Abstract
The distinction of inter-turn short-circuit faults (ITSCF) from abnormal conditions, such as an unbalanced voltage supply condition, has been challenging over the last few years. The asymmetries caused by both conditions are similar, therefore the detection of ITSCF becomes a difficult task. An ITSCF diagnostic approach based on the analysis of the electrical potential of the midpoint of the stator star, in a symmetrical six-phase induction motor (S6PIM) supplied by unbalanced voltages, is addressed in this paper. Simulation results, covering different load torques, unbalanced supply voltage levels, and fault severities, are presented in order to prove the effectiveness of the proposed technique.
1. Introduction
Six-phase induction motors are attracting attention due to their high reliability and intrinsic fault tolerance, especially the ones with a symmetrical winding layout since this layout provides enhanced fault tolerance [1,2,3].
Representing approximately 60 percent of the total faults that occur in mid-power electric motors, ITSCF are the most challenging fault to diagnose in an electric motor [4,5], especially when they occur simultaneously with unbalanced supply voltage or load variation conditions. Whenever these conditions take place, the existing online fault diagnostic methods have demonstrated difficulties in detecting short-circuit faults since the unbalanced supply voltage condition shares the same symptom as the ITSCF, and the load variations make the ITSCF imperceptible during the transient periods [6,7].
One of the simplest and most robust techniques, which can be used to appropriately diagnose an ITSCF, is the analysis of the midpoint electrical potential of the stator star, which has already been proposed in the literature. Indeed, in [8], an inter-turn short-circuit fault is detected in three-phase permanent magnet synchronous motors, under balanced conditions. Discrimination between both ITSCF and demagnetizing faults is analyzed in [9]. The detection of broken rotor bars and ITSCF in a three-phase induction motor is carried out in [10]. In [11,12], the discrimination between both ITSCF and unbalanced supply voltage conditions is made by combining the zero-sequence component with the high-frequency injection method. The discrimination between ITSCF and high resistive connections, performed in a nine-phase permanent magnetic synchronous machine, is reported in [13]. All these works present effective results regarding the severity degree of an ITSCF. However, the exploitation of the phase fault location is only approached in [14], and the ITSCF diagnostics based on the analysis of the midpoint electrical potential of the stator star under unbalanced supply voltage conditions is not addressed.
This paper reports on the diagnostics of ITSCF under the presence of unbalanced supply voltages through the analysis of the midpoint electrical potential of the stator star. Both fault severity factor and faulty phase angle are analyzed from the measured data of an S6PIM, operating under unbalanced supply voltage conditions, and at different load torque levels. The presented simulation results confirm the effectiveness of the technique for different severity levels and fault phases.
2. Symmetrical Six-Phase Induction Motor Model Featuring Inter-Turn Short-Circuit Faults
The occurrence of an ITSCF in the phase A winding of the S6PIM is characterized in Figure 1, where phase A winding is divided into a healthy part (NAh) and a faulty part (NAsc), and a fault contact resistor (Rk) is connected, in parallel, between the faulty turns.
Figure 1.
Schematics of the S6PIM containing an ITSCF in phase A winding.
Considering the steady-state reference frame (abcdef) and the phase shift of 60 degrees between phases, the equations of the S6PIM are described as [15]:
where the stator and rotor circuits are characterized in the first and the second equation, respectively, and the dynamic mechanical balance in the shaft is described by the last two equations. In (1), , , and are the stator phase voltages and the stator and rotor phase currents vectors, respectively, and are the stator and rotor resistance matrix, respectively, and are the flux linkage matrices of the stator and rotor, respectively, is the number of pole pairs, is the synchronous angular speed, is the mechanical angular speed, is the moment of inertia, and , and , are the electromechanical torque, load torque, and torque for self-ventilation and friction, respectively.
3. Analysis of the Midpoint Electrical Potential of the Stator Star for Fault Diagnostics
When a motor is star connected, each motor phase is supplied by the following voltages:
where, ideally, the midpoint electrical potential () is null when the motor is operating healthily. However, in the event of an ITSCF or an unbalanced supply voltage condition, is no longer null due to the asymmetry generated by these conditions.
Considering the fault current (), the short-circuit turns ratio () and the source voltages (), the midpoint electrical potential of the stator star is deducted as follows [15]:
If the motor is fed by a balanced supply voltage and an inter-turn short-circuit fault occurs, ideally, the first term of Equation (3) is null and is equal to the fault-related term. On the other hand, the first term is only affected by the presence of an unbalanced supply voltage condition. Thus, it is possible to isolate the fault-related term by the following subtraction:
and an ITSCF can be detected regardless of whether there is an unbalanced supply voltage condition or not. A sinusoidal wave oscillating at the fundamental frequency results from (4), whose amplitude and phase angle are both affected as a function of the fault severity.
The amplitude of the fault-related component at the fundamental frequency, as well as its phase angle, can be determined through the application of the Fast Fourier Transform. Therefore, the severity factor (SF) and the faulty phase angle (FPA) are defined as follows:
where is the voltage peak value of the fault-related component; is the fundamental frequency (50 Hz); and is the phase angle.
Therefore, the presence of an ITSCF increases the amplitude of and the angle of is related to the faulty phase.
4. Results and Discussion
To validate the effectiveness of the fault diagnostic technique, the model and the fault diagnostic technique were implemented in Matlab/Simulink environment, as shown in Figure 2. The S6PIM is fed by a three-phase system, under balanced and unbalanced supply voltage conditions. The detailed features and parameters of this machine, as well as the validation of the model, including the ITSCF, are presented in [15]. A resistor is connected in series with the motor phase A winding to cause a resistive unbalanced supply voltage. Its value is adjusted so as to decrease the voltage to 4% of the rated supply voltage (150 V).
Figure 2.
Matlab/Simulink model of the S6PIM for the diagnostic of the ITSCF.
The inter-turn short-circuit was performed considering four scenarios of severity (6, 12, 19, and 23 shorted turns of 138 turns per phase) with a fault contact resistance value of 0.5 Ω. The fault was also applied in different phase windings.
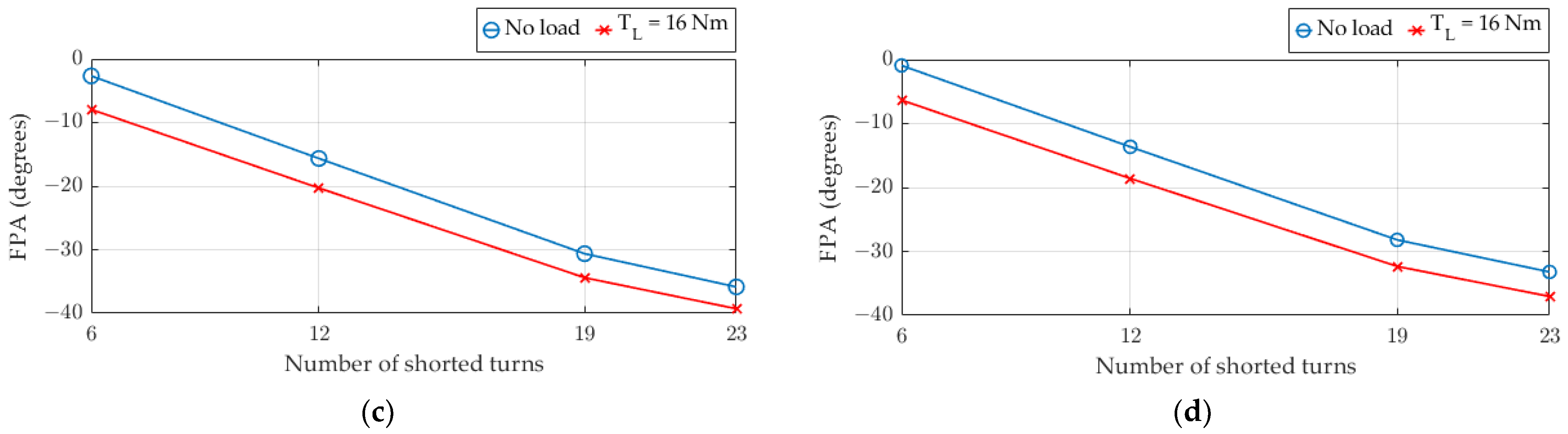
Figure 3 presents the simulation results for the S6PIM with ITSCF in phase A winding, for two load levels (no load and 16 Nm load torque). Figure 3a,b depict the SF as a function of the number of shorted turns, for the cases of balanced and unbalanced supply voltage conditions, respectively. As expected, the SF increases as the fault becomes more severe and the values are practically the same for both conditions and both load levels, proving the immunity against both unbalanced supply voltage conditions and load variations. Figure 3c,d display the FPA for the cases of balanced and unbalanced supply voltage conditions, respectively. The FPA of both figures demonstrates slight differences between the two different load torques since the increase in the load torque introduces a deviation in the phase angle of the phase A current, which in turn affects the fault current. Nevertheless, it is not problematic for the location of the faulty phase as the behavior of both curves is identical. The presented decreasing behavior has to do with the way of the motor rotation. Though, for a better understanding of the location of the faulty phase, it is important to compare the behavior of the FPA when an ITSCF occurs in a different winding phase (phase B, C, D, E or F). This comparison is presented in Figure 4a,b.

