Next Article in Journal
Biological Response of Plants to Thermally Active Coal Mine Spoil Heap Substrates Toxicity: Upper Silesian Region in Czech Republic and Poland, Examples Comparison
Previous Article in Journal
Removal Efficiency of Pharmaceuticals from Municipal Wastewater by Advanced Treatment Methods
 
 
Font Type:
Arial Georgia Verdana
Font Size:
Aa Aa Aa
Line Spacing:
Column Width:
Background:
Proceeding Paper

Effectiveness of Filtrasorb Activated Carbon in Removing Selected Pharmaceuticals from Water †

by
Renata Biela
1,* and
Daniela Lukášová
2
1
Institute of Municipal Water Management, Brno University of Technology, Žižkova 17, 602 00 Brno, Czech Republic
2
Adavak, Inc., Nádražní 455, 679 09 Adamov, Czech Republic
*
Author to whom correspondence should be addressed.
Presented at the 5th International Conference on Advances in Environmental Engineering, Ostrava, Czech Republic, 26–28 November 2025.
Eng. Proc. 2025, 116(1), 13; https://doi.org/10.3390/engproc2025116013
Published: 28 November 2025

Abstract

This paper deals with the removal of selected micropollutants from water in the laboratory, namely the removal of pharmaceuticals using the sorption materials Filtrasorb F100 and Filtrasorb F400. A group of well-known and available pharmaceuticals was selected for the experiment, which were the over-the-counter analgesics Ibuprofen, Diclofenac, Naproxen and Paracetamol. The model water was created by mixing drinking water from the water supply system of the city of Brno and standards of these pharmaceuticals prepared in the accredited laboratory of ALS Czech Republic. Water filtration was carried out through two filter columns, each filled with a different type of Filtrasorb sorbent. The filtered water was collected at selected time intervals (1, 2, 4 and 6 min) for analysis. The measurements showed that Filtrasorb F100 and Filtrasorb F400 activated carbons have comparable efficiency for the removal for Ibuprofen, Diclofenac, Naproxen and Paracetamol (around 83%). Both activated carbons have proven to be reliable sorbents for the removal of selected micropollutants from water.

1. Introduction

Pollutants are harmful substances that have an undesirable effect on some components of the environment. Because some pollutants occur in small amounts, they are called micropollutants. These include, in particular, pesticides, pharmaceuticals, PPCPs, detergents, disinfectants and drugs [1]. During drinking water treatment, the pollutant may be transformed into various compounds that may be toxic, persistent and less biodegradable than the original pollutants. Micropollutants can thus become harmful to human and animal health, as their residues can eventually enter and accumulate in the food chain [2].
For the research described in this article, pharmaceuticals were selected from the above-mentioned micropollutants. Pharmaceuticals can enter drinking water sources in several ways. Surface water may contain pharmaceuticals mainly originating from sewage treatment plants that do not treat pharmaceuticals or from veterinary products that are excreted by animals. Another possibility for groundwater and surface water pollution is agriculture, where the source of pharmaceuticals and production-enhancing substances is mainly manure [3]. Leachates from poorly secured landfills also contribute to micropollutants in water.
The increasing consumption of pharmaceuticals worldwide, coupled with a continuously aging population and improved access to health care, has made pharmaceuticals a critical and indispensable element of modern society. Pharmaceuticals are used in both human and veterinary medicine and can accumulate in the environment depending on the degradation processes [4].
It is now known that pharmaceuticals can be removed from water by advanced oxidation processes, membrane processes or adsorption [5]. For our experiment of removing pharmaceuticals from water, we chose the adsorption process. We have previously addressed the issue of pharmaceutical removal from water and in [6] we described the results of a static (beaker) test for the removal of selected pharmaceuticals from water using four adsorbents. From these adsorbents, the two most effective were selected (Filtrasorb F100 and Filtrasorb F400) and a dynamic test for the removal of selected pharmaceuticals from water was performed on them, which is described in this paper. The aim of the dynamic test was to assess the effectiveness of two Filtrasorb activated carbons in the removal of four selected pharmaceuticals from water. The dynamic test was carried out in the laboratory of the Institute of Municipal Water Management of the Faculty of Civil Engineering, Brno University of Technology.

