Electrospray Printing of Graphene Layers for Chemiresistive Gas Sensors †
Abstract
1. Introduction
2. Materials and Methods
2.1. Reduced Graphene Oxide
2.2. Sensor Preparation
2.3. Sensor Characterization
3. Results
3.1. Electrospray Regime
3.2. Deposition Pattern
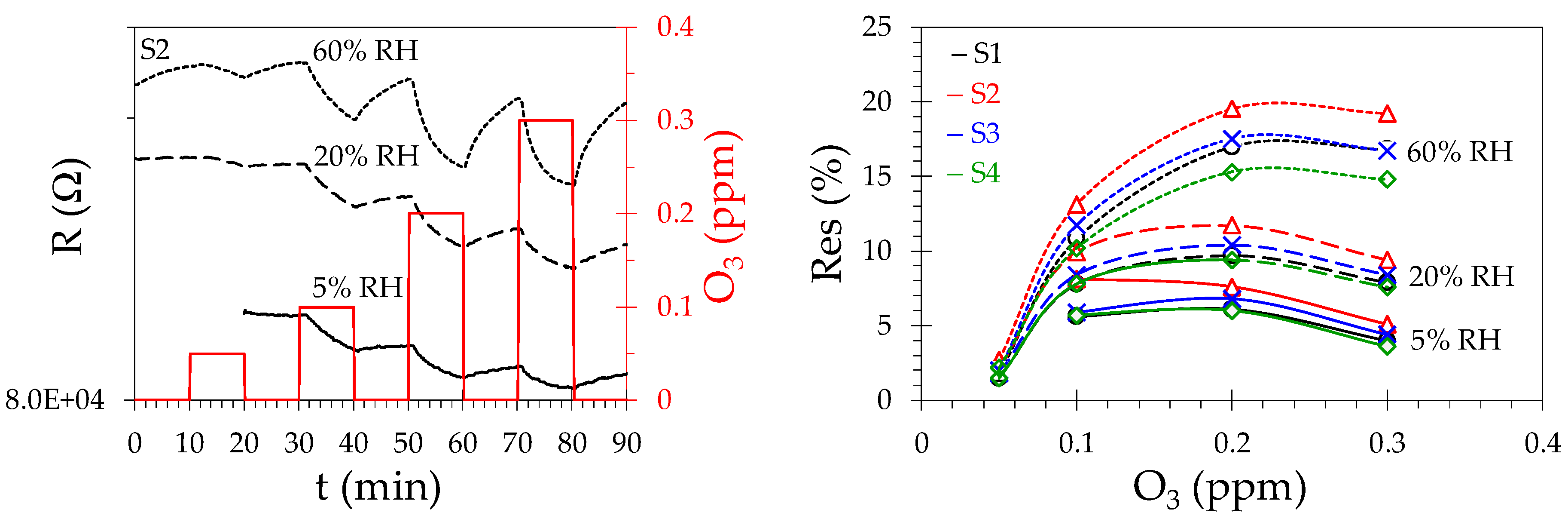
3.3. Gas Detection
4. Discussion
Author Contributions
Funding
Conflicts of Interest
References
- Briand, D.; Courbat, J. Micromachined semiconductor gas sensors. In Semiconductor Gas Sensors, 2nd ed.; Jaaniso, R., Tan, O.K., Eds.; Elsevier: Amsterdam, The Netherlands, 2019; pp. 413–465. [Google Scholar]
- Hunter, G.W.; Akbar, S.; Bhansali, S.; Daniele, M.; Erb, P.D.; Johnson, K.; Liu, C.; Miller, D.; Oralkan, O.; Hesketh, P.J.; et al. Editor’s Choice-Critical Review—A critical review on solid state gas sensors. J. Electrochem. Soc. 2020, 167, 037570. [Google Scholar] [CrossRef]
- Joshi, N.; Hayasaka, T.; Liu, Y.; Liu, H.; Oliveira, O.N.; Lin, L. A review on chemiresistive room temperature gas sensors based on metal oxide nanostructures, graphene and 2D transition metal dichalcogenides. Microchim. Acta 2018, 185, 213. [Google Scholar] [CrossRef] [PubMed]
- Zhang, J.; Liu, X.; Neri, G.; Pinna, N. Nanostructured Materials for Room-Temperature Gas Sensors. Adv. Mater. 2016, 28, 795–831. [Google Scholar] [CrossRef] [PubMed]
- Demon, S.Z.N.; Kamisan, A.I.; Abdullah, N.; Noor, S.A.M.; Khim, O.K.; Kasim, N.A.M.; Yahya, M.Z.A.; Manaf, N.A.A.; Azmi, A.F.M.; Halim, N.A. Graphene-based Materials in Gas Sensor Applications: A Review. Sensors Mater. 2020, 32, 759. [Google Scholar] [CrossRef]
- Tian, W.; Liu, X.; Yu, W. Research Progress of Gas Sensor Based on Graphene and Its Derivatives: A Review. Appl. Sci. 2018, 8, 1118. [Google Scholar] [CrossRef]
- Singh, E.; Meyyappan, M.; Nalwa, H.S. Flexible Graphene-Based Wearable Gas and Chemical Sensors. ACS Appl. Mater. Interfaces 2017, 9, 34544–34586. [Google Scholar] [CrossRef]
- Wang, T.; Huang, D.; Yang, Z.; Xu, S.; He, G.; Li, X.; Hu, N.; Yin, G.; He, D.; Zhang, L. A Review on Graphene-Based Gas/Vapor Sensors with Unique Properties and Potential Applications. Nano-Micro Lett. 2016, 8, 95–119. [Google Scholar] [CrossRef]