Figure 3.
SF and FPA as a function of the number of the shorted turns of the phase A winding for the motor operation at no load and 16 Nm load torque: (a) SF for the case of the motor operating under balanced supply voltage; (b) SF for the case of the motor operating under unbalanced supply voltage of 4% of the rated voltage; (c) FPA for the case of the motor operating under balanced supply voltage; (d) FPA for the case of the motor operating under unbalanced supply voltage of 4% of the rated voltage.
Figure 4.
FPA for the occurrence of ITSCF in each phase winding for the condition of unbalanced supply voltage of 4% of the rated voltage and a fault resistor of 0.5 Ω: (a) case of the motor operating at no load; (b) case of the motor operating at 16 Nm load torque.
Figure 4 shows the FPA for the case of the occurrence of an ITSCF in the different motor phase windings, individually, for a fault resistor of 0.5 Ω. Moreover, Figure 4a,b include data for the motor operation at no-load and 16 Nm load torque, respectively, under unbalanced supply voltage conditions (4% of the rated voltage) introduced in phase A. As can be seen, the FPAs are very distinctive for different faulty phases. Moreover, they also decrease in the same proportion as the number of shorted turns increases. Despite this behavior, the FPA remains very distinctive between both phases. In effect, the difference between the FPA of all phases is always nearly 60 degrees for the different fault severities, which means that the phase shift is respected.
5. Conclusions
This paper reports on the diagnostics of ITSCF under the presence of unbalanced supply voltages through the analysis of the midpoint electrical potential of the stator star. This technique cancels the effect caused by the unbalanced supply voltage condition by subtracting the source voltages from the midpoint electrical potential, as is presented in (4). Hence, the fault-related component can be easily determined. Although the necessity to have access to the midpoint of the stator is taken as a drawback, the results show that the reliability and robustness of the technique can be clearly seen as an advantage.
Possible future topics could be focused on the discrimination between other types of faults, such as eccentricity, broken rotor bars, bearing faults, etc., and the immunity of the technique under different abnormal conditions, such as load fluctuations.
Author Contributions
Conceptualization, H.R.P.A., D.S.B.F. and A.J.M.C.; methodology, H.R.P.A., D.S.B.F. and A.J.M.C.; software, H.R.P.A. and D.S.B.F.; validation, H.R.P.A. and D.S.B.F.; formal analysis, H.R.P.A. and D.S.B.F.; investigation, H.R.P.A., D.S.B.F. and A.J.M.C.; resources, A.J.M.C.; data curation, H.R.P.A. and D.S.B.F.; writing—original draft preparation, H.R.P.A.; writing—review and editing, D.S.B.F. and A.J.M.C.; visualization, H.R.P.A., D.S.B.F. and A.J.M.C.; supervision, A.J.M.C.; project administration, A.J.M.C.; funding acquisition, A.J.M.C. All authors have read and agreed to the published version of the manuscript.
Funding
This work was supported by Portuguese Foundation for Science and Technology (FCT) under Projects UIDB/04131/2020, UIDP/04131/2020, and UI/BD/153572/2022.
Institutional Review Board Statement
Not applicable.
Informed Consent Statement
Not applicable.
Data Availability Statement
Not applicable.
Conflicts of Interest
The authors declare no conflict of interest.