2. Materials and Methods

2.1. Characteristics of Selected Activated Carbons

Filtrasorb F100 and Filtrasorb F400 are the two types of activated carbon that were selected for our experiment. Filtrasorb F100 (Figure 1) and Filtrasorb F400 (Figure 2) are granular activated carbons for the removal of dissolved organic compounds from water and wastewater as well as industrial and food processing streams. The activated carbons are made from select grades of bituminous coal through a process known as reagglomeration to produce a high-activity, durable, granular product capable of withstanding the abrasion associated with repeated backwashing, hydraulic transport and reactivation for reuse. The raw coal is mined and subsequently manufactured into GAC in the United States to ensure the highest quality and consistency in the finished product [7,8]. Technical and physical parameters of Filtrasorb F100 and F400 (Calgon Carbon, Pittsburgh, PE, USA) are provided in Table 1.

2.2. Characteristics of Selected Pharmaceuticals

For our research, a group of pharmaceuticals that are known and available to everyone is selected. This is a group of OTC analgesics, which are divided according to their clinical effect into analgesic–antiphlogistic (Ibuprofen, Naproxen, Diclofenac, Dexketoprofen) and analgesic–antipyretic (Acetylsalicylic acid, Paracetamol, Propyphenazone) and according to the number of substances into single and combination analgesics [9]. For the laboratory experiment reported in this paper, four simple analgesics, namely Ibuprofen, Diclofenac, Naproxen and Paracetamol, were used.
Ibuprofen is a well-known pharmaceutical that has analgesic effects (relieves pain) and antipyretic effects (lowers temperature). Because it also has anti-inflammatory effects, it belongs to the group of non-steroidal anti-inflammatory drugs (NSAIDs). It is used for mild and moderate pain of various origins, e.g., joint pain, muscle pain, tooth pain, etc. The drug is available in the Czech Republic without a prescription, but only in certain doses. A prescription is required for higher doses of Ibuprofen [10]. In 2013, Ibuprofen was the best-selling drug in the Czech Republic, with more than 8 million packages sold [11].
Diclofenac is a proven, commonly prescribed, non-steroidal anti-inflammatory drug that has analgesic, anti-inflammatory and antipyretic properties, and has been shown to be effective in treating a variety of acute and chronic pain and inflammatory conditions. Diclofenac is well resorbed and due to its analgesic effects, it has broad use in a large number of patients [12].
Naproxen is a non-steroidal anti-inflammatory agent advocated for use in rheumatoid arthritis, degenerative joint disease and ankylosing spondylitis. It has a good antiphlogistic (anti-inflammatory) effect and rarely causes side effects. Very rarely, gastrointestinal bleeding may occur. Because it is eliminated slowly, it is particularly suitable for chronic therapy [12,13].
Paracetamol (acetaminophen) is one of the world’s most widely used non-prescription medicines from cradle to grave. It is readily available and inexpensive. As an analgesic, Paracetamol is better tolerated than non-steroidal anti-inflammatory drugs, although it may be somewhat less efficacious. During the 1980s, a decline in the use of Aspirin due to its association with Reye’s syndrome allowed Paracetamol to become the antipyretic and analgesic of choice in children and it is now the standard antipyretic and analgesic in all age groups [14,15].