- Varghese, S.S.; Lonkar, S.P.; Singh, K.; Swaminathan, S.; Abdala, A. Recent advances in graphene based gas sensors. Sensors Actuators B Chem. 2015, 218, 160–183. [Google Scholar] [CrossRef]
- Yuan, W.; Shi, G. Graphene-based gas sensors. J. Mater. Chem. A 2013, 1, 10078–10091. [Google Scholar] [CrossRef]
- Tarcan, R.; Todor-Boer, O.; Petrovai, I.; Leordean, C.; Astilean, S.; Botiz, I. Reduced graphene oxide today. J. Mater. Chem. C 2020, 8, 1198–1224. [Google Scholar] [CrossRef]
- Sharma, N.; Vyas, R.; Sharma, V.; Rahman, H.; Sharma, S.K.; Sachdev, K. A comparative study on gas-sensing behavior of reduced graphene oxide (rGO) synthesized by chemical and environment-friendly free method. Appl. Nanosci. 2020, 10, 517–528. [Google Scholar] [CrossRef]
- Lee, K.; Yoo, Y.K.; Chae, M.-S.; Hwang, K.S.; Lee, J.; Kim, H.; Hur, D.; Lee, J.H. Highly selective reduced graphene oxide (rGO) sensor based on a peptide aptamer receptor for detecting explosives. Sci. Rep. 2019, 9, 1–9. [Google Scholar] [CrossRef] [PubMed]
- Drewniak, S.; Muzyka, R.; Stolarczyk, A.; Pustelny, T.; Kotyczka-Morańska, M.; Setkiewicz, M. Studies of Reduced Graphene Oxide and Graphite Oxide in the Aspect of Their Possible Application in Gas Sensors. Sensors 2016, 16, 103. [Google Scholar] [CrossRef] [PubMed]
- Abdolhosseinzadeh, S.; Asgharzadeh, H.; Kim, H.S. Fast and fully-scalable synthesis of reduced graphene oxide. Sci. Rep. 2015, 5, 10160. [Google Scholar] [CrossRef] [PubMed]
- Lu, G.; Ocola, L.E.; Chen, J. Reduced graphene oxide for room-temperature gas sensors. Nanotechnology 2009, 20, 445502. [Google Scholar] [CrossRef] [PubMed]
- Kumar, R.; Liu, X.; Zhang, J.; Kumar, M. Room-Temperature Gas Sensors Under Photoactivation: From Metal Oxides to 2D Materials. Nano-Micro Lett. 2020, 12, 1–37. [Google Scholar] [CrossRef]
- Li, W.; Guo, J.; Cai, L.; Qi, W.; Sun, Y.; Xu, J.-L.; Sun, M.; Zhu, H.; Xiang, L.; Xie, D.; et al. UV light irradiation enhanced gas sensor selectivity of NO2 and SO2 using rGO functionalized with hollow SnO2 nanofibers. Sens. Actuators B Chem. 2019, 290, 443–452. [Google Scholar] [CrossRef]
- Yan, X.; Wu, Y.; Li, R.; Shi, C.; Moro, R.; Ma, Y.; Ma, L. High-Performance UV-Assisted NO2 Sensor Based on Chemical Vapor Deposition Graphene at Room Temperature. ACS Omega 2019, 4, 14179–14187. [Google Scholar] [CrossRef]
