Next Article in Journal
Analysis of the Two-Stage Phenomenon and Construction of the Theoretical Model for Metal Hydride Reactors
Previous Article in Journal
Application and Development of CAD/CAM Technologies in the Modern Metalworking Industry
 
 
Font Type:
Arial Georgia Verdana
Font Size:
Aa Aa Aa
Line Spacing:
Column Width:
Background:
Proceeding Paper

Computational Studies of Thiosemicarbazone-Based Metal Complexes and Their Biological Applications †

1
Department of Chemistry, Isabella Thoburn College, Lucknow 226007, Uttar Pradesh, India
2
Department of Chemistry, Integral University, Lucknow 226026, Uttar Pradesh, India
*
Author to whom correspondence should be addressed.
Presented at the 4th International Electronic Conference on Processes, 20–22 October 2025; Available online: https://sciforum.net/event/ECP2025.
Eng. Proc. 2025, 117(1), 23; https://doi.org/10.3390/engproc2025117023
Published: 13 January 2026

Abstract

Thiosemicarbazones are known for their versatile coordination behavior and wide-ranging applications in the field of materials science, catalysis, and medicinal chemistry. Several investigations have reported on the biological potential of transition metal complexes of TSCs. In addition, the structural, electronic, and reactive properties of these complexes are explored through computational studies using molecular docking and density functional theory (DFT). Such investigations not only support the interpretation of experimental results but also influence synthetic design by predicting the structural behavior of the complexes. In this study, we explore the computational studies of thiosemicarbazone metal complexes along with their biological activities.

1. Introduction

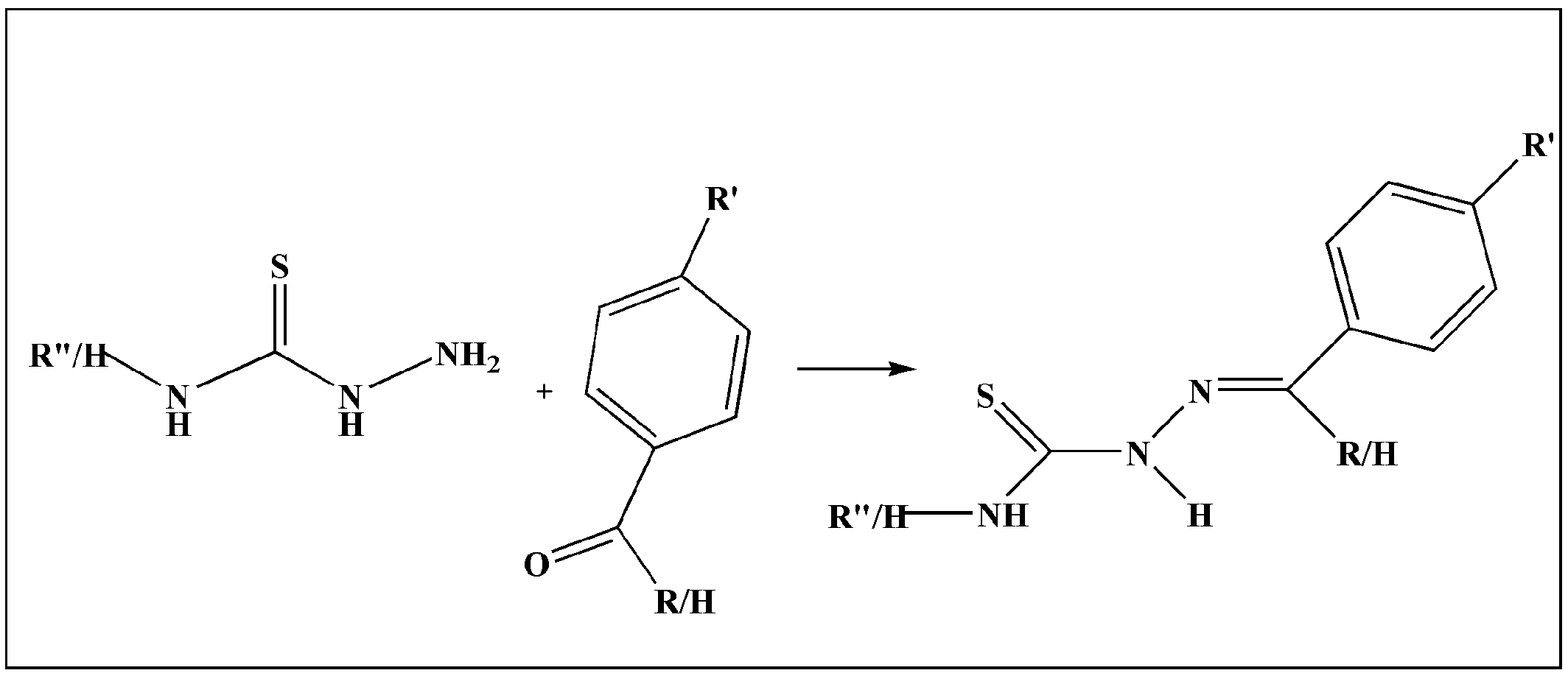
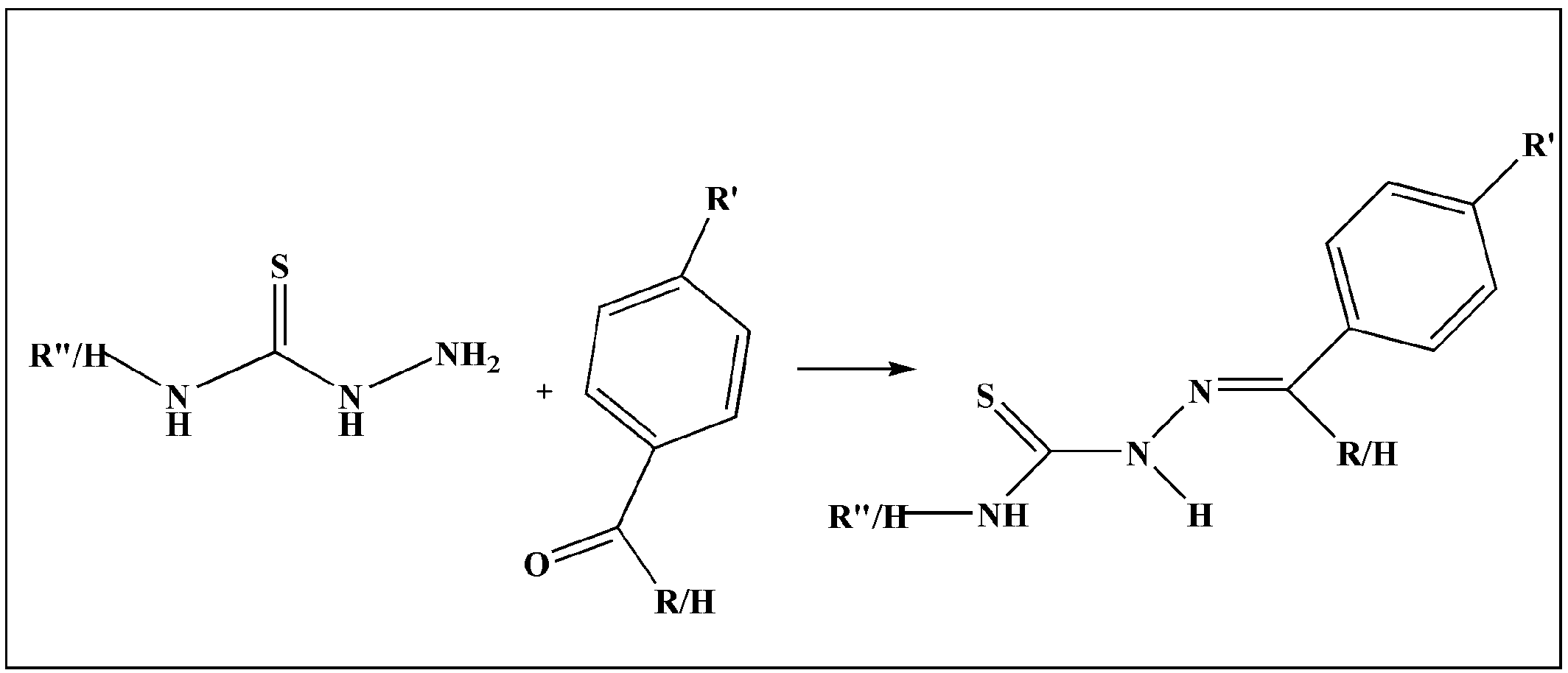
Thiosemicarbazones (TSCs) are organic compounds that have attracted significant research interest due to their diverse chemical properties and wide-ranging applications in various scientific domains [1]. The basic structure of TSCs consists of a central C-atom that is bonded to S, N and two H-atoms. TSCs are an important compound that are formed by the condensation reaction of thiosemicarbazides with appropriate aldehydes or ketones (Figure 1) [2].
This unique arrangement offers many molecular modification opportunities [3]. Various compounds, including bioactive molecules and metal complexes, have been synthesized by researchers using the unique reactivity of TSCs. These complexes display a wide range of biological activities, making them valuable scaffolds for developing novel therapeutic candidates. Due to their distinct chemical properties, transition metal complexes of different ligands are essential for a variety of biological activities. Zn, Cu, Ni, and Co TSC complexes have been extensively studied due to their significant structural, electronic and biological applications [4]. Because of their numerous desirable abilities, including coordination ability, stability, lipophilicity, chelation, diverse structural motifs, reactivity, DNA binding ability, etc., these complexes are very useful in catalysis, materials science and medicinal chemistry. Thus, these complexes are used in medicinal chemistry for the development of drugs and a variety of treatments. These compounds possess diverse functionalities that are crucial in various biological processes and applications, including antibacterial, antioxidant, anti-inflammatory, antimalarial, antifungal and anticancer properties [5,6]. The application of computational methods in chemistry and biology is crucial for drug discovery, providing valuable predictions across various research fields and industries, which are often challenging or time-consuming to achieve through experimental methods alone [7]. In the field of medicinal development, molecular docking, ADMET and DFT studies are essential tools [8,9]. They are used to predict the stability, chemical reactivity, toxicological and pharmacokinetic properties of the molecules, as well as to investigate the coordination between biological targets and possible drug molecules [10].