2.3. Laboratory Experiment

The filtration kit (Figure 3) consisted of a 30 L barrel with model water, a pump, two filter columns, a pipe with caps and containers for the filtered water. The inner diameter of the columns was 4.4 cm and the bottom of the columns was filled with a drainage layer to prevent leakage of sorption material. The drainage layer consisted of a 1 to 2 cm layer of grit, a 4 mm layer of glass beads above and a 2 mm layer of glass beads below. Above the drainage layer was a layer of filter fill, which was chosen to meet the minimum fill height requirement of Filtrasorb material, which is stated to be 0.75 m. The new filter material was soaked for 24 h and then washed. Washing (Figure 4) was carried out by reversing the water flow from the bottom to the top until clean water flowed out (about 8 min). Filtration was then performed on both materials.
The model water was created by mixing drinking water from the water supply system of the city of Brno and standards of these drugs prepared in the accredited laboratory of ALS Czech Republic. The drinking water quality indicators used for the preparation of model water for the dynamic test are summarized in Table 2, where the limit for drinking water in the Czech Republic is given by Decree No. 252/2004 Coll., as amended [16]. The concentrations of the selected pharmaceuticals in the model water were similar to the real concentrations in raw water according to the literature [17]. The concentration value of Ibuprofen in the model water was 0.391 μg/L, Diclofenac was 0.346 μg/L, Naproxen was 0.526 μg/L and Paracetamol was 0.465 μg/L.
During filtration through the two activated carbons, water samples were taken at 1, 2, 4 and 6 min (Figure 5) and the pH, temperature, turbidity and concentrations of each pharmaceutical were measured. Only the concentrations of the pharmaceuticals were determined by the accredited laboratory ALS Czech Republic; the other parameters were determined in the laboratory of the Institute of Municipal Water Management of Faculty of Civil Engineering at Brno University of Technology.
Water pH measurements were performed using an Adwa AD14 pH meter with a thermometer (Adwa Instruments, Szeged, Hungary), which is a high-quality microprocessor-controlled portable pH meter with built-in temperature measurement with automatic temperature compensation. The pH and temperature can be monitored simultaneously on the tester’s two-line display. The Adwa meter is water- and moisture-proof.
Turbidity was determined using the HACH 2100Q IS turbidimeter (HACH, Prague, Czech Republic). Turbidity values are measured by this instrument in FNU, which is the official internationally accepted unit for measuring turbidity.