- Espid, E.; Taghipour, F. UV-LED Photo-activated Chemical Gas Sensors: A Review. Crit. Rev. Solid State Mater. Sci. 2016, 42, 416–432. [Google Scholar] [CrossRef]
- Dai, J.; Ogbeide, O.; Macadam, N.; Sun, Q.; Yu, W.; Li, Y.; Su, B.-L.; Hasan, T.; Huang, X.; Huang, W. Printed gas sensors. Chem. Soc. Rev. 2020, 49, 1756–1789. [Google Scholar] [CrossRef]
- Khan, S.; Lorenzelli, L.; Dahiya, R.S. Technologies for Printing Sensors and Electronics Over Large Flexible Substrates: A Review. IEEE Sens. J. 2014, 15, 3164–3185. [Google Scholar] [CrossRef]
- Ru, C.; Luo, J.; Xie, S.; Sun, Y. A review of non-contact micro- and nano-printing technologies. J. Micromech. Microeng. 2014, 24, 053001. [Google Scholar] [CrossRef]
- Pandhi, T.; Chandnani, A.; Subbaraman, H.; Estrada, D. A Review of Inkjet Printed Graphene and Carbon Nanotubes Based Gas Sensors. Sensors 2020, 20, 5642. [Google Scholar] [CrossRef] [PubMed]
- Travan, C.; Bergmann, A. NO2 and NH3 Sensing Characteristics of Inkjet Printing Graphene Gas Sensors. Sensors 2019, 19, 3379. [Google Scholar] [CrossRef]
- Wu, T.-C.; De Luca, A.; Zhong, Q.; Zhu, X.; Ogbeide, O.; Um, D.-S.; Hu, G.; Albrow-Owen, T.; Udrea, F.; Hasan, T. Inkjet-printed CMOS-integrated graphene–metal oxide sensors for breath analysis. npj 2D Mater. Appl. 2019, 3, 1–10. [Google Scholar] [CrossRef]
- Zhang, H.; Xie, A.; Shen, Y.; Qiu, L.; Tian, X. Layer-by-layer inkjet printing of fabricating reduced graphene-polyoxometalate composite film for chemical sensors. Phys. Chem. Chem. Phys. 2012, 14, 12757–12763. [Google Scholar] [CrossRef] [PubMed]
- Le, T.; Lakafosis, V.; Lin, Z.; Wong, C.P.; Tentzeris, M.M. Inkjet-printed graphene-based wireless gas sensor modules. In Proceedings of the 2012 IEEE 62nd Electronic Components and Technology Conference, San Diego, CA, USA, 29 May–1 June 2012; pp. 1003–1008. [Google Scholar]
- Dua, V.; Surwade, S.P.; Ammu, S.; Agnihotra, S.R.; Jain, S.; Roberts, K.E.; Park, S.; Ruoff, R.S.; Manohar, S.K. All-organic vapor sensor using inkjet-printed reduced graphene oxide. Angew. Chem. Int. Ed. 2010, 49, 1–5. [Google Scholar] [CrossRef]
- Brown, N.A.; Gladstone, J.N.; Chiarot, P.R.; Brown, N.A.; Gladstone, J.N.; Chiarot, P.R. Materials Printing using Electrospray. In Proceedings of the 2014 ASME International Mechanical Engineering Congress and Exposition, IMECE2014, Montreal, QC, Canada, 14–20 November 2014; p. 38336. [Google Scholar]