2. TSCs and Their Metal Complexes

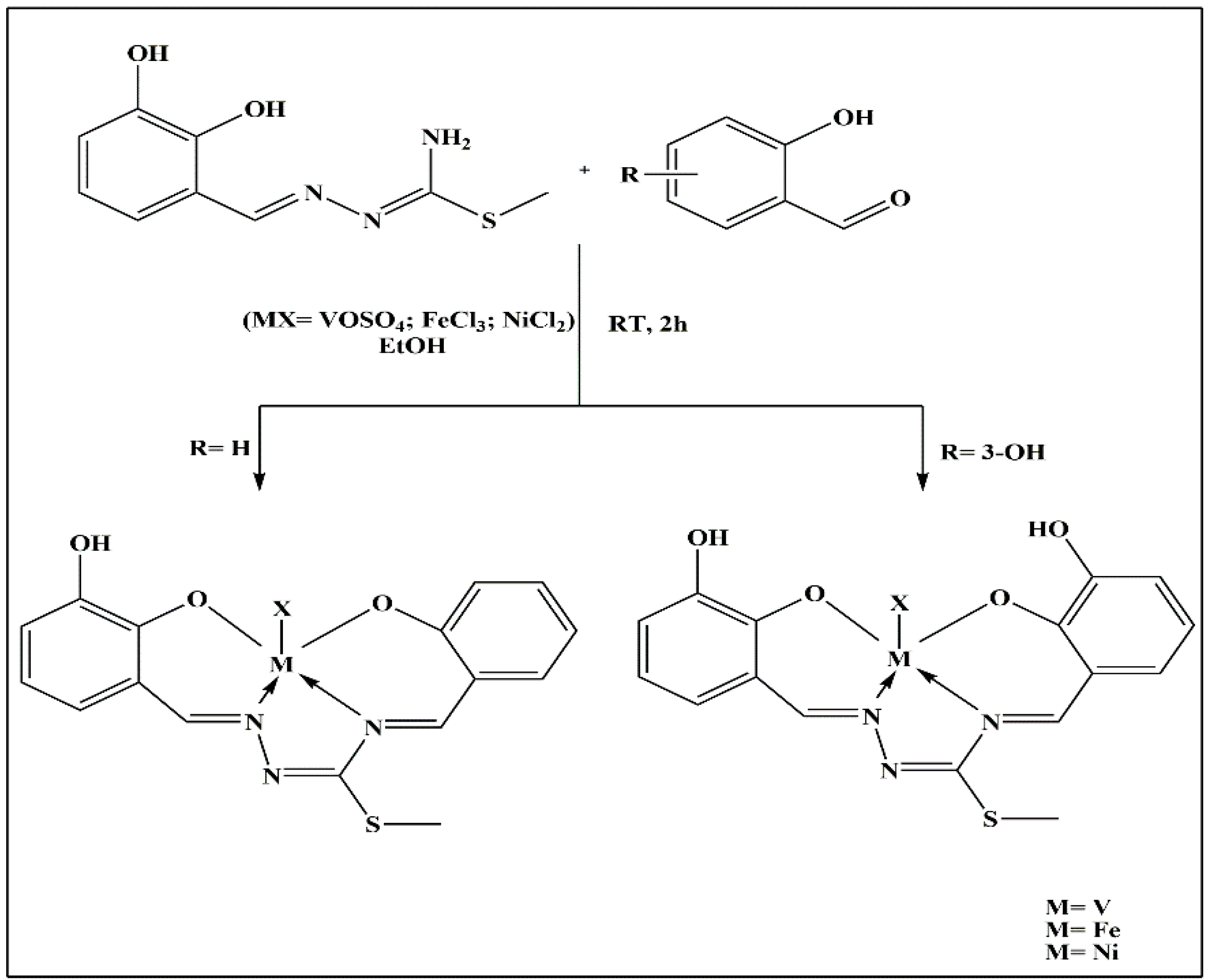
Bal-Demirci et al. reported 3-hydroxysalicylaldehyde-S-methylthiosemicarbazone and their VO(IV), Fe(III), Ni(II) complexes (Figure 2). The parent ligand and its complexes have been evaluated for their antioxidant and Reactive Oxygen Species (ROS) radical scavenging activities. The Fe(III) complex showed superior antioxidant activity, while the complexes of Fe(III) and V(IV) demonstrated higher ROS scavenging properties than the free ligand [11].
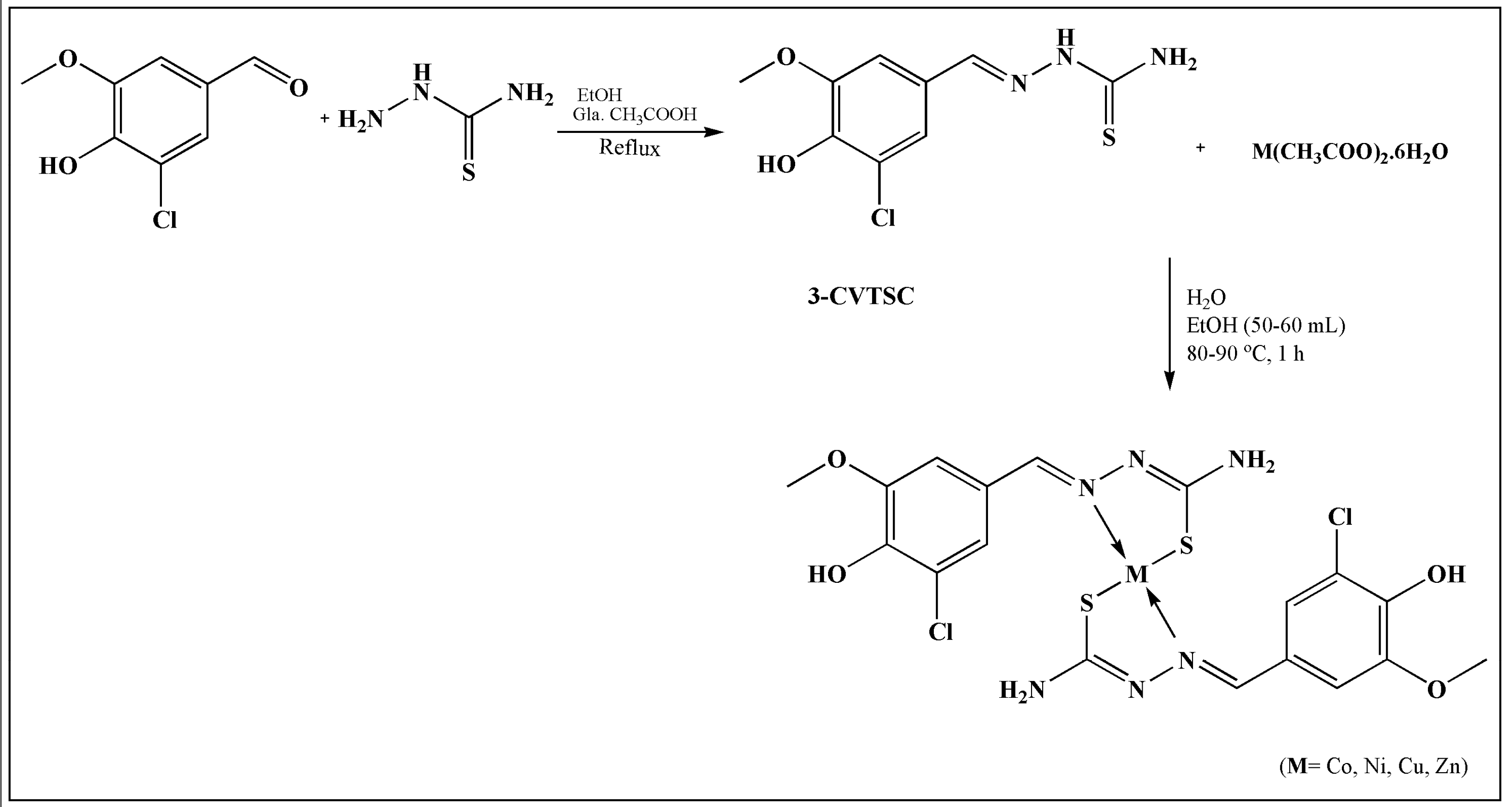
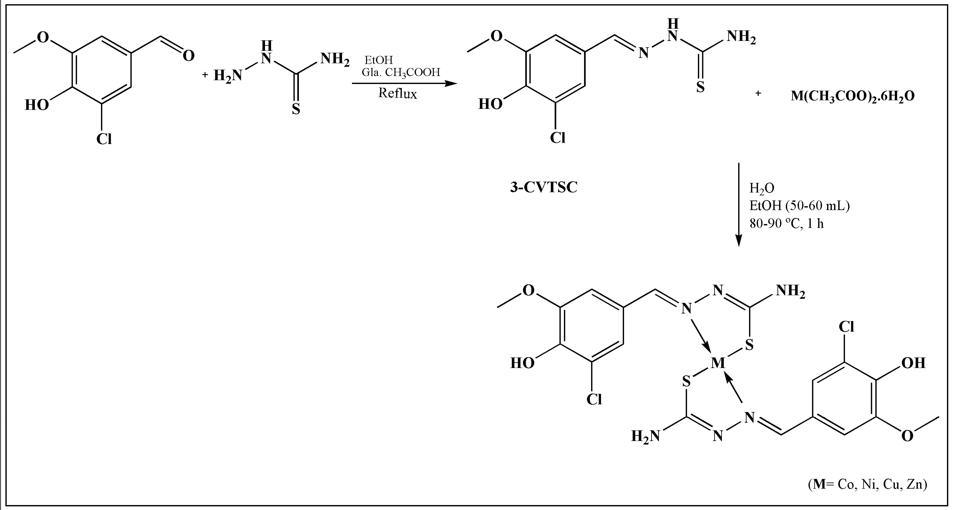
Mitesh et al. also reported a series of Co(II), Ni(II), Cu(II), Zn(II) complexes with 3-chlorovanillin thiosemicarbazone (3-CVTSC) ligand (Figure 3). The antimicrobial activity of 3-CVTSC and its metal complexes was also assessed. The complexes of Ni(II) and Zn(II) were found to be more effective than the ligand against the tested bacteria, and the Zn(II) and Co(II) complexes showed higher potency against the fungal strains [12].
Similarly, Ahmed et al. synthesized 2,6-pyridinedicarboxaldehydethiosemicarbazone (PDCTC) ligand and their Cr(III), Co(II), Ni(II) and Cu(II) complexes (Figure 4). The antibacterial activity of the free ligand and its complexes against S. aureus and E. coli, along with two fungi, viz. Candida albicans and Aspergillus niger were also investigated. The complexes have greater bactericidal activity than the free ligand due to chelation [13].
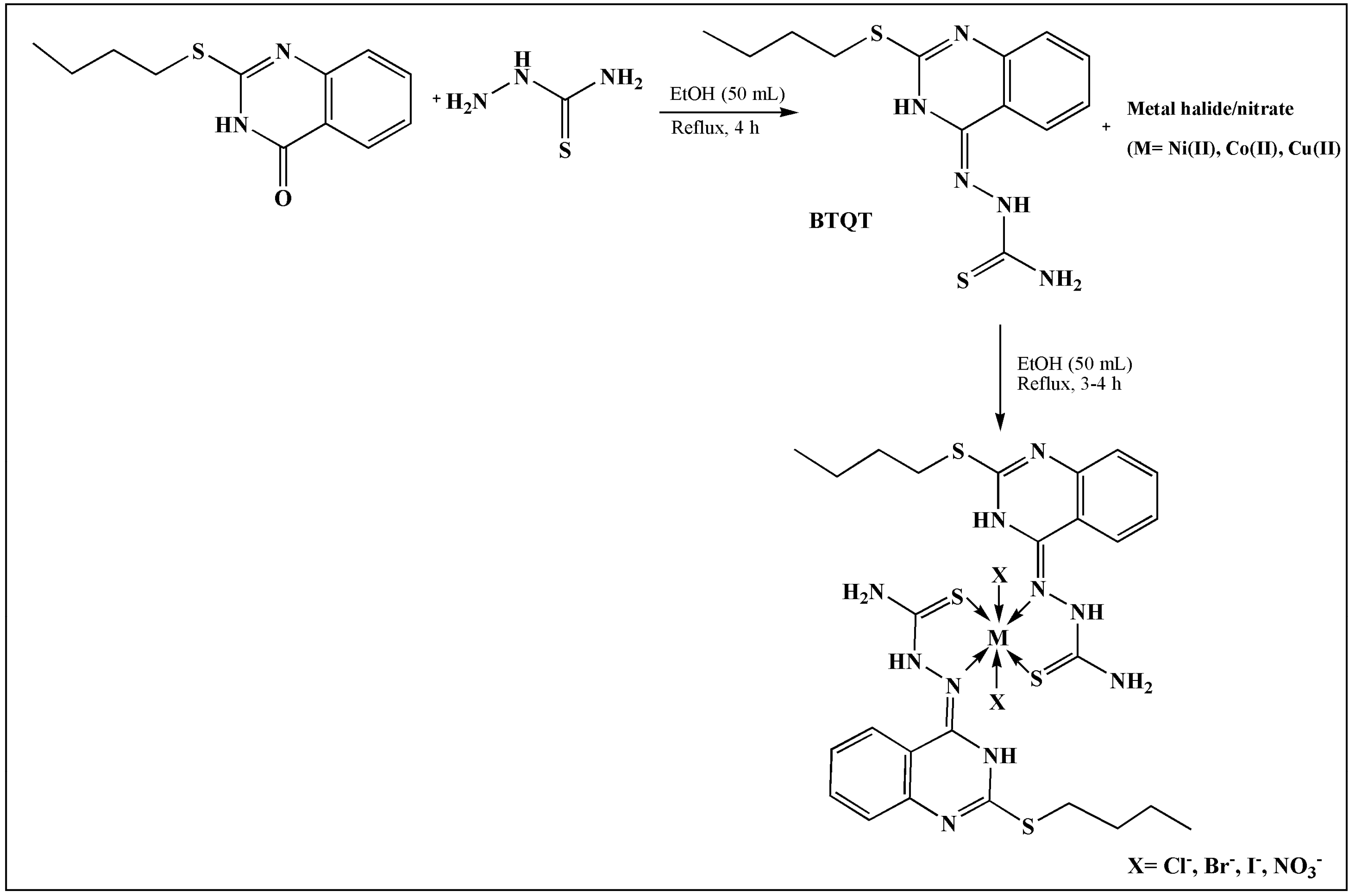
In another study, Rai et al. also reported 2-butyl thioquinazoline-4-(3H)-thiosemicarbazone (BTQT) ligand and their Co(II), Ni(II), and Cu(II) complexes (Figure 5). The antimicrobial activity of the ligand and complexes was tested against C. albicans and E. coli. Antimicrobial activity showed that the metal complexes have higher activity than the free ligand [14]. Some TSC metal complexes and their biological applications are depicted in Table 1.

