Simulation of Hydrogen Production from Crude Glycerol Using Steam Reforming †
Abstract
1. Introduction
2. Methodology
2.1. Process Description and Simulation Setup
2.2. Performance Evaluation
3. Results and Discussion
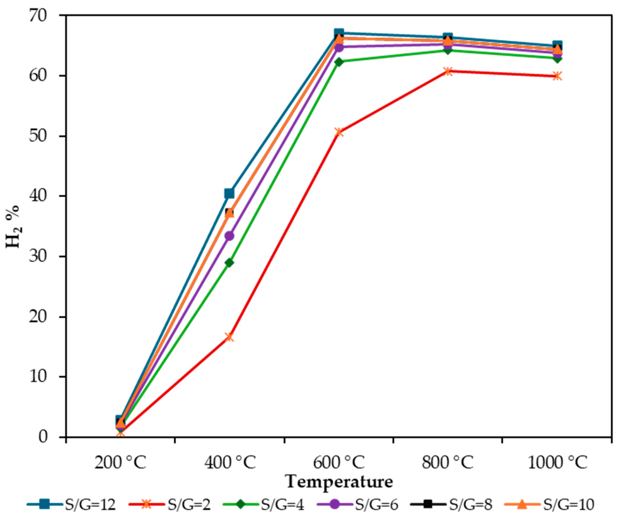
3.1. Effect of Temperature
3.2. Effect of Steam-to-Glycerol Ratio
3.3. Product Distribution at Optimum Condition
4. Conclusions
Author Contributions
Funding
Institutional Review Board Statement
Informed Consent Statement
Data Availability Statement
Acknowledgments
Conflicts of Interest
Abbreviations
| GSR | Glycerol Steam Reforming |
| S/G | Steam-to-Glycerol Ratio |
| Ni | Nickel |
| WGS | Water Gas Shift Reaction |
| UNIFAC | Universal Functional Activity Coefficient |
| RGibbs | Gibbs Free Energy Reactor |
References
- Unlu, D.; Hilmioglu, N.D. Application of Aspen plus to Renewable Hydrogen Production from Glycerol by Steam Reforming. Int. J. Hydrogen Energy 2020, 45, 3509–3515. [Google Scholar] [CrossRef]
- Yang, X.; Wang, S.; Li, Z.; Zhang, K.; Li, B. Enhancement of Membrane Hydrogen Separation on Glycerol Steam Reforming in a Fluidized Bed Reactor. Int. J. Hydrogen Energy 2018, 43, 18863–18872. [Google Scholar] [CrossRef]
- Mwenge, P.; Bulanga, D.; Rutto, H.; Seodigeng, T. Optimization and Predictive Modelling of Biodiesel Production from Waste Cooking Oil Catalyzed by Blast Furnace Slag Geopolymer Using RSM and Machine Learning. Can. J. Chem. Eng. 2026, 104, 6–30. [Google Scholar] [CrossRef]
- Mwenge, P.; Rutto, H.; Seodigeng, T. Application of Machine Learning for Methanolysis of Waste Cooking Oil Using Kaolinite Geopolymer Heterogeneous Catalyst. In Proceedings of the 3rd International Electronic Conference on Processes, Online, 29–31 May 2024; p. 23. [Google Scholar]
- Awogbemi, O.; Desai, D.A. Progress in the Conversion of Biodiesel-Derived Crude Glycerol into Biofuels and Other Bioproducts. Bioresour. Technol. Rep. 2025, 30, 102106. [Google Scholar] [CrossRef]
- Liu, Y.; Zhong, B.; Lawal, A. Recovery and Utilization of Crude Glycerol, a Biodiesel Byproduct. RSC Adv. 2022, 12, 27997–28008. [Google Scholar] [CrossRef] [PubMed]
- Qureshi, F.; Yusuf, M.; Arham Khan, M.; Ibrahim, H.; Ekeoma, B.C.; Kamyab, H.; Rahman, M.M.; Nadda, A.K.; Chelliapan, S. A State-of-The-Art Review on the Latest Trends in Hydrogen Production, Storage, and Transportation Techniques. Fuel 2023, 340, 127574. [Google Scholar] [CrossRef]
- Haider, M.A.; Chaturvedi, N.D. An Energy-Efficient and Cleaner Production of Hydrogen by Steam Reforming of Glycerol Using Aspen Plus. Int. J. Hydrogen Energy 2024, 49, 1311–1320. [Google Scholar] [CrossRef]