- Jaworek, A.; Sobezyk, A.T. Electrospray route to nanotechnology. An overview. J. Electrostat. 2008, 68, 197–219. [Google Scholar] [CrossRef]
- Jaworek, A. Electrospray droplet sources for thin film deposition. J. Mater. Sci. 2006, 42, 266–297. [Google Scholar] [CrossRef]
- Deng, W.; Waits, C.M.; Gomez, A. Digital electrospray for controlled deposition. Rev. Sci. Instrum. 2010, 81, 35114. [Google Scholar] [CrossRef]
- Fan, X.; Xu, Y.; Ma, C.; He, W. In-situ growth of Co3O4 nanoparticles based on electrospray for an acetone gas sensor. J. Alloy. Compd. 2021, 854, 157234. [Google Scholar] [CrossRef]
- Li, W.; Lin, J.; Wang, X.; Jiang, J.; Guo, S.; Zheng, G. Electrospray Deposition of ZnO Thin Films and Its Application to Gas Sensors. Micromachines 2018, 9, 66. [Google Scholar] [CrossRef] [PubMed]
- Tang, J.; Gomez, A. Controlled mesoporous film formation from the deposition of electrosprayed nanoparticles. Aerosol Sci. Technol. 2017, 51, 755–765. [Google Scholar] [CrossRef]
- Jasek, K.; Pasternak, M.; Grabka, M.; Neffe, S.; Zasada, D. Deposition of Polymer Sensor Films on SAW Surface by Electrospraying Technology. Arch. Acoust. 2017, 42, 507–513. [Google Scholar] [CrossRef][Green Version]
- Zheng, G.; Zhu, P.; Sun, L.; Jiang, J.; Liu, J.; Wang, X.; Li, W. Thin film zinc oxide gas sensor fabricated using near-field electrospray. AIP Adv. 2016, 6, 125306. [Google Scholar] [CrossRef]
- Gürbüz, M.; Günkaya, G.; Doğan, A. Electrospray deposition of SnO2films from precursor solution. Surf. Eng. 2015, 32, 725–732. [Google Scholar] [CrossRef]
- Varea, A.; Monereo, O.; Xuriguera, E.; Prades, J.D.; Cirera, A. Electrospray as a suitable technique for manufacturing carbon-based devices. J. Phys. D Appl. Phys. 2017, 50, 315301. [Google Scholar] [CrossRef]
- Taylor, A.P.; Velasquez-Garcia, L.F. Electrospray-printed nanostructured graphene oxide gas sensors. Nanotechnology 2015, 26, 505301. [Google Scholar] [CrossRef]
- Wall, M. The Raman Spectroscopy of Graphene and the Determination of Layer Thickness. Available online: http://tools.thermofisher.com/content/sfs/brochures/AN52252_E%201111%20LayerThkns_H_1.pdf (accessed on 22 October 2020).