3. Computational Studies

The biological activity of the methoxy thiosemicarbazone (MTSC) ligand was validated in a previous study by performing an in silico molecular docking analysis using Docking Server, in which its binding interactions with the 3hb5-oxidoreductase breast cancer protein and the SPOP kidney cancer protein were investigated (Figure 6A,B) [20]. The MTSC free ligand has a negative binding score of −5.83 kcal mol−1 against 3hb5-oxidoreductase protein, suggesting that the interaction was thermodynamically favorable. The binding affinity of the MTSC ligand for the 3hb5-oxidoreductase active sites increases as affinity energy decreases, resulting in stronger inhibition. The hydrogen-bonding interactions formed between the MTSC ligand and the amino acid residues of the 3hb5-oxidoreductase protein were examined to determine the stability of the ligand. The MTSC ligand binds effectively to the cavity of the 3hb5-oxidoreductase protein, facilitated by multiple hydrogen bonding interactions (Figure 6A). Additionally, a high intermolecular binding energy value (−9.27 kcal mol−1) was exhibited by the MTSC ligand toward the 3hb5-oxidoreductase protein. The 3hb5-oxidoreductase protein was found to be effectively inhibited by the MTSC ligand, whereas the MTSC ligand has a high affinity energy toward speckle-type POZ protein (SPOP)-binding protein (312.12 kcal mol−1), which indicates that the MTSC ligand has a low inhibitory effect on SPOP. This molecular docking data showed that, in contrast to SPOP-binding protein, MTSC can effectivity bind to the 3hb5-oxidoreductase protein and may show considerable regulation on this target protein.
In another study, Guin et al. reported 4-anisaldehyde thiosemicarbazone (4-HAntsc) and their Zn(II) and Cd(II) complexes, followed by density functional theory (DFT) calculations and molecular docking studies against the ATP-gated P2X7 ion channel (AGP2X7IC) and the human M1 muscarinic acetylcholine receptor (HM1CR) associated with Alzheimer’s disease. In addition, the adsorption, distribution, metabolism, excretion and toxicity (ADMET) and drug-likeness properties of the ligand and its metal complexes were predicted. The ligand 4-HAntsc and its metal complexes [Zn(4-Antsc)2(SO4)] and [Cd(4-HAnTsc)2Cl2] exhibited biological activity through the participation of O, N and S atoms in binding. The non-toxic behavior of the complexes is confirmed by ADMET studies. Molecular docking studies show that the Zn(II) complex with a binding energy of −52 kcal mol−1 inhibits the HM1CR, which is one of the possible protein receptors associated with Alzheimer’s disease, better than the Cd(II) complex with a binding energy of −50 kcal mol−1. Molecular docking studies also indicate that the Zn(II) and Cd(II) complexes have stronger binding to Alzheimer’s proteins than the standard drugs Donepezil and Rivastigmine [21]. Manakkadan et al. reported three Cu(II) complexes (CTS1–CTS3) of acenaphthene quinone TSC. It was revealed by docking studies on the EGFR protein (PDB ID: 5EDQ) that CTS2 has the highest affinity, with a docking energy of −7.41 kcal mol−1. DFT studies revealed that CTS3 exhibits higher structural stability, indicated by a band gap of 0.10634 eV, while CTS2 demonstrates stronger biological activity due to a lower ω value of 0.5864 eV. Swiss-ADME studies indicate that satisfactory lipophilicity (LogP > 5) values are exhibited by all three complexes, suggesting their potential as effective oral drug candidates. The greatest cytotoxic activity against (cervical) (HeLa), lung (A549), and breast (MCF-7) cancer cell lines was demonstrated by CTS2, as revealed by MTT assay, with IC50 values of 19.6, 43.9 and 11.5 μM, respectively. In contrast, CTS2 has the lowest cytotoxicity against normal (Vero) kidney epithelial cells, with an IC50 value of 79.7 μM [22]. Souza et al. found Co(III) and Mn(II) of 2-acetylpyridine-N(4)-methyl-thiosemicarbazone ligand (Hatc-Me), a monomer complex [CuCl(atc-Me)] and a novel dinuclear complex [{Cu(μ-atc-Me)}2μ-SO4]. Intermolecular interactions in the complexes were further confirmed by Hirshfeld surface and energy framework analyses. Six different strains of mycobacteria, including Mycobacterium tuberculosis, were used to test the biological activity of the Cu(II) salts, the free ligand, and its Cu(II) complexes. The complexes were found to exhibit antibacterial activity against M. avium and M. tuberculosis within the range of 6.12–12.73 μM. Molecular docking analysis was performed, yielding highly favorable binding energies of −14.03 and −11.11 kcal mol−1 for [{Cu(μ-atc-Me)}2μ-SO4] against M. avium and M. tuberculosis, respectively. The in silico studies demonstrate that the complexes could be used as potential candidates in the development of novel antimycobacterial drugs [23]. In another study, Khan et al. reported mixed ligand complexes of Zn(II), Co(II), Fe(II) and Cu(II) with 2-butanone TSC and 1, 10 phenanthroline. The bioactivity score prediction, toxicity potential and drug-likeness of the complexes were also assessed through computational studies using different drug filters. Only the Cu complex displayed one Lipinski’s violation, while all the other complexes showed no Veber’s violations. Positive bioactivity as enzyme inhibitors was exhibited by some of the compounds. The complexes were subjected to molecular docking against topoisomerase II (Topo II) and ribonucleotide diphosphate reductase (RR), and for the determination of minimum binding energies (kcal mol−1). The Fe complex has the lowest binding energy of 99.8349 kcal mol−1 when docked with RR, while the Cu complex has the highest affinity for Topo II with a binding energy of −101.13 kcal mol−1. The ligand has potential anticancer activity against the MDA-MB-231 cell line, the results of which are comparable to the standard drugs doxorubicin HCl and tetracycline using the MTT assay. The complexes also have antibacterial activity against S. aureus and E. coli. The highest cytotoxic activity toward MDA cells and mild antibacterial effects against S. aureus were demonstrated by the Cu(II) complex [24]. El-Sayed et al. reported Fe(II), Mn(II) and Ni(II) complexes of (E)-2-(4-hydroxybenzylidene) hydrazine-1-carbothioamide (Schiff base-TSC). Significant reactivity and favorable electronic transitions were exhibited by the Ni(II) complex, as demonstrated by DFT calculations with an energy gap of 1.190 eV. Furthermore, the stability of the complex was evaluated using another set of calculated quantum chemical parameters. In silico studies indicated that the designed metal complexes have significant inhibition activity against Bacillus cereus, particularly [NiL2Cl2], which showed a higher binding affinity of −7.1 kcal mol−1. Further in silico studies were performed on the Gram-positive bacterial strain S. aureus, and the results supported the experimental findings by showing increased inhibition in the presence of the MnL2Cl2 complex. Based on the calculated binding affinity, a more stable Mn(II) conformer (−9.4 kcal mol−1) was determined by docking studies. Comparison with experimental results indicated that MnL2Cl2 has lower MIC values (≤16–32 µg/mL) against Pneumonia and B. cereus. The antioxidant activity of the complexes was also evaluated, and significant free radical scavenging was observed. The IC50 values were found to be 38.33 μg/mL for FeL2Cl2, 27.35 μg/mL for NiL2Cl2, and 34.79 μg/mL for MnL2Cl2, while ascorbic acid has 22.35 μg/mL. Insights from these biological studies may provide a framework for the future evaluation of other metal series, aiming to identify potent inhibitors for therapeutic applications [25]. In a previous study, the impact of the metal ion and coordination on stabilization interactions in the crystal structure was investigated using Hirshfeld surface analysis. Figure 7 depicts the Hirshfeld surface of Pyridoxal-thiosemicarbazone (PLTSC) [26].

