Comparative Analysis of Stress Serration Characteristics in AlMg3 Alloys †
Abstract
1. Introduction
2. Materials and Methods
3. Results and Discussion
3.1. Analysis of Parameterization of Smoothing Functions
3.1.1. Approximation Abilities of Smoothing Functions
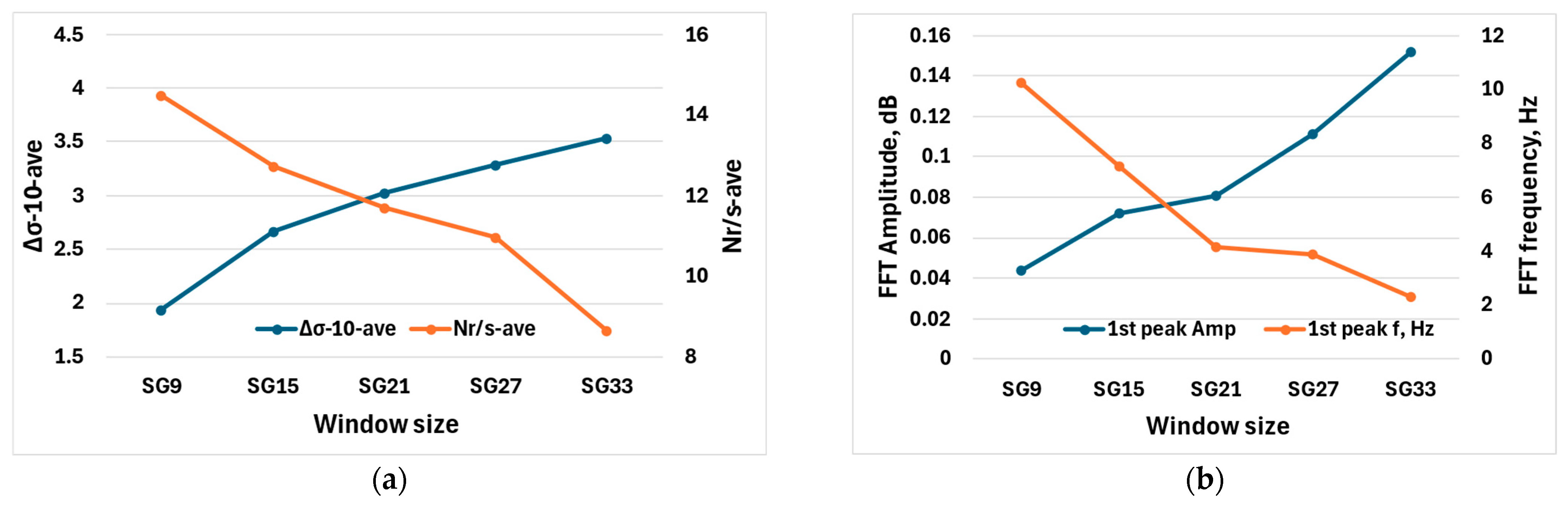
3.1.2. The Effect of Window Size on the Numerical Characteristics of Serrations
3.2. Analysis of the Serrations Derived from the Analytic Reference Functions
3.3. Comparative Analysis of the Four Selected Reference Functions
4. Summary
- In case of the moving average and Savitzky–Golay smoothing, the change in window size significantly affected the evaluated amplitude and frequency of the stress serrations, which are interpreted as the difference between the measured data and the reference function.
- A small window size shows the frequency properties with an adequate approximation, but significantly reduces the evaluated amplitude peaks, while larger windows show the amplitudes more accurately, but distort the frequency properties.
- If the amplitude properties are more important for a test, it is advisable to choose a larger test window, but a smaller window is more favorable for frequency analysis.
- Because of conflicting requirements, it is advisable to select the optimal size of the window in the middle of the range if both parameters need to be taken into consideration at the same time.
- The analytical approximation functions Voce4 and Polynom9 are fitted to the whole domain, so they do not follow significant engineering stress changes. For this reason, the derived serration amplitude–time functions are less suitable for further FFT or other statistical analyses.
- The comparison of serration amplitude functions using the correlation coefficient matrix showed that, compared to the 9-point Savitzky–Golay smoothing window size, the SG approximation more accurately follows the engineering stress curve than the moving average, and the two analytic functions are less favorable as reference functions.
- The stress amplitudes calculated from the reference functions are strongly dependent on the window size of the smoothing functions. Between the analyzed SG9 and SG33 window sizes, the difference in the calculated stress amplitude is about 40%, and frequency characteristics show even more significant differences.
Author Contributions
Funding
Institutional Review Board Statement
Informed Consent Statement
Data Availability Statement
Conflicts of Interest
References
- Portevin, A.; Le Chatelier, F. On a phenomenon observed during the tensile testing of alloys undergoing transformation. C. R. Acad. Sci. Paris 1923, 176, 507–510. (In French) [Google Scholar]
- Zhang, Y.; Liu, J.P.; Chen, S.Y.; Xie, X.; Liaw, P.K.; Dahmen, K.A.; Qiao, J.W.; Wang, Y.L. Serration and noise behaviors in materials. Prog. Mater. Sci. 2017, 90, 358–460. [Google Scholar] [CrossRef]
- Saad, G.; Fayek, S.A.; Fawzy, A.; Soliman, H.N.; Nassