Biowax Impregnation of Recyclable Packaging Papers with Enhanced Water and Oil Barrier Properties †
Abstract
1. Introduction
2. Materials and Methods
2.1. Materials
2.2. Characterization and Testing Procedures
3. Results and Discussion
3.1. Materials Characterization
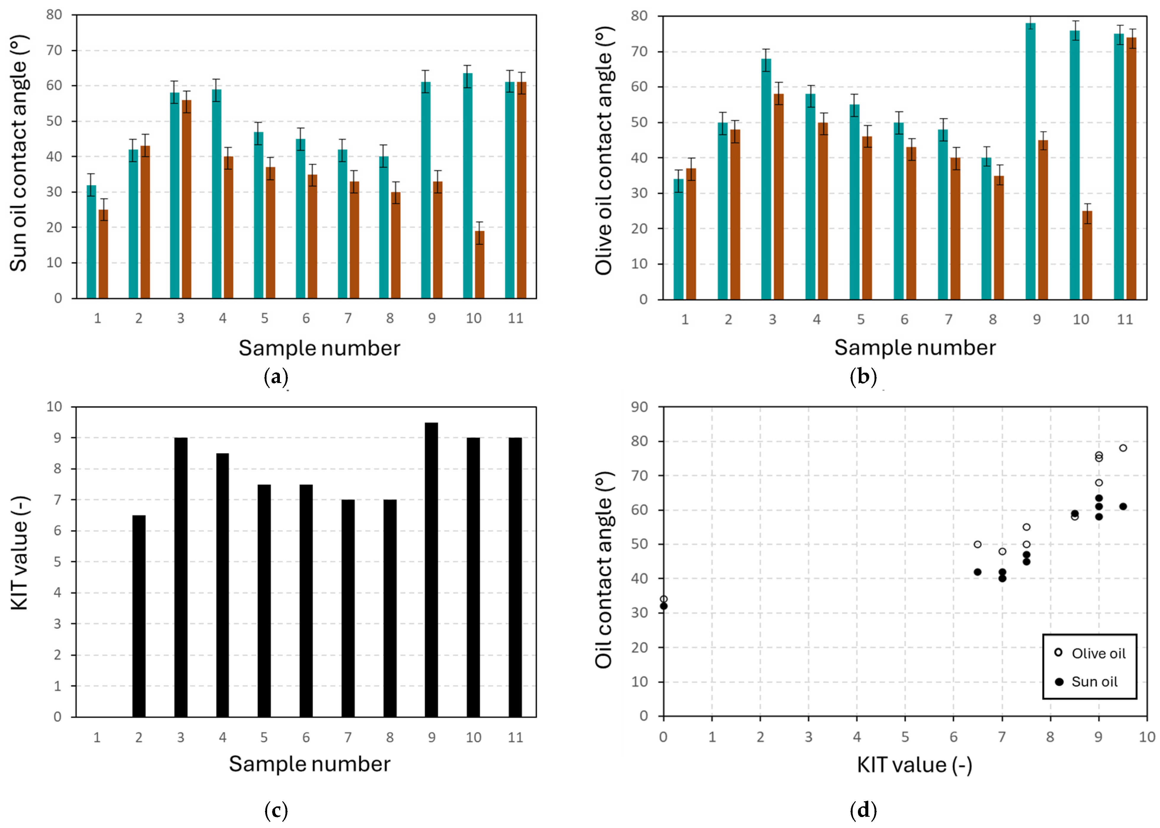
3.2. Barrier Performance Testing
3.3. Recyclability Testing
4. Conclusions
Funding
Institutional Review Board Statement
Informed Consent Statement
Data Availability Statement
Conflicts of Interest
References
- Ying, H.; Qi, L.; Malotky, D.; Harris, J.; Kainz, B.; Drumright, R.; Liechty, W.; Mason, J. Coatings for sustainable paper-based flexible packaging: Barrier properties and processability. TAPPI J. 2022, 11, 617–622. [Google Scholar] [CrossRef]
- Kathuria, A.; Zhang, S. Sustainable and repulpable barrier coatings for fiber-based materials for food packaging: A review. Front. Mater. 2022, 9, 929501. [Google Scholar] [CrossRef]
- Liu, D.; Duan, Y.; Wang, S.; Gong, M.; Dai, H. Improvement of oil and water barrier properties of food packaging paper by coating with microcrystalline wax emulsion. Polymers 2022, 14, 1786. [Google Scholar] [CrossRef] [PubMed]
- Li, S.; Svendström, K.; Lepo, A. Biowaxes used as a barrier formulation material in coating fibre-based substrates. Packaging Technol. Sci. 2024, 37, 1095–1105. [Google Scholar] [CrossRef]
- Jahangiri, F.; Mohanty, A.; Pal, A.K.; Clemmer, R.; Gredori, S.; Misra, M. Wax coatings for paper packaging applications: Study of the coating effect on surface, mechanical, and barrier properties. ACS Environ. Au 2024, 5, 165–182. [Google Scholar] [CrossRef] [PubMed]
- Yadav, S.; Khan, A.; Hamdani, S.S.; Rabnawaz, M. Degradable polymeric waxes for paper coating. ACS Appl. Polym. Mater. 2024, 6, 3263–3272. [Google Scholar] [CrossRef]
- Basak, S.; Dangate, M.S.; Sany, S. Oil- and water-resistance paper coatings: A review. Prog. Org. Coat. 2024, 186, 107938. [Google Scholar] [CrossRef]
- Zhang, W.; Xiao, H.; Qian, L.Y.E. Enhanced water vapour barrier and grease resistance of paper bilayer-coated with chitosan and beeswax. Carbohydrate Polym. 2014, 101, 401–406. [Google Scholar] [CrossRef] [PubMed]
- Marzbani, P.; Azadfallah, M.; Yousefzadeh, M.; Najafi, F.; Pourbabaee, A.A.; Koivula, H.; Ritala, M. Effect of polyethylene wax/soy protein-based dispersion barrier coating on the physical, mechanical, and barrier characteristics of paperboards. J. Coat. Technol. Res. 2021, 18, 247–257. [Google Scholar] [CrossRef]
- Morgado, F.; Conceicao, R.; Barroso, S.; Pinto, F.R.; Gil, M.M.; Novo, P.J.; Alves, N.; Valente, J.F.A. Advances in biocoatings for paper and cardboard food packaging. Prog. Org. Coat. 2025, 208, 109491. [Google Scholar] [CrossRef]
- Woch, J.; Małachowska, E.; Korasiak, K.; Lipkiewicz, A.; Dubowik, M.; Chrobak, J.; Iłowska, J.; Przybysz, P. Barrier dispersion-based coatings containing natural and paraffin waxes. Molecules 2022, 27, 930. [Google Scholar] [CrossRef] [PubMed]