4. Mechanistic Insight of TSCs

4.1. Inhibition of DNA Interactions and Topo II

DNA decatenation is caused by the enzyme called topoisomerase, which is present in eukaryotic cells and is required for the replication of DNA. During replication, it also stops supercoiling [27,28]. Topo II plays a crucial role in cell division and is abundantly present in cancerous cells. TSCs are potent anticancer drugs that effectively inhibit the activity of Topo II. Researchers investigated the correlation between the performance of 64Cu-labeled thiosemicarbazide complexes in vitro and in vivo, and Topo II activity expression [29]. Four nonane thiosemicarbazide ligands (4N-azobicyclo [3.2.2]) were synthesized and radiolabelled with 64Cu, resulting in the production of lipophilic cations (Figure 8). Out of four ligands, three were shown to have superior growth inhibition properties in HT29 cells, with an IC50 value of 0.004 μmol/L, when compared to non-radioactive copper. Numerous nitrogen-based heterocycles containing tridentate TSCs have been explored. It has been found that a ligand with a quinoline group exhibits high cytotoxicity and the capacity to inhibit the activity of Topo-II [30]. A subsequent study revealed that the Cu complexes of the same ligand inhibited Topo-II [31]. Compared to the uncomplexed ligand, Cu complexes have better growth inhibitory effect and lower IC50 values against cancer cells than the previously demonstrated Topo-II inhibitors [32]. The antitumor activity of 1,2 naphthoquinone-2-thiosemicarbazone and its Ni(II), Cu(II) and Pd(II) complexes was tested against the breast cancer (MCF-7) cell line, demonstrating promising antitumor properties. Based on IC50 values, the Ni complex has been found to be very effective [33].

4.2. ROS Generation

Complexes of redox metals have the ability to generate ROS [2]. The biological activity of [Cu(L)2(dca)](ClO4) and [Cu(L)2(pz)](ClO4) complexes, where L = 2-formylpyridine thiosemicarbazone, dca = dicyanamide and pz = pyrazine on DNA has been evaluated. These complexes were observed to induce both single- and double-strand DNA breaks [34]. Cu is an essential micronutrient that plays a crucial role in biological processes, including modulation of angiogenesis [35,36], redox regulation and cellular trafficking [37,38]. Four new metal complexes of TSC—[Cu(Am4M)(OAc)]·H2O (1), [Zn2(Am4M)2(OAc)2]·2MeOH (2), [Zn2(Am4M)2Br2] (3) and [Zn(HAm4M)Cl2] (4) where HAm4M = (Z)-2 (amino(pyridin-2-yl) methylene)-N-methylhydrazinecarbothioamide have been reported and evaluated towards HepG-2 cells. The IC50 value of complex-1 (11.2 ± 0.9 μM) against HepG-2 cells is approximately half that observed in human hepatic cell lines LO-2, indicating a decrease in adverse effects on liver cells. It has been observed that complex1 exhibits greater inhibition on HepG-2 cell viability compared to cis-platin (IC50 = 25 ± 3.1 μM), indicating that it may be an effective anticancer drug. The analysis of flow cytometry and fluorescence microscopy has revealed that complex-1 cannot inhibit the viability of HepG-2 cells and promote cell death. Various indicators, including comet assay, ROS generation, DNA cleavage and the analysis of cell cycle, indicated that the anticancer mechanism of complex-1 in HepG-2 cells may involve the apoptosis pathway triggered by ROS [39]. Complexes 1–4 exhibit varied coordination geometries under similar synthetic conditions, influenced by factors such as the metal ion’s properties (including coordination numbers and ionic radius) and the presence of different counter anions (OAc, Br, Cl) [2].

4.3. Multidrug Resistance Protein (MDR1) Inhibition

One of the biggest obstacles and clinical challenges in the development of anti-cancer medications is multidrug resistance. Tumor cells can develop multidrug resistance, making them resistant to other types of anticancer drugs to which they have not been previously treated [40]. The antiproliferative effect of Pd complexes with phenanthrenequinone thiosemicarbazone in breast cancer cells and normal cells has been investigated. The findings indicated that the complex demonstrated a strong anti-neoplastic effect, selectively targeting tumor cells, particularly effective against breast cancer cells that have developed resistance to these drugs [41].

5. Future Prospects

Over the next decade, advanced technologies and algorithms are expected to be developed through continued advancements in computer-aided drug design and discovery. The identification of potential drug candidates and the prediction of their toxicity, efficacy and pharmacokinetics are expected to be increasingly supported by AI and machine learning approaches. The ability to accurately predict the binding affinity of a potential drug molecule to its target protein is one of the major obstacles that researchers are facing. Despite significant recent advancements in computational methods, further research is required to develop more accurate models and algorithms for predicting binding affinities. The use of extensive datasets and the integration of complex molecular interactions are expected to be required. The in vivo behavior of drug molecules is another challenge to predict accurately. In silico models are valuable for predicting pharmacokinetics and toxicity; however, there is a necessity for more accurate models that account for the complex interactions between drug molecules, targets and biological systems. To overcome existing challenges, it is essential for researchers to develop advanced algorithms and computational tools that successfully merge machine learning, molecular modeling and big data analytics. Furthermore, a comprehensive understanding of drug design and discovery depends on effective collaboration among multiple disciplines, such as biology, chemistry, computer science and medicine. Further research and development will be required to fully exploit the opportunities offered by these technologies and to overcome the challenges associated with drug discovery and development [42].

6. Conclusions

TSC complexes have significantly higher biological activity compared to parent TSCs. These complexes have potential applications in treating various fatal diseases. This review provides TSC complexes and their biological applications. Moreover, these computational techniques enable researchers to examine electronic structures and spectroscopic characteristics, which are crucial for establishing structure–activity relationships (SARs) and understanding reactivity patterns. The gap between experimental research and theoretical understanding is bridged by computational studies, enabling the behavior of metal complexes in various biological and chemical systems to be predicted and optimized. The design and development of more effective compounds for various applications is made easier by this approach. This might be a big advantage for the future advancement of adaptive molecules for a variety of activities.

Author Contributions

Conceptualization, S.J. and K.H.; resources, S.J.; data curation, K.H., T.K. and S.J.; writing—original draft preparation, K.H. and S.J.; writing—review and editing, K.H., S., P.M., E.V., T.K. and S.J.; visualization, K.H., T.K. and S.J.; supervision, S.J. All authors have read and agreed to the published version of the manuscript.

Funding

This research received no external funding.

Institutional Review Board Statement

Not applicable.

Informed Consent Statement

Not applicable.

Data Availability Statement

The original contributions presented in this study are included in the article. Further inquiries can be directed to the corresponding author.

Acknowledgments

The authors are thankful to the President and Principal, Isabella Thoburn College, Lucknow for extending the necessary facilities and cooperation to carry out the work.

Conflicts of Interest

The authors declare no conflicts of interest.