3. Results and Discussion

The resulting pharmaceutical concentrations in the filtered water during the measurements are shown in Table 3. The limit of quantification for Ibuprofen and Diclofenac was 0.05 μg/L, while for Naproxen and Paracetamol it was 0.1 μg/L. The limit of quantification (LOQ) corresponds to the concentration at which the precision of the determination is such that it allows quantitative evaluation [18]. The measured values showed that both Filtrasorb F100 and Filtrasorb F400 activated carbon removed pharmaceutical concentrations from water within one minute.
Equation (1) was used to determine the efficiency [19] of Filtrasorb F100 and Filtrasorb F400 sorbents in removing pharmaceuticals from water:
η = C R W C F C R W 100 ,
where η is the drug removal efficiency from water in %, CRW is the drug concentration in raw (model) water in µg/L and CF is the drug concentration in filtered water in µg/L.
Since the values of pharmaceutical concentrations in water were measured below the limit of quantification, it was the limit of quantification values that were substituted into the above Equation (1). Although the Filtrasorb F400 sorbent material had a larger specific adsorption surface than the Filtrasorb F100 sorbent material, the efficiency of removing drugs from water using these sorbents was the same. Thus, the removal efficiencies of Ibuprofen, Diclofenac, Naproxen and Paracetamol from water were greater than 87.2%, 85.5%, 81.0% and 78.5%, respectively, as shown in Table 4. According to the lower limit of quantification for Ibuprofen and Diclofenac, the removal efficiency of these two drugs from water was higher than that of Naproxen and Paracetamol. Overall, the efficiency of Filtrasorb F100 and Filtrasorb F400 activated carbons in removing pharmaceuticals from water averaged around 83%.
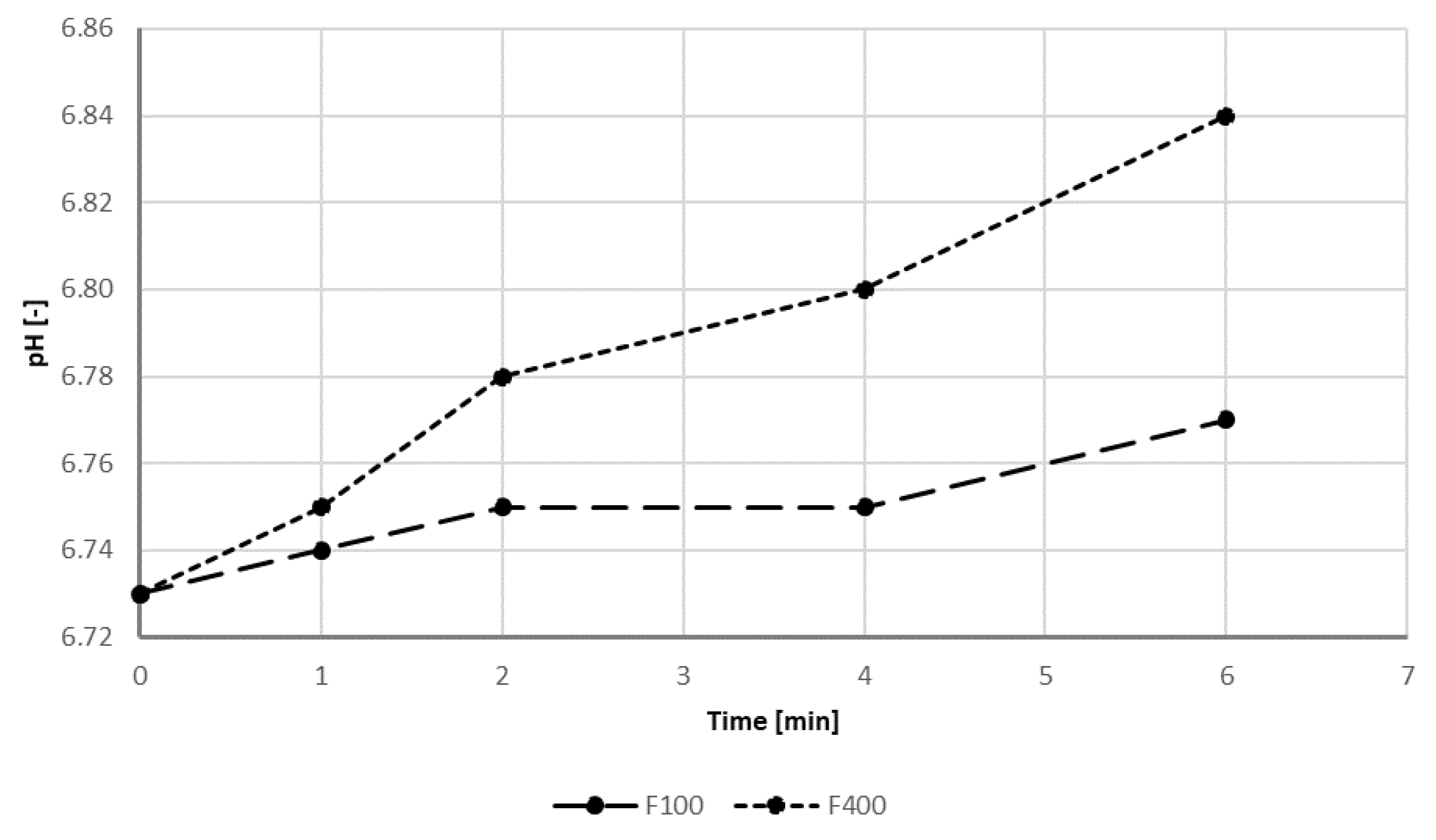
Other parameters evaluated in the laboratory regarding the removal of pharmaceuticals from water were pH, temperature and turbidity. The pH value is defined as the negative logarithm of hydrogen ions and affects the efficiency of chemical, physicochemical and biological processes used in water treatment. In terms of taste perception, the ideal pH is in the neutral range, i.e., between 6.5 and 7.5 [20]. Decree No. 252/2004 Coll. that lays down the sanitary requirements for drinking and hot water and the frequency and scope of monitoring of drinking water states a limit value for pH in the range of 6.5 to 9.5 [16]. The measured pH values in the water filtered through Filtrasorb F100 ranged from 6.73 to 6.77. The pH values measured in water filtered through Filtrasorb F400 ranged from 6.73 to 6.84. All measured water pH values met the requirements of the drinking water quality decree. During the removal of pharmaceuticals from water, a higher pH was measured in water samples filtered through Filtrasorb F400 activated carbon than in water samples filtered through Filtrasorb F100 (Figure 6). Already, during the static (beaker) test carried out earlier, it was noted that the water pH values in contact with Filtrasorb F400 were higher than those in contact with Filtrasorb F100. The increase in water pH values during the dynamic test was apparently due to the nature of the sorption material.
