Development of an Automated Solution for the Error Analysis of MATLAB/Simulink-Based Digital Twins †
Abstract
1. Introduction
2. Materials and Methods
2.1. Error Analysis Without Automation
2.2. Error Analysis by Using Artificial Intelligence (AI)
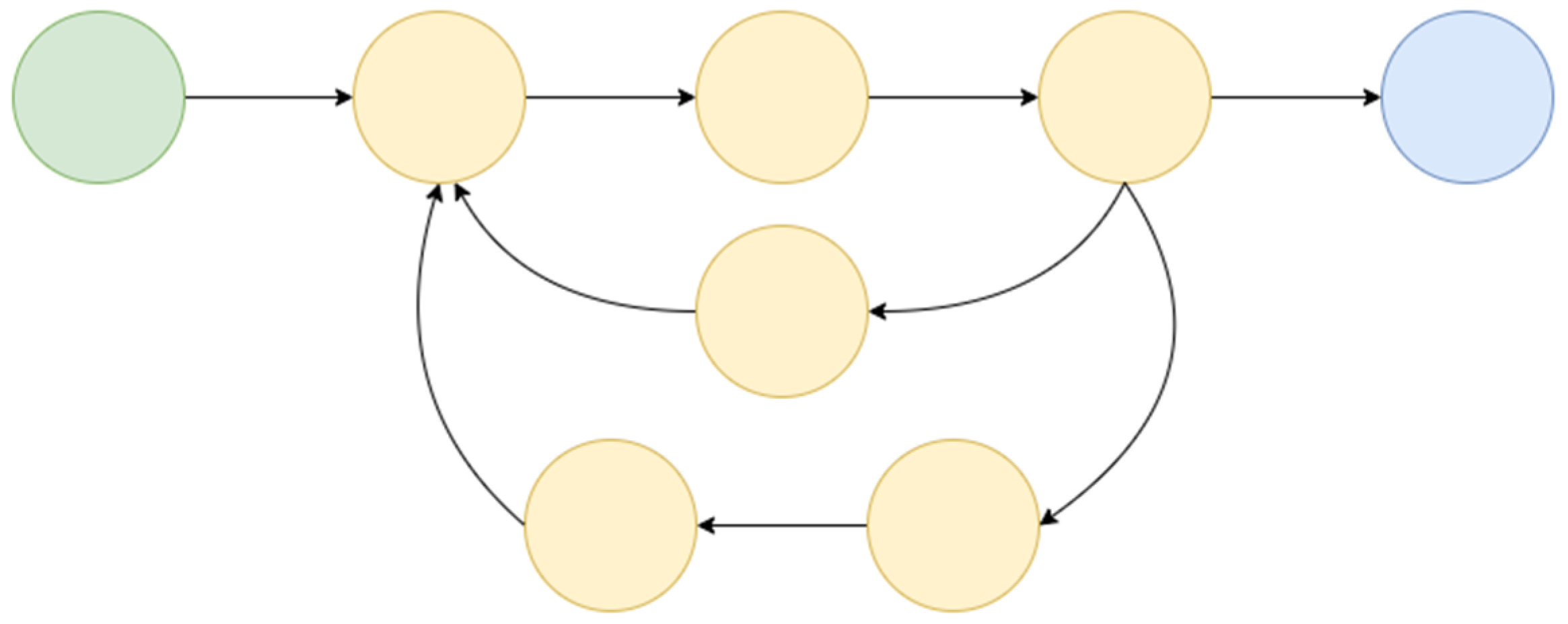
2.3. Creating an Own Method for Error Analysis of Digital Twins
3. Results and Discussion
4. Conclusions
Author Contributions
Funding
Institutional Review Board Statement
Informed Consent Statement
Data Availability Statement
Conflicts of Interest
Abbreviations
| VR | Voltage drop across resistor [V] |
| VL | Voltage drop across inductor [V] |
| VC | Voltage drop across capacitor [V] |
| VAC | Voltage drop across the circuit [V] |
| I | Current [A] |
| L | Inductance [H] |
| R | Resistance [Ω] |
| C | Capacitance [F] |
References
- Bucaioni, A.; Ciccozzi, F.; Sentilles, S.; Crnkovic, I. Modelling Centralised Automotive E/E Software Architectures. Adv. Eng. Inf. 2024, 59, 102289. [Google Scholar] [CrossRef]
- Farooq, U. Model Based Verification of Electronic Control Unit (ECU) in High Lift Systems: Verification and Validation. In Proceedings of the 2017 IEEE International Systems Engineering Symposium (ISSE), Vienna, Austria, 11–13 October 2017; pp. 1–5. [Google Scholar] [CrossRef]
- Mauser, L.; Wagner, S. Centralization Potential of Automotive E/E Architectures. J. Syst. Softw. 2025, 219, 112220. [Google Scholar] [CrossRef]
- Dubois, H.; Goknil, A.; Sabetzadeh, M.; Briand, L. A Model for Requirements Traceability in a Heterogeneous Model-Based Design Process: Application to Automotive Embedded Systems. In Proceedings of the 2010 15th IEEE International Conference on Engineering of Complex Computer Systems, Oxford, UK, 22–26 March 2010; pp. 233–242. [Google Scholar] [CrossRef]
- Shylla, D.; Jain, A.; Shah, P.; Sekhar, R. Model in Loop (MIL), Software in Loop (SIL) and Hardware in Loop (HIL) Testing in MBD. In Proceedings of the 2023 4th IEEE Global Conference for Advancement in Technology (GCAT), Bangalore, India, 6–8 October 2023; pp. 1–6. [Google Scholar] [CrossRef]
- Mihai, S.; Yaqoob, M.; Hung, D.V.; Davis, W.; Towakel, P.; Raza, M.; Karamanoglu, M.; Barn, B.; Shetve, D.; Prasad, R.V.; et al. Digital Twins: A Survey on Enabling Technologies, Challenges, Trends and Future Prospects. IEEE Commun. Surv. Tutor. 2022, 24, 2255–2291. [Google Scholar] [CrossRef]