References

  1. Khan, T.; Raza, S.; Hashmi, K.; Ahmad, M.I.; Khan, A.R. Structural modifications for biological activity enhancements in thiosemicarbazone scaffolds and their metal complexes. Synlett 2025, 36, 2732–2762. [Google Scholar] [CrossRef]
  2. Khan, T.; Ahmad, R.; Joshi, S.; Khan, A.R. Anticancer potential of metal thiosemicarbazone complexes: A review. Chem. Sin. 2015, 6, 1–11. [Google Scholar]
  3. Yousef, T.A.; El-Reash, G.A. Synthesis, and biological evaluation of complexes based on thiosemicarbazone ligand. J. Mol. Struct. 2020, 1201, 127180. [Google Scholar] [CrossRef]
  4. Netalkar, P.P.; Netalkar, S.P.; Revankar, V.K. Transition metal complexes of thiosemicarbazone: Synthesis, structures and invitro antimicrobial studies. Polyhedron 2015, 100, 215–222. [Google Scholar] [CrossRef]
  5. Jamal, S.E.; Iqbal, A.; Rahman, K.A.; Tahmeena, K. Thiosemicarbazone Complexes as Versatile Medicinal Chemistry Agents: A Review. J. Drug Deliv. Ther. 2019, 9, 689–703. [Google Scholar] [CrossRef]
  6. Hashmi, K.; Rai, S.; Sharma, S.; Gupta, S.; Mishra, P.; Veg, E.; Khan, T.; Gupta, A.; Joshi, S. Spectroscopic and Quantum Chemical Studies of some Novel Mixed-ligand complexes of Vanadium and Comparative Evaluation of their Antimicrobial and Antioxidant activities. Inorg. Chem. Commun. 2025, 174, 113967. [Google Scholar] [CrossRef]
  7. Rhoufal, F.; Guesmi, S.; Jouffret, L.; Ketatni, E.M.; Sergent, N.; Obbade, S.; Bentiss, F. Novel copper(II) and nickel(II) coordination complexes of 2,4-pentanedione bis-thiosemicarbazone: Synthesis, structural characterization, computational studies, and magnetic properties. Inorg. Chem. Commun. 2022, 141, 109574. [Google Scholar] [CrossRef]
  8. Dalal, M.; Antil, N.; Kumar, B.; Devi, J.; Garg, S. Exploring the novel aryltellurium(IV) complexes: Synthesis, characterization, antioxidant, antimicrobial, antimalarial, theoretical and ADMET studies. Inorg. Chem. Commun. 2023, 159, 111743. [Google Scholar] [CrossRef]
  9. Roney, M.; Dubey, A.; Hassan Nasir, M.; Tufail, A.; Tajuddin, S.N.; Mohd Aluwi, M.F.F.; Huq, A.M. Computational evaluation of quinones of Nigella sativa L. as potential inhibitor of dengue virus NS5 methyltransferase. J. Biomol. Struct. Dyn. 2023, 1, 8701–8711. [Google Scholar] [CrossRef]
  10. Azad, I.; Khan, T.; Maurya, A.K.; Irfan Azad, M.; Mishra, N.; Alanazi, A.M. Identification of Severe Acute Respiratory Syndrome Coronavirus-2 inhibitors through in silico structure-based virtual screening and molecular interaction studies. J. Mol. Recognit. 2021, 34, e2918. [Google Scholar] [CrossRef] [PubMed]
  11. Bal-Demirci, T.; Şahin, M.; Kondakçı, E.; Özyürek, M.; Ülküseven, B.; Apak, R. Synthesis and antioxidant activities of transition metal complexes based 3-hydroxysalicylaldehyde-S-methylthiosemicarbazone. Spectrochim. Acta Part A Mol. Biomol. Spectrosc. 2015, 138, 866–872. [Google Scholar] [CrossRef]
  12. Mahetar, J.G.; Mamtora, M.J.; Gondaliya, M.B.; Manawar, R.B.; Shah, M.K. Synthesis, characterization and antimicrobial activity of transition metal complexes of thiosemicarbazone bearing vanillin moiety. World J. Pharm. Res. 2014, 3, 4383–4392. [Google Scholar]
  13. Ahmed, M.F.A.; Mahammadyunus, V. Microwave synthesis and antimicrobial activity of some Copper (II), Cobalt (II), Nickel (II) and Chromium (III) complexes with Schiff base 2, 6-pyridinedicarboxaldehyde-Thiosemicarbazone. Orient. J. Chem. 2014, 30, 111–117. [Google Scholar] [CrossRef]
  14. Rai, B.K.; Sinha, P.; Singh, V.; Vidhyarthi, S.N.; Pandey, A. Structural and Spectroscopic Aspects of Schiff Base Metal Complexes of Cobalt (II), Nickel (II) and Copper (II). Orient. J. Chem. 2014, 30, 1429. [Google Scholar] [CrossRef]
  15. Zheng, X.J.; Bell, N.L.; Stevens, C.J.; Zhong, Y.X.; Schreckenbach, G.; Arnold, P.L.; Love, J.B.; Pan, Q.J. Relativistic DFT and experimental studies of mono-and bis-actinyl complexes of an expanded Schiff-base polypyrrole macrocycle. Dalton Trans. 2016, 45, 15910–15921. [Google Scholar] [CrossRef] [PubMed]
  16. Zeglis, B.M.; Divilov, V.; Lewis, J.S. Role of metalation in the topoisomerase IIα inhibition and antiproliferation activity of a series of α-heterocyclic-N4-substituted thiosemicarbazones and their Cu (II) complexes. J. Med. Chem. 2011, 54, 2391–2398. [Google Scholar] [CrossRef] [PubMed]
  17. Matesanz, A.I.; Albacete, P.; Souza, P. Synthesis and characterization of a new bioactive mono (thiosemicarbazone) ligand based on 3, 5-diacetyl-1, 2, 4-triazol diketone and its palladium and platinum complexes. Polyhedron 2016, 109, 161–165. [Google Scholar] [CrossRef]
  18. Subasi, E.; Atalay, E.B.; Erdogan, D.; Sen, B.; Pakyapan, B.; Kayali, H.A. Synthesis and characterization of thiosemicarbazone-functionalized organoruthenium (II)-arene complexes: Investigation of antitumor characteristics in colorectal cancer cell lines. Mater. Sci. Eng. C 2020, 106, 110152. [Google Scholar] [CrossRef]
  19. Suvarapu, L.N.; Baek, S.O. Synthesis and characterization of 4-benzyloxybenzaldehyde-4-methyl-3-thiosemicarbazone (containing Sulphur and nitrogen donor atoms) and its Cd (II) complex. Metals 2015, 5, 2266–2276. [Google Scholar]
  20. Gaber, A.; Refat, M.S.; Belal, A.A.; El-Deen, I.M.; Hassan, N.; Zakaria, R.; Alhomrani, M.; Alamri, A.S.; Alsanie, W.F.; Saied, E.M. New mononuclear and binuclear Cu (II), Co (II), Ni (II), and Zn (II) thiosemicarbazone complexes with potential biological activity: Antimicrobial and molecular docking study. Molecules 2021, 26, 2288. [Google Scholar] [CrossRef]
  21. Guin, M.; Sarkar, P.; Khanna, S.; Arora, S.; Boora, A.; Munjal, P. Elucidating anti-Alzheimer role of 4-anisaldehyde thiosemicarbazone and its zinc and cadmium complexes: DFT calculation and molecular docking studies. Vietnam J. Chem. 2025, 46, 1119–1219. [Google Scholar] [CrossRef]
  22. Manakkadan, V.; Haribabu, J.; Valsan, A.K.; Palakkeezhillam, V.N.V.; Rasin, P.; Moraga, D.; Kumar, V.S.; Muena, J.P.; Sreekanth, A. Synthesis and characterization of copper (II) complex derived from newly synthesized acenaphthene quinone thiosemicarbazone ligands: Computational studies, in vitro binding with DNA/BSA and anticancer studies. Inorg. Chim. Acta 2025, 574, 122369. [Google Scholar] [CrossRef]
  23. Souza, R.A.; Costa, W.R.; Faria, E.D.F.; Bessa, M.A.D.S.; Menezes, R.D.; Martins, C.H.; Maia, P.I.; Deflon, V.M.; Oliveira, C.G. Copper (II) complexes based on thiosemicarbazone ligand: Preparation, crystal structure, Hirshfeld surface, energy framework, antiMycobacterium activity, in silico and molecular docking studies. J. Inorg. Biochem. 2021, 223, 111543. [Google Scholar] [CrossRef]
  24. Khan, T.; Azad, I.; Ahmad, R.; Raza, S.; Dixit, S.; Joshi, S.; Khan, A.R. Synthesis, characterization, computational studies and biological activity evaluation of Cu, Fe, Co and Zn complexes with 2-butanone thiosemicarbazone and 1, 10-phenanthroline ligands as anticancer and antibacterial agents. Excli J. 2018, 17, 331. [Google Scholar]
  25. El-Sayed, D.S.; Hassan, S.S.; Jassim, L.S.; Issa, A.A.; Al-Oqaili, F.; Albayaty, M.K.; Hasoon, B.A.; Jabir, M.S.; Rasool, K.H.; Elbadawy, H.A. Structural and topological analysis of thiosemicarbazone-based metal complexes: Computational and experimental study of bacterial biofilm inhibition and antioxidant activity. BMC Chem. 2025, 19, 24. [Google Scholar] [CrossRef] [PubMed]