Temperature is also one of the important indicators of drinking water. The optimum temperature for drinking water is between 8 and 12 °C [21]. The water temperature during the laboratory test ranged from 17.6 °C to 19.1 °C (Figure 7). The higher measured water temperature during filtration through Filtrasorb F400 was due the fact that the experiment with this sorbent was the second in the series. The temperature of the model water therefore increased due to the temperature in the laboratory. During filtration, the water was heated by a running pump.
Turbidity is one of the main sensory characteristics of water and is caused by inorganic or organic colloidal and finely suspended particles [22]. Turbidity is calculated photochemically by measuring the scattered or absorbed light at a given intensity [23]. Decree No. 252/2004 Coll. states a limit value for the turbidity of drinking water of 5 FNU. A turbidity value of 1.03 FNU was measured in the model water, and filtration through Filtrasorb F100 reduced the turbidity to 0.72 FNU at the sixth minute of measurement. The turbidity value of water filtered through Filtrasorb F400 was 0.89 FNU at the same time. All measured turbidity values during the dynamic test met the Czech drinking water quality regulation.
At the end of the experiment, the evaluation of the adsorption process during the flow of model water through the immobile adsorbent layer was carried out. The empty bed contact time, the total volume of sorption material, the filtration rate and the flow rate of the model water through the column were the design parameters on which the ideal adsorption progress depended. Equations (2)–(4) were used for the calculation [24]:
EBCT = h/vf = VR/Qt,
VR = AR × h,
vf = Qt/AR.
In the above equations, EBCT denotes the contact time with the empty bed, h the adsorbent height, vf the filtration rate, AR the bed area, Qt the water flow rate and VR the total volume of sorption material. The measured and calculated adsorption parameters are shown in Table 5.
The minimum recommended spreading height of Filtrasorb material was given as 0.75 m, which was observed in the laboratory experiment. The recommended filtration rate for Filtrasorb sorption materials was given as between 5 and 20 m/h [25]; thus the maximum recommended rate was not exceeded during the laboratory experiment with a filtration rate of 19.73 m/h. The different EBCT values for the sorption materials were due to the different spreading heights.