- Barbosa, S.L.; De Freitas, M.S.; Dos Santos, W.T.P.; Nelson, D.L.; De Freitas Marques, M.B.; Klein, S.I.; Clososki, G.C.; Caires, F.J.; Nassar, E.J.; Zanatta, L.D.; et al. Preparation of Activated Charcoal from Acrocomia Aculeata for Purification of Pretreated Crude Glycerol. Biomass Convers. Biorefin. 2022, 12, 2441–2449. [Google Scholar] [CrossRef]
- Haron, R.; Rahman, R.A.; Mat Alewi, N.A.; Mat, R.; Tuan Abdullah, T.A. Conversion of Crude Glycerol to Biohydrogen by Locally Isolated Klebsiella Pneumoniae via Dark Fermentation. Clean Technol. Environ. Policy 2025, 27, 235–250. [Google Scholar] [CrossRef]
- Kaur, J.; Sarma, A.K.; Jha, M.K.; Gera, P. Valorisation of Crude Glycerol to Value-Added Products: Perspectives of Process Technology, Economics and Environmental Issues. Biotechnol. Rep. 2020, 27, e00487. [Google Scholar] [CrossRef] [PubMed]
- Chang, F.; Zhou, Q.; Pan, S.X.; He, Y. Catalytic Upgrading of Glycerol, a Promising Biodiesel Coproduct. In Biomass, Biofuels, Biochemicals; Elsevier: Amsterdam, The Netherlands, 2020; pp. 395–405. [Google Scholar]
- Rahim, S.A.N.M.; Lee, C.S.; Abnisa, F.; Aroua, M.K.; Daud, W.A.W.; Cognet, P.; Pérès, Y. A Review of Recent Developments on Kinetics Parameters for Glycerol Electrochemical Conversion—A by-Product of Biodiesel. Sci. Total Environ. 2020, 705, 135137. [Google Scholar] [CrossRef] [PubMed]
- Rodrigues, C.V.; Santana, K.O.; Nespeca, M.G.; Rodrigues, A.V.; Oliveira Pires, L.; Maintinguer, S.I. Energy Valorization of Crude Glycerol and Sanitary Sewage in Hydrogen Generation by Biological Processes. Int. J. Hydrogen Energy 2020, 45, 11943–11953. [Google Scholar] [CrossRef]
- Raza, M.; Inayat, A.; Abu-Jdayil, B. Crude Glycerol as a Potential Feedstock for Future Energy via Thermochemical Conversion Processes: A Review. Sustainability 2021, 13, 12813. [Google Scholar] [CrossRef]
- Hunpinyo, P.; Narataruksa, P. Process Simulation and Costing Study for the Ft-Liquid Fuels Production from Steam Glycerol Reforming. Chem. Eng. Trans. 2016, 52, 241–246. [Google Scholar] [CrossRef]
- Ismaila, A. Conversion of Glycerol for Renewable Hydrogen; The University of Manchester: Manchester, UK, 2023. [Google Scholar]
- Dang, T.N.M.; Sahraei, O.A.; Olivier, A.; Iliuta, M.C. Effect of Impurities on Glycerol Steam Reforming over Ni-Promoted Metallurgical Waste Driven Catalyst. Int. J. Hydrogen Energy 2022, 47, 4614–4630. [Google Scholar] [CrossRef]
- Solsvik, J.; Haug-Warberg, T.; Jakobsen, H.A. Implementation of Chemical Reaction Equilibrium by Gibbs and Helmholtz Energies in Tubular Reactor Models: Application to the Steam–Methane Reforming Process. Chem. Eng. Sci. 2016, 140, 261–278. [Google Scholar] [CrossRef]
- Haseli, Y. Criteria for Chemical Equilibrium with Application to Methane Steam Reforming. Int. J. Hydrogen Energy 2019, 44, 5766–5772. [Google Scholar] [CrossRef]
- Carrero, A.; Calles, J.; García-Moreno, L.; Vizcaíno, A. Production of Renewable Hydrogen from Glycerol Steam Reforming over Bimetallic Ni-(Cu,Co,Cr) Catalysts Supported on SBA-15 Silica. Catalysts 2017, 7, 55. [Google Scholar] [CrossRef]
- Qingli, X.; Zhengdong, Z.; Lifang, L.; Ping, L.; Rui, W.; Shoutao, C.; Pize, L.; Chenyang, Z. Hydrogen Production by Glycerol Reforming in a Two-Fixed-Bed Reactor. Int. J. Hydrogen Energy 2022, 47, 16805–16814. [Google Scholar] [CrossRef]
- Gao, K.; Iliuta, M.C. Trends and Advances in the Development of Coal Fly Ash-Based Materials for Application in Hydrogen-Rich Gas Production: A Review. J. Energy Chem. 2022, 73, 485–512. [Google Scholar] [CrossRef]




| Parameter | Range/Value |
|---|---|
| Temperature | 200 °C–1000 °C |
| Pressure | Atmospheric |
| Catalyst | 1 wt. % nickel (Ni) |
| Steam-to-glycerol ratio (S/G) | 2–12 (wt/wt) |
| Thermodynamic model | UNIFAC |
| Reactor type | Gibbs free energy reactor (RGibbs) |
| Products | Temperatures | ||||
|---|---|---|---|---|---|
| 200 °C | 400 °C | 600 °C | 800 °C | 1000 °C | |
| % H2 | 1.59 | 29.017 | 62.37 | 64.3 | 62.9 |
| %CO2 | 41.4 | 36.36 | 23.65 | 16.84 | 13.43 |
| %CO | 0.0013 | 0.62 | 10.16 | 18.81 | 23.67 |
| %CH4 | 57 | 33.997 | 3.82 | 0.025 | 0.0045 |
Disclaimer/Publisher’s Note: The statements, opinions and data contained in all publications are solely those of the individual author(s) and contributor(s) and not of MDPI and/or the editor(s). MDPI and/or the editor(s) disclaim responsibility for any injury to people or property resulting from any ideas, methods, instructions or products referred to in the content. |
© 2026 by the authors. Licensee MDPI, Basel, Switzerland. This article is an open access article distributed under the terms and conditions of the Creative Commons Attribution (CC BY) license.
Share and Cite
Mabulay, D.M.; Muthubi, S.S.; Mwenge, P.K. Simulation of Hydrogen Production from Crude Glycerol Using Steam Reforming. Eng. Proc. 2026, 124, 34. https://doi.org/10.3390/engproc2026124034
Mabulay DM, Muthubi SS, Mwenge PK. Simulation of Hydrogen Production from Crude Glycerol Using Steam Reforming. Engineering Proceedings. 2026; 124(1):34. https://doi.org/10.3390/engproc2026124034
Chicago/Turabian StyleMabulay, Dorcas Museme, Shonisani Salvation Muthubi, and Pascal Kilunji Mwenge. 2026. "Simulation of Hydrogen Production from Crude Glycerol Using Steam Reforming" Engineering Proceedings 124, no. 1: 34. https://doi.org/10.3390/engproc2026124034
APA StyleMabulay, D. M., Muthubi, S. S., & Mwenge, P. K. (2026). Simulation of Hydrogen Production from Crude Glycerol Using Steam Reforming. Engineering Proceedings, 124(1), 34. https://doi.org/10.3390/engproc2026124034