  26. Jevtovic, V.; Alshamari, A.K.; Milenković, D.; Dimitrić Marković, J.; Marković, Z.; Dimić, D. The effect of metal ions (Fe, Co, Ni, and Cu) on the molecular-structural, protein binding, and cytotoxic properties of metal pyridoxal-thiosemicarbazone complexes. Int. J. Mol. Sci. 2023, 24, 11910. [Google Scholar] [CrossRef]
  27. Larsen, A.K.; Skladanowski, A.; Bojanowski, K. The roles of DNA topoisomerase II during the cell cycle. Prog. Cell Cycle Res. 1996, 2, 229–239. [Google Scholar]
  28. Easmon, J.; Pürstinger, G.; Heinisch, G.; Roth, T.; Fiebig, H.H.; Holzer, W.; Jäger, W.; Jenny, M.; Hofmann, J. Synthesis, cytotoxicity, and antitumor activity of copper (II) and iron (II) complexes of 4 N-azabicyclo [3.2. 2] nonane thiosemicarbazones derived from acyl diazines. J. Med. Chem. 2001, 44, 2164–2171. [Google Scholar] [CrossRef] [PubMed]
  29. Wei, L.; Easmon, J.; Nagi, R.K.; Muegge, B.D.; Meyer, L.A.; Lewis, J.S. 64Cu-azabicyclo [3.2. 2] nonane thiosemicarbazone complexes: Radiopharmaceuticals for PET of topoisomerase II expression in tumors. J. Nucl. Med. 2006, 47, 2034–2041. [Google Scholar]
  30. Huang, H.; Chen, Q.; Ku, X.; Meng, L.; Lin, L.; Wang, X.; Zhu, C.; Wang, Y.; Chen, Z.; Li, M.; et al. A series of α-heterocyclic carboxaldehyde thiosemicarbazones inhibit topoisomerase IIα catalytic activity. J. Med. Chem. 2010, 53, 3048–3064. [Google Scholar] [CrossRef] [PubMed]
  31. Chen, J.; Huang, Y.W.; Liu, G.; Afrasiabi, Z.; Sinn, E.; Padhye, S.; Ma, Y. The cytotoxicity and mechanisms of 1, 2-naphthoquinone thiosemicarbazone and its metal derivatives against MCF-7 human breast cancer cells. Toxicol. Appl. Pharmacol. 2004, 197, 40–48. [Google Scholar] [CrossRef]
  32. Saha, M.T.; Saha, H.H.; Niskanen, L.K.; Salmela, K.T.; Pasternack, A.I. Time course of serum prolactin and sex hormones following successful renal transplantation. Nephron 2002, 92, 735–737. [Google Scholar] [CrossRef] [PubMed]
  33. Sartorelli, A.C.; Agrawal, K.C.; Tsiftsoglou, A.S.; Moore, E.C. Characterization of the biochemical mechanism of action of α-(N)-heterocyclic carboxaldehyde thiosemicarbazones. Adv. Enzyme Regul. 1977, 15, 117–139. [Google Scholar] [CrossRef]
  34. Shao, J.; Ma, Z.Y.; Li, A.; Liu, Y.H.; Xie, C.Z.; Qiang, Z.Y.; Xu, J.Y. Thiosemicarbazone Cu (II) and Zn (II) complexes as potential anticancer agents: Syntheses, crystal structure, DNA cleavage, cytotoxicity and apoptosis induction activity. J. Inorg. Biochem. 2014, 136, 13–23. [Google Scholar] [CrossRef]
  35. Khan, G.N.; Merajver, S.D. Modulation of angiogenesis for cancer prevention: Strategies based on antioxidants and copper deficiency. Curr. Pharm. Des. 2007, 13, 3584–3590. [Google Scholar] [CrossRef] [PubMed]
  36. Pan, Q.; Bao, L.W.; Merajver, S.D. Tetrathiomolybdate inhibits angiogenesis and metastasis through suppression of the NFκB signaling cascade. Mol. Cancer Res. 2003, 1, 701–706. [Google Scholar]
  37. Reddi, A.R.; Culotta, V.C. SOD1 integrates signals from oxygen and glucose to repress respiration. Cell 2013, 152, 224–235. [Google Scholar] [CrossRef]
  38. Gourdon, P.; Liu, X.Y.; Skjørringe, T.; Morth, J.P.; Møller, L.B.; Pedersen, B.P.; Nissen, P. Crystal structure of a copper-transporting PIB-type ATPase. Nature 2011, 475, 59–64. [Google Scholar] [CrossRef] [PubMed]
  39. Chen, D.; Frezza, M.; Shakya, R.; Cui, Q.C.; Milacic, V.; Verani, C.N.; Dou, Q.P. Inhibition of the proteasome activity by gallium (III) complexes contributes to their anti–prostate tumor effects. Cancer Res. 2007, 67, 9258–9265. [Google Scholar] [CrossRef]
  40. Chen, J.S.; Agarwal, N.; Mehta, K. Multidrug-resistant MCF-7 breast cancer cells contain deficient intracellular calcium pools. Breast Cancer Res. Treat. 2002, 71, 237–247. [Google Scholar] [CrossRef]
  41. Padhye, S.; Afrasiabi, Z.; Sinn, E.; Fok, J.; Mehta, K.; Rath, N. Antitumor metallothiosemicarbazonates: Structure and antitumor activity of palladium complex of phenanthrenequinone thiosemicarbazone. Inorg. Chem. 2005, 44, 1154–1156. [Google Scholar] [CrossRef] [PubMed]
  42. Azad, I.; Khan, T.; Ahmad, N.; Khan, A.R.; Akhter, Y. Updates on drug designing approach through computational strategies: A review. Future Sci. OA 2023, 9, FSO862. [Google Scholar] [CrossRef] [PubMed]
Figure 1. General method of preparation of TSCs.
Figure 1. General method of preparation of TSCs.
Engproc 117 00023 g001
Figure 2. Metal complexes of 3-hydroxysalicylaldehyde-S-methylthiosemicarbazone.
Figure 2. Metal complexes of 3-hydroxysalicylaldehyde-S-methylthiosemicarbazone.
Engproc 117 00023 g002
Figure 3. Metal complexes of 3-chlorovanillin thiosemicarbazone.
Figure 3. Metal complexes of 3-chlorovanillin thiosemicarbazone.
Engproc 117 00023 g003
Figure 4. Metal complexes of 2,6-pyridinedicarboxaldehydethiosemicarbazone.
Figure 4. Metal complexes of 2,6-pyridinedicarboxaldehydethiosemicarbazone.
Engproc 117 00023 g004
Figure 5. Metal complexes of 2-butyl thioquinazoline-4-(3H)-thiosemicarbazone.
Figure 5. Metal complexes of 2-butyl thioquinazoline-4-(3H)-thiosemicarbazone.
Engproc 117 00023 g005
Figure 6. MTSC ligand 3D molecular docking against (A) 3hb5-oxidoreductase protein and (B) speckle-type POZ protein (SPOP)-binding protein.
Figure 6. MTSC ligand 3D molecular docking against (A) 3hb5-oxidoreductase protein and (B) speckle-type POZ protein (SPOP)-binding protein.
Engproc 117 00023 g006
Figure 7. The Hirshfeld surface. (A) PLTSC structure optimized at the B3LYP/6-31+G(d,p) theory level. (B) Sulfur, yellow; nitrogen, blue; oxygen, red; carbon, grey; hydrogen, white.
Figure 7. The Hirshfeld surface. (A) PLTSC structure optimized at the B3LYP/6-31+G(d,p) theory level. (B) Sulfur, yellow; nitrogen, blue; oxygen, red; carbon, grey; hydrogen, white.
Engproc 117 00023 g007
Figure 8. 4N-azobicyclo [3.2.2] nonane TSC ligands: (a) EPH142 (b) EPH143 (c) EPH144 (d) EPH270.
Figure 8. 4N-azobicyclo [3.2.2] nonane TSC ligands: (a) EPH142 (b) EPH143 (c) EPH144 (d) EPH270.
Engproc 117 00023 g008
Table 1. Biological application of some TSC metal complexes.
Table 1. Biological application of some TSC metal complexes.
S.No.MetalTSC LigandBiological ActivityReferences
1.Cu(II), Co(II), Ni(II) and Zn(II)ethyl (E)-2-cyano-3-(2-((E)-3-ethyl-2- hydroxybenzylidene)hydrazine-1-carbothioamido)-3-(4- ethylphenyl)acrylateAntifungal, Antibacterial[15]
2.Cu(II)α-Heterocyclic-N4 -Substituted TSCsAntiproliferative[16]
3.Pd(II), Pt(II)3,5-diacetyl-1,2,4- triazol mono(4-phenylthiosemicarbazone)Antiproliferative[17]
4.Ru(II)(E)-2-(1-(5-substituted thiophen-2-yl)ethylidene)-N-substituted hydrazine-1-carbothioamideAnticancer[18]
5.Cd(II)4-benzyloxy-benzaldehyde-4-methyl-3-thiosemicarbazoneAnticancer[19]
Disclaimer/Publisher’s Note: The statements, opinions and data contained in all publications are solely those of the individual author(s) and contributor(s) and not of MDPI and/or the editor(s). MDPI and/or the editor(s) disclaim responsibility for any injury to people or property resulting from any ideas, methods, instructions or products referred to in the content.