4. Conclusions

The removal of selected pharmaceuticals from water dynamically via Filtrasorb F100 and Filtrasorb F400 sorbents was very successful and beyond expectations. Pharmaceutical concentrations were measured only in the model water. In the other time samples, the concentration values were below the limit of determination. Thus, the specific measurements showed that the removal efficiencies of Filtrasorb F100 and Filtrasorb F400 activated carbons were comparable, around 83%, for Ibuprofen, Diclofenac, Naproxen and Paracetamol. Both activated carbons were proven to be reliable sorbents for the removal of selected micropollutants from water.
The measured pH values during the experiment ranged from 6.73 to 6.84, which complied with the drinking water regulation in the Czech Republic. The water temperature increased slightly for both sorbent materials during the dynamic test, but more for the F400 material than for the F100 sorbent, which was due to the fact that the experiment with the column filled with Filtrasorb F400 sorbent was only conducted second in the sequence and the temperature of the model water was increased by the temperature of the laboratory room. The water temperature did not exceed 19.1 °C during the experiment with both sorbents. The assumption of [20] that the pH of water is less than 7 at water temperatures below 25 °C was consistent with the pH of the water throughout the dynamic test.
The turbidity of the model water was already below the drinking water limit. Both activated carbons were able to keep turbidity below this limit during the experiment, and at low levels.
Evaluation of the adsorption process showed that the contact time with the empty bed was sufficient to remove the selected pharmaceuticals from the water, following the manufacturer’s instructions for Filtrasorb F100 and Filtrasorb F400 activated carbons for both the spreading height and flow rate.

Author Contributions

Conceptualization, R.B. and D.L.; methodology, R.B.; measurement, D.L.; formal analysis, R.B.; resources, R.B. and D.L.; writing—original draft preparation, R.B.; writing—review and editing, R.B.; visualization, R.B.; supervision, R.B.; funding acquisition, R.B. All authors have read and agreed to the published version of the manuscript.

Funding

This paper was created within the framework of the grant project of specific university research at Brno University of Technology called “SELECTED PROBLEMS OF WATER MANAGEMENT IN CITIES AND MUNICIPALITIES 2024” (FAST-S-24-8482).

Institutional Review Board Statement

Not applicable.

Informed Consent Statement

Not applicable.

Data Availability Statement

The authors declare that all measured data are part of this article.