- Askaripoor, H.; Hashemi Farzaneh, M.; Knoll, A. E/E Architecture Synthesis: Challenges and Technologies. Electronics 2022, 11, 518. [Google Scholar] [CrossRef]
- Botín-Sanabria, D.M.; Mihaita, A.S.; Peimbert-García, R.E.; Ramírez-Moreno, M.A.; Ramírez-Mendoza, R.A.; Lozoya-Santos, J.D.J. Digital Twin Technology Challenges and Applications: A Comprehensive Review. Remote Sens. 2022, 14, 1335. [Google Scholar] [CrossRef]
- Zhang, X.; Zhang, J.; Wang, Y. Model-Based Requirements Capture and Validation Approach Based on PLM Platform Applied in the Civil Aircraft. In Proceedings of the 2019 6th International Conference on Information Science and Control Engineering (ICISCE), Shanghai, China, 20–22 December 2019; pp. 375–379. [Google Scholar] [CrossRef]
- Berriel, R.O.; Delarue, P.; Bouscayrol, A.; Brocart, C. Model Simplifications of a Subway Vehicle for Computation of Energy Consumption. In Proceedings of the 2021 IEEE Vehicle Power and Propulsion Conference (VPPC), Gijon, Spain, 25–28 October 2021; pp. 1–5. [Google Scholar] [CrossRef]
- Szalay, Z. Next Generation X-in-the-Loop Validation Methodology for Automated Vehicle Systems. IEEE Access 2021, 9, 35616–35632. [Google Scholar] [CrossRef]
- Rehberg, L.; Brem, A. Industrial Prototyping in the German Automotive Industry: Bridging the Gap between Physical and Virtual Prototypes. J. Eng. Technol. Manag. 2024, 71, 101798. [Google Scholar] [CrossRef]
- Bringmann, E.; Krämer, A. Model-Based Testing of Automotive Systems. In Proceedings of the 2008 1st International Conference on Software Testing, Verification, and Validation, Lillehammer, Norway, 9–11 April 2008; pp. 485–493. [Google Scholar] [CrossRef]
- Chen, X.; Salem, M.; Das, T.; Chen, X. Real Time Software-in-the-Loop Simulation for Control Performance Validation. Simulation 2008, 84, 457–471. [Google Scholar] [CrossRef]
- German, R.; Kalogiannis, T.; Bouscayrol, A.; He, J.; Tournez, F.; Berecibar, M.; Husar, C.; Ciocan, M.; Costa, S.; Genic, A.; et al. A Flexible Cloud-Based HIL Testing of Batteries for Various Electrified Vehicles. IEEE Trans. Veh. Technol. 2024, 73, 4610–4620. [Google Scholar] [CrossRef]
- Bouscayrol, A. Different Types of Hardware-In-the-Loop Simulation for Electric Drives. In Proceedings of the 2008 IEEE International Symposium on Industrial Electronics, Cambridge, UK, 30 June–2 July 2008; pp. 2146–2151. [Google Scholar] [CrossRef]
- De Farias, A.B.C.; Rodrigues, R.S.; Murilo, A.; Lopes, R.V.; Avila, S. Low-Cost Hardware-in-the-Loop Platform for Embedded Control Strategies Simulation. IEEE Access 2019, 7, 111499–111512. [Google Scholar] [CrossRef]
- Fadili, S.; German, R.; Bouscayrol, A. HiL Testing of a High C-Rate Battery For the Nissan Leaf. In Proceedings of the 2022 IEEE Vehicle Power and Propulsion Conference (VPPC), Merced, CA, USA, 31 October–3 November 2022; pp. 1–6. [Google Scholar] [CrossRef]
- Naser, M.Z.; Alavi, A.H. Error Metrics and Performance Fitness Indicators for Artificial Intelligence and Machine Learning in Engineering and Sciences. Archit. Struct. Constr. 2023, 3, 499–517. [Google Scholar] [CrossRef]





Disclaimer/Publisher’s Note: The statements, opinions and data contained in all publications are solely those of the individual author(s) and contributor(s) and not of MDPI and/or the editor(s). MDPI and/or the editor(s) disclaim responsibility for any injury to people or property resulting from any ideas, methods, instructions or products referred to in the content. |
© 2025 by the authors. Licensee MDPI, Basel, Switzerland. This article is an open access article distributed under the terms and conditions of the Creative Commons Attribution (CC BY) license (https://creativecommons.org/licenses/by/4.0/).
Share and Cite
Lennert, J.R.; Fodor, D.; Szalay, I. Development of an Automated Solution for the Error Analysis of MATLAB/Simulink-Based Digital Twins. Eng. Proc. 2025, 113, 49. https://doi.org/10.3390/engproc2025113049
Lennert JR, Fodor D, Szalay I. Development of an Automated Solution for the Error Analysis of MATLAB/Simulink-Based Digital Twins. Engineering Proceedings. 2025; 113(1):49. https://doi.org/10.3390/engproc2025113049
Chicago/Turabian StyleLennert, József Richárd, Dénes Fodor, and István Szalay. 2025. "Development of an Automated Solution for the Error Analysis of MATLAB/Simulink-Based Digital Twins" Engineering Proceedings 113, no. 1: 49. https://doi.org/10.3390/engproc2025113049
APA StyleLennert, J. R., Fodor, D., & Szalay, I. (2025). Development of an Automated Solution for the Error Analysis of MATLAB/Simulink-Based Digital Twins. Engineering Proceedings, 113(1), 49. https://doi.org/10.3390/engproc2025113049