Share and Cite

MDPI and ACS Style

Hashmi, K.; Satya; Mishra, P.; Veg, E.; Khan, T.; Joshi, S. Computational Studies of Thiosemicarbazone-Based Metal Complexes and Their Biological Applications. Eng. Proc. 2025, 117, 23. https://doi.org/10.3390/engproc2025117023

AMA Style

Hashmi K, Satya, Mishra P, Veg E, Khan T, Joshi S. Computational Studies of Thiosemicarbazone-Based Metal Complexes and Their Biological Applications. Engineering Proceedings. 2025; 117(1):23. https://doi.org/10.3390/engproc2025117023

Chicago/Turabian Style

Hashmi, Kulsum, Satya, Priya Mishra, Ekhlakh Veg, Tahmeena Khan, and Seema Joshi. 2025. "Computational Studies of Thiosemicarbazone-Based Metal Complexes and Their Biological Applications" Engineering Proceedings 117, no. 1: 23. https://doi.org/10.3390/engproc2025117023

APA Style

Hashmi, K., Satya, Mishra, P., Veg, E., Khan, T., & Joshi, S. (2025). Computational Studies of Thiosemicarbazone-Based Metal Complexes and Their Biological Applications. Engineering Proceedings, 117(1), 23. https://doi.org/10.3390/engproc2025117023

Article Metrics

Back to TopTop