Conflicts of Interest

Author Daniela Lukášová was employed by the company Adavak, Inc. The remaining author declare that the research was conducted in the absence of any commercial or financial relationships that could be construed as a potential conflict of interest.

Abbreviations

The following abbreviations are used in this manuscript:
PPCPsPersonal care products
GACGranulated activated carbon
OTCOver the counter
NSAIDsNon-steroidal anti-inflammatory drugs
FNUFormazin nephelometric unit
CFUColony-forming unit
LOQLimit of quantification
EBCTEmpty bed contact time

References

  1. Teodosiu, C.; Gilca, A.F.; Barjoveanu, G.; Fiore, S. Emerging pollutants removal through advanced drinking water treatment: A review on processes and environmental performances assessment. J. Clean. Prod. 2018, 197, 1210–1221. [Google Scholar] [CrossRef]
  2. Yang, Y.; Ok, Y.S.; Kum, K.; Kwon, E.E.; Tsang, Y.F. Occurrences and removal of pharmaceuticals and personal care products (PPCPs) in drinking water and water/sewage treatment plants: A review. Sci. Total Environ. 2017, 596–597, 303–320. [Google Scholar] [CrossRef] [PubMed]
  3. Šíblová, D. Micropollutants in Water Resources and Ways of Their Elimination. Diploma Thesis, Brno University of Technology, Brno, Czech Republic, 2018. [Google Scholar]
  4. Silva, B.; Costa, F.; Neves, I.C.; Tavares, T. Psychiatric Pharmaceuticals as Emerging Contaminants in Wastewater, 1st ed.; Springer: New York, NY, USA, 2015; pp. 1–6. [Google Scholar]
  5. Ranade, V.V.; Bhandari, V.M. Industrial Wastewater Treatment, Recycling and Reuse, 1st ed.; Elsevier Butterworth-Heinemann: Oxford, UK, 2014; pp. 1–80. [Google Scholar]
  6. Lukášová, D.; Biela, R.; Moravčíková, S. Adsorption capacity assessment for selected adsorbents in the removal of over-the-counter (OTC) analgesics from water. Desalination Water Treat. 2022, 274, 159–172. [Google Scholar] [CrossRef]
  7. Filtrasorb F100. Available online: https://www.calgoncarbon.com/app/uploads/DS-FILTRA10019-EIN-E1.pdf (accessed on 12 May 2025).
  8. Filtrasorb F400. Available online: https://www.calgoncarbon.com/app/uploads/DS_FILTRASORB_400_FINAL_02212025.pdf (accessed on 5 June 2025).
  9. Niedermayerová, I. Over-the-counter headache preparations—Correct selection and possible risks. Praktické lékárenství 2015, 11, 141–143. (In Czech) [Google Scholar]
  10. Mann, J. Poisons, Drugs, Medicines, 1st ed.; Academia: Prague, Czech Republic, 1996; pp. 55–96. [Google Scholar]
  11. Vávrová, M.; Landová, P.; Švestková, T.; Burešová, J. Determination of ibuprofen and diclofenac in surface waters by LC-MS-MS. Chem. Listy 2018, 112, 329–332. [Google Scholar]
  12. Gan, T.J. Diclofenac: An update on its mechanism of action and safety profile. Curr. Med. Res. Opin. 2010, 26, 1715–1731. [Google Scholar] [CrossRef] [PubMed]
  13. Brogden, R.N.; Pinder, R.M.; Sawyer, P.R. Naproxen: A review of its pharmacological properties and therapeutic efficacy and use. Drugs 1975, 9, 326–363. [Google Scholar] [CrossRef] [PubMed]
  14. Belay, E.D.; Bresee, J.S.; Holman, R.C.; Khan, A.S.; Shahriari, A.; Schonberger, L.B. Reye’s syndrome in the United States from 1981 through 1997. N. Engl. J. Med. 1999, 340, 1377–1382. [Google Scholar] [CrossRef] [PubMed]
  15. Graham, G.G.; Davies, M.J.; Day, R.O.; Mohamudally, A.; Scott, K.F. The modern pharmacology of paracetamol: Therapeutic actions, mechanism of action, metabolism, toxicity and recent pharmacological findings. Inflammopharmacology 2013, 21, 201–232. [Google Scholar] [CrossRef] [PubMed]
  16. Degree No. 252/2004 Coll, Laying Down Hygienic Requirements for Drinking and Hot Water and Frequency and Scope of Drinking Water Control, as Amended. Ministry of Health of the Czech Republic. Available online: https://www.zakonyprolidi.cz/cs/2004-252 (accessed on 23 June 2025).
  17. KNAPPE (Knowledge and Need Assessment on Pharmaceutical Products in Environmental Waters). Specific Support Action Project. Available online: https://global.noharm.org/media/4069/download?inline=1 (accessed on 23 June 2025).
  18. Biela, R.; Šíblová, D.; Kabelíková, E.; Švestková, T. Laboratory elimination of ibuprofen from water by selected adsorbents. Desalination Water Treat. 2020, 193, 424–431. [Google Scholar] [CrossRef]
  19. Biela, R.; Šopíková, L. Efficiency of sorption materials on the removal of lead from water. Appl. Ecol. Environ. Res. 2017, 15, 1527–1536. [Google Scholar] [CrossRef]
  20. Pitter, P. Hydrochemistry, 4th ed.; University of Chemical Technology: Prague, Czech Republic, 2009; pp. 23–24. [Google Scholar]
  21. Horáková, M.; Lischke, P.; Grünwald, A. Chemical and Physical Methods of Water Analysis, 1st ed.; State Publishing House of Technical Literature: Prague, Czech Republic, 1986; pp. 49–50. [Google Scholar]
  22. Tuhovčák, L.; Adler, P.; Kučera, T.; Raclavský, J. Water Industry, 1st ed.; Brno University of Technology: Brno, Czech Republic, 2006; pp. 21–26. [Google Scholar]
  23. Bozorg-Haddad, O.; Delpasand, M.; Loaiciga, H. Water quality, hygiene, and health. In Economical, Political, and Social Issues in Water Resources, 1st ed.; Bozorg-Haddad, O., Ed.; Elsevier: New Delhi, India, 2021; pp. 217–257. [Google Scholar]
  24. Worch, E. Adsorption Technology in Water Treatment: Fundamentals, Processes and Modeling, 1st ed.; De Gruyter: Boston, MA, USA, 2012; pp. 176–179. [Google Scholar]
