu, X.; Yue, G.; Zhou, N.; Chen, C. Occupancy Grid-Based AUV SLAM Method with Forward-Looking Sonar. J. Mar. Sci. Eng. 2022, 10, 1056. [Google Scholar] [CrossRef]
- Bellavia, F.; Fanfani, M.; Colombo, C. Selective visual odometry for accurate AUV localization. Auton. Robot. 2017, 41, 133–143. [Google Scholar] [CrossRef]
- Rypkema, N.R.; Fischell, E.M.; Schmidt, H. One-way travel-time inverted ultra-short baseline localization for low-cost autonomous underwater vehicles. In Proceedings of the 2017 IEEE International Conference on Robotics and Automation (ICRA), Singapore, 29 May–3 June 2017; pp. 4920–4926. [Google Scholar] [CrossRef]
- Hsu, H.Y.; Toda, Y.; Yamashita, K.; Watanabe, K.; Sasano, M.; Okamoto, A.; Inaba, S.; Minami, M. Stereo-vision-based AUV navigation system for resetting the inertial navigation system error. Artif. Life Robot. 2022, 27, 165–178. [Google Scholar] [CrossRef]
- Or, B.; Klein, I. Adaptive Step Size LearningWith Applications to Velocity Aided Inertial Navigation System. IEEE Access 2022, 10, 85818–85830. [Google Scholar] [CrossRef]
- Thomson, D.; Dosso, S. AUV localization in an underwater acoustic positioning system. In Proceedings of the 2013 MTS/IEEE OCEANS, Bergen, Norway, 10–14 June 2013; pp. 1–6. [Google Scholar] [CrossRef]
- Brossard, M.; Barrau, A.; Bonnabel, S. AI-IMU dead-reckoning. IEEE Trans. Intell. Veh. 2020, 5, 585–595. [Google Scholar] [CrossRef]
- Liu, J.; Guo, G. Vehicle localization during GPS outages with extended Kalman filter and deep learning. IEEE Trans. Instrum. Meas. 2021, 70, 1–10. [Google Scholar] [CrossRef]
Disclaimer/Publisher’s Note: The statements, opinions and data contained in all publications are solely those of the individual author(s) and contributor(s) and not of MDPI and/or the editor(s). MDPI and/or the editor(s) disclaim responsibility for any injury to people or property resulting from any ideas, methods, instructions or products referred to in the content. |
© 2023 by the authors. Licensee MDPI, Basel, Switzerland. This article is an open access article distributed under the terms and conditions of the Creative Commons Attribution (CC BY) license (https://creativecommons.org/licenses/by/4.0/).