References
- Levi, E. Multiphase electric machines for variable-speed applications. IEEE Trans. Ind. Electron. 2008, 55, 1893–1909. [Google Scholar] [CrossRef]
- Yepes, A.G.; Lopez, O.; Gonzalez-Prieto, I.; Duran, M.; Doval-Gandoy, J. A comprehensive survey on fault tolerance in multiphase ac drives, Part 1: General overview considering multiple fault types. Machines 2022, 10, 208. [Google Scholar] [CrossRef]
- Baneira, F.; Doval-Gandoy, J.; Yepes, A.G.; Lopez, O.; Perez Estevez, D. Control strategy for multiphase drives with minimum losses in the full torque operation range under single open-phase fault. IEEE Trans. Power Electron. 2017, 32, 6275–6285. [Google Scholar] [CrossRef]
- Cardoso, A.J.M. Diagnosis and Fault Tolerance of Electrical Machines and Power Electronics; The Institution of Engineering and Technology: London, UK, 2018. [Google Scholar]
- Bento, F.J.F.; Adouni, A.; Muxiri, A.C.P.; Fonseca, D.S.B.; Cardoso, A.J.M. On the Risk of Failure to Prevent Induction Motors Permanent Damage, Due to the Short Available Time-to-Diagnosis of Inter-Turn Short-Circuit Faults. IET Electr. Power Appl. 2021, 15, 51–62. [Google Scholar] [CrossRef]
- Frosini, L. Monitoring and Diagnostics of Electrical Machines and Drives: A State of the Art. In Proceedings of the 2019 IEEE Workshop on Electrical Machines Design, Control and Diagnosis (WEMDCD), Athens, Greece, 22–23 April 2019; pp. 169–176. [Google Scholar]
- Das, S.; Purkait, P.; Koley, C.; Chakravorti, S. Performance of a load-immune classifier for robust identification of minor faults in induction motor stator winding. IEEE Trans. Diel. Electron. Insul. 2014, 21, 33–44. [Google Scholar] [CrossRef]
- Urresty, J.; Riba, J.; Romeral, L. Application of the zero-sequence voltage component to detect stator winding inter-turn faults in PMSMs. Elec. Power Sys. Res. 2012, 89, 38–44. [Google Scholar] [CrossRef]
- Urresty, J.; Riba, J.; Romeral, L. Influence of the Stator Windings Configuration in the Currents and Zero-Sequence Voltage Harmonics in Permanent Magnet Synchronous Motors with Demagnetization Faults. IEEE Trans. Magn. 2013, 49, 4885–4893. [Google Scholar] [CrossRef]
- Briz, F.; Degner, M.W.; Garcia, P.; Dicz, A.B. Induction machine diagnostics using zero sequence component. In Proceedings of the Fourtieth IAS Annual Meeting. Conference Record of the 2005 Industry Applications Conference, Hong Kong, China, 2–6 October 2005; pp. 34–41. [Google Scholar]
- Hu, R.; Wang, J.; Mills, A.R.; Chong, E.; Sun, Z. Detection and Classification of Turn Fault and High Resistance Connection Fault in Permanent Magnet Machines Based on Zero Sequence Voltage. IEEE Trans. Power Electron. 2020, 35, 1922–1933. [Google Scholar] [CrossRef]
- Zhang, J.; Xu, Z.; Wang, J.; Zhao, J.; Din, Z.; Cheng, M. Detection and Discrimination of Incipient Stator Faults for Inverter-Fed Permanent Magnet Synchronous Machines. IEEE Trans. Ind. Electron. 2021, 68, 7505–7515. [Google Scholar] [CrossRef]
- Hang, J.; Zhang, J.; Ding, S.; Cheng, M. Fault Diagnosis of High-Resistance Connection in a Nine-Phase Flux-Switching Permanent-Magnet Machine Considering the Neutral-Point Connection Model. IEEE Trans. Power Electron. 2017, 32, 6444–6454. [Google Scholar] [CrossRef]
- Hang, J.; Zhang, J.; Cheng, M.; Huang, J. Online Interturn Fault Diagnosis of Permanent Magnet Synchronous Machine Using Zero-Sequence Components. IEEE Trans. Power Electron. 2015, 30, 6731–6741. [Google Scholar] [CrossRef]
- Antunes, H.R.P.; Fonseca, D.S.B.; Cardoso, A.J.M. Modeling of Symmetrical Six-Phase Induction Machines Under Stator Faults. In Proceedings of the 2021 IEEE International Electric Machines & Drives Conference (IEMDC), Hartford, CT, USA, 17–20 May 2021; pp. 1–7. [Google Scholar]
Publisher’s Note: MDPI stays neutral with regard to jurisdictional claims in published maps and institutional affiliations. |
© 2022 by the authors. Licensee MDPI, Basel, Switzerland. This article is an open access article distributed under the terms and conditions of the Creative Commons Attribution (CC BY) license (https://creativecommons.org/licenses/by/4.0/).