  25. Kowa Limited Liability Company. Filter Materials and Chemicals for Water Treatment. Available online: https://www.kowa.cz/komponenty-pro-upravu-vody/filtracni-hmoty-a-chemikalie/aktivni-uhli (accessed on 24 June 2025).
Figure 1. (a) Filtrasorb F100 sorption material in its original size; (b) Filtrasorb F100 sorption material at microscopic magnification.
Figure 1. (a) Filtrasorb F100 sorption material in its original size; (b) Filtrasorb F100 sorption material at microscopic magnification.
Engproc 116 00013 g001
Figure 2. (a) Filtrasorb F400 sorption material in its original size; (b) Filtrasorb F400 sorption material at microscopic magnification.
Figure 2. (a) Filtrasorb F400 sorption material in its original size; (b) Filtrasorb F400 sorption material at microscopic magnification.
Engproc 116 00013 g002
Figure 3. The diagram of the filter device. A—barrel with model water, B—pump, C—stop valves, D—flow meter, E—sorption material, F—2 mm glass beads, G—4 mm glass beads, H—1–2 cm grit drainage, I—beaker with filtered water.
Figure 3. The diagram of the filter device. A—barrel with model water, B—pump, C—stop valves, D—flow meter, E—sorption material, F—2 mm glass beads, G—4 mm glass beads, H—1–2 cm grit drainage, I—beaker with filtered water.
Engproc 116 00013 g003
Figure 4. (a) The washing of sorbent Filtrasorb F100; (b) the washing of sorbent Filtrasorb F400.
Figure 4. (a) The washing of sorbent Filtrasorb F100; (b) the washing of sorbent Filtrasorb F400.
Engproc 116 00013 g004
Figure 5. Beakers with filtered water and samples for determining pharmaceutical concentrations.
Figure 5. Beakers with filtered water and samples for determining pharmaceutical concentrations.
Engproc 116 00013 g005
Figure 6. Measured pH values for the removal of pharmaceuticals from water.
Figure 6. Measured pH values for the removal of pharmaceuticals from water.
Engproc 116 00013 g006
Figure 7. Measured temperature values for the removal of pharmaceuticals from water.
Figure 7. Measured temperature values for the removal of pharmaceuticals from water.
Engproc 116 00013 g007
Table 1. Technical and physical parameters of Filtrasorb F100 and F400 activated carbons [6,7,8].
Table 1. Technical and physical parameters of Filtrasorb F100 and F400 activated carbons [6,7,8].
ParameterUnitF100F400
Specific adsorption surfacem2/g8501050
Methylene bluemg/g230300
Atrazine 1 µg/Lmg/g4040
Trichloroethylene 50 µg/Lmg/g2520
Effective sizemm0.8–1.00.55–0.75
Bulk masskg/m3500450
Iodine numbermg/g8501000
Table 2. Quality of drinking water used for model water.
Table 2. Quality of drinking water used for model water.
ParameterUnitValueLimit
Colormg Pt/L420
TurbidityFNU0.65
Ironmg/L0.030.2
pH-7.396.5–9.5
Total hardnessmmol/L2.662–3.5
Ammonium ionsmg/L<0.030.5
Nitratesmg/L31.650
Nitritesmg/L<0.0050.5
Chloridesmg/L20.4100
Coliform bacteriaCFU/100 mL00
Escherichia coliCFU/100 mL00
Table 3. Pharmaceutical concentrations in the model water (time 0 min) and after filtration through Filtrasorb F100 and Filtrasorb F400.
Table 3. Pharmaceutical concentrations in the model water (time 0 min) and after filtration through Filtrasorb F100 and Filtrasorb F400.
Time [min]Ibuprofen [µ/L]Diclofenac [µ/L]Naproxen [µ/L]Paracetamol [µ/L]
00.3910.3460.5260.465
1<0.05<0.05<0.1<0.1
2<0.05<0.05<0.1<0.1
4<0.05<0.05<0.1<0.1
6<0.05<0.05<0.1<0.1
Table 4. Efficiency of Filtrasorb F100 and Filtrasorb F400 for pharmaceutical removal from water.
Table 4. Efficiency of Filtrasorb F100 and Filtrasorb F400 for pharmaceutical removal from water.
Time [min]Ibuprofen [%]Diclofenac [%]Naproxen [%]Paracetamol [%]
1>87.2>85.5>81.0>78.5
2>87.2>85.5>81.0>78.5
4>87.2>85.5>81.0>78.5
6>87.2>85.5>81.0>78.5
Table 5. Adsorption parameters for the removal of pharmaceuticals from water.
Table 5. Adsorption parameters for the removal of pharmaceuticals from water.
ParameterUnitF100F400
hm0.80.9
Qtm3/h0.030.03
ARm20.001520.00152
EBCTmin2.432.74
VRm30.00120.0014
vfm/hr19.7319.73
Disclaimer/Publisher’s Note: The statements, opinions and data contained in all publications are solely those of the individual author(s) and contributor(s) and not of MDPI and/or the editor(s). MDPI and/or the editor(s) disclaim responsibility for any injury to people or property resulting from any ideas, methods, instructions or products referred to in the content.

Share and Cite

MDPI and ACS Style

Biela, R.; Lukášová, D. Effectiveness of Filtrasorb Activated Carbon in Removing Selected Pharmaceuticals from Water. Eng. Proc. 2025, 116, 13. https://doi.org/10.3390/engproc2025116013

AMA Style

Biela R, Lukášová D. Effectiveness of Filtrasorb Activated Carbon in Removing Selected Pharmaceuticals from Water. Engineering Proceedings. 2025; 116(1):13. https://doi.org/10.3390/engproc2025116013

Chicago/Turabian Style

Biela, Renata, and Daniela Lukášová. 2025. "Effectiveness of Filtrasorb Activated Carbon in Removing Selected Pharmaceuticals from Water" Engineering Proceedings 116, no. 1: 13. https://doi.org/10.3390/engproc2025116013

APA Style

Biela, R., & Lukášová, D. (2025). Effectiveness of Filtrasorb Activated Carbon in Removing Selected Pharmaceuticals from Water. Engineering Proceedings, 116(1), 13. https://doi.org/10.3390/engproc2025116013

Article Metrics

Back to TopTop