- Hidayah, N.M.S.; Liu, W.-W.; Lai, C.-W.; Noriman, N.Z.; Khe, C.-S.; Hashim, U.; Lee, H.C. Comparison on graphite, graphene oxide and reduced graphene oxide: Synthesis and characterization. AIP Conf. Proc. 2017, 1892, 150002. [Google Scholar] [CrossRef]
- Strankowski, M.; Wlodarczyk, D.; Piszczyk, Łukasz; Strankowska, J. Polyurethane Nanocomposites Containing Reduced Graphene Oxide, FTIR, Raman, and XRD Studies. J. Spectrosc. 2016, 2016, 1–6. [Google Scholar] [CrossRef]
- Saleem, H.; Haneef, M.; Abbasi, H.Y. Synthesis route of reduced graphene oxide via thermal reduction of chemically exfoliated graphene oxide. Mater. Chem. Phys. 2018, 204, 1–7. [Google Scholar] [CrossRef]
- Stobinski, L.; Lesiak, B.; Malolepszy, A.; Mazurkiewicz, M.; Mierzwa, B.; Zemek, J.; Jiricek, P.; Bieloshapka, I. Graphene oxide and reduced graphene oxide studied by the XRD, TEM and electron spectroscopy methods. J. Electron Spectrosc. Relat. Phenom. 2014, 195, 145–154. [Google Scholar] [CrossRef]
- Rosell-Llompart, J.; Grifoll, J.; Loscertales, I.G. Electrosprays in the cone-jet mode: From Taylor cone formation to spray development. J. Aerosol Sci. 2018, 125, 2–31. [Google Scholar] [CrossRef]
- Zhou, J.; Gao, D.; Yao, D.; Leist, S.K.; Fei, Y. Mechanisms and modeling of electrohydrodynamic phenomena. Int. J. Bioprinting 2018, 5, 166. [Google Scholar] [CrossRef]
- Lee, A.; Jin, H.; Dang, H.-W.; Choi, K.H.; Ahn, K.H. Optimization of Experimental Parameters To Determine the Jetting Regimes in Electrohydrodynamic Printing. Langmuir 2013, 29, 13630–13639. [Google Scholar] [CrossRef] [PubMed]
- Gomez, A.; Deng, W. Fundamentals of Cone-Jet Electrospray. In Aerosol Measurement; Wiley: Hoboken, NJ, USA, 2011; pp. 435–448. [Google Scholar]
- Guo, L.; Hao, Y.-W.; Li, P.-L.; Song, J.-F.; Yang, R.-Z.; Fu, X.-Y.; Xie, S.-Y.; Zhao, J.; Zhang, Y.-L. Improved NO2 gas sensing properties of graphene oxide reduced by two-beam laser interference. Sci. Rep. 2018, 8, 4918. [Google Scholar] [CrossRef]
- Hu, J.; Zou, C.; Su, Y.; Li, M.; Hu, N.; Ni, H.; Yang, Z.; Zhang, Y. Enhanced NO2 sensing performance of reduced graphene oxide by in situ anchoring carbón dots. J. Mater. Chem. C 2017, 5, 6862–6871. [Google Scholar] [CrossRef]
- Su, P.-G.; Shieh, H.-C. Flexible NO2 sensors fabricated by layer-by-layer covalent anchoring and in-situ reduction of graphene oxide. Sens. Actuators B Chem. 2014, 9, 865–872. [Google Scholar] [CrossRef]








Publisher’s Note: MDPI stays neutral with regard to jurisdictional claims in published maps and institutional affiliations. |
© 2020 by the authors. Licensee MDPI, Basel, Switzerland. This article is an open access article distributed under the terms and conditions of the Creative Commons Attribution (CC BY) license (https://creativecommons.org/licenses/by/4.0/).
Share and Cite
Masa, S.; Mena, M.J.; Hontañón, E.; Lozano, J.; Eqtesadi, S.; Narros, A. Electrospray Printing of Graphene Layers for Chemiresistive Gas Sensors. Eng. Proc. 2020, 2, 66. https://doi.org/10.3390/ecsa-7-08203
Masa S, Mena MJ, Hontañón E, Lozano J, Eqtesadi S, Narros A. Electrospray Printing of Graphene Layers for Chemiresistive Gas Sensors. Engineering Proceedings. 2020; 2(1):66. https://doi.org/10.3390/ecsa-7-08203
Chicago/Turabian StyleMasa, Sergio, María José Mena, Esther Hontañón, Jesús Lozano, Siamak Eqtesadi, and Adolfo Narros. 2020. "Electrospray Printing of Graphene Layers for Chemiresistive Gas Sensors" Engineering Proceedings 2, no. 1: 66. https://doi.org/10.3390/ecsa-7-08203
APA StyleMasa, S., Mena, M. J., Hontañón, E., Lozano, J., Eqtesadi, S., & Narros, A. (2020). Electrospray Printing of Graphene Layers for Chemiresistive Gas Sensors. Engineering Proceedings, 2(1), 66. https://doi.org/10.3390/ecsa-7-08203