- Andersson, C.; Ernstsson, M.; Järnström, L. Barrier properties and heat sealability/failure mechanisms of dispersion-coated paperboard. Packaging Technol. Sci. 2003, 15, 209–224. [Google Scholar] [CrossRef]
- Khan, A.; Hamdani, S.S.; Duncan, E.; Rabnawaz, M. High-performance synthetic waxes for a sustainable packaging ecosystem. ACS Sus. Chem. Eng. 2024, 12, 12188–12199. [Google Scholar] [CrossRef]
- Leberle, U.; Georgiadou, M. Harmonised European Laboratory Test Method to Generate Parameters Enabling the Assessment of the Recyclability of Paper and Board Products in Recycling Mills with Conventional Process (Part I), Confederation of European Paper Industries (CEPI). 2025. Available online: https://www.cepi.org/cepi-recyclability-test-method-version-3/ (accessed on 3 November 2025).





| Sample Number | Wax Type | Wax Supplier | Wax Loading at Impregnation Side 1 | Wax Loading at Impregnation Side 2 |
|---|---|---|---|---|
| 1 | None | - | - | - |
| 2 | PE wax | Proquinat (Barcelona, Spain) | 8.0 g/m2 | - |
| 3 | Palm oil wax | Kahl (Trittau, Germany) | 8.0 g/m2 | - |
| 4 | Sunflower wax | Proquinat (Barcelona, Spain) | 8.0 g/m2 | - |
| 5 | Rapeseed wax | Kahl (Trittau, Germany) | 8.0 g/m2 | - |
| 6 | Rice bran wax | Kahl (Trittau, Germany) | 8.0 g/m2 | - |
| 7 | Candelilla wax | Kahl (Trittau, Germany) | 8.0 g/m2 | - |
| 8 | Carnauba wax | Proquinat (Barcelona, Spain) | 8.0 g/m2 | - |
| 9 | Castor oil wax | Paramelt (Heerhugowaard, The Netherlands) | 8.0 g/m2 | - |
| 10 | Castor oil wax | 4.5 g/m2 | - | |
| 11 | Castor oil wax | 4.5 g/m2 | 3.5 g/m2 |
Disclaimer/Publisher’s Note: The statements, opinions and data contained in all publications are solely those of the individual author(s) and contributor(s) and not of MDPI and/or the editor(s). MDPI and/or the editor(s) disclaim responsibility for any injury to people or property resulting from any ideas, methods, instructions or products referred to in the content. |
© 2025 by the author. Licensee MDPI, Basel, Switzerland. This article is an open access article distributed under the terms and conditions of the Creative Commons Attribution (CC BY) license (https://creativecommons.org/licenses/by/4.0/).
Share and Cite
Samyn, P. Biowax Impregnation of Recyclable Packaging Papers with Enhanced Water and Oil Barrier Properties. Eng. Proc. 2025, 117, 5. https://doi.org/10.3390/engproc2025117005
Samyn P. Biowax Impregnation of Recyclable Packaging Papers with Enhanced Water and Oil Barrier Properties. Engineering Proceedings. 2025; 117(1):5. https://doi.org/10.3390/engproc2025117005
Chicago/Turabian StyleSamyn, Pieter. 2025. "Biowax Impregnation of Recyclable Packaging Papers with Enhanced Water and Oil Barrier Properties" Engineering Proceedings 117, no. 1: 5. https://doi.org/10.3390/engproc2025117005
APA StyleSamyn, P. (2025). Biowax Impregnation of Recyclable Packaging Papers with Enhanced Water and Oil Barrier Properties. Engineering Proceedings, 117(1), 5. https://doi.org/10.3390/engproc2025117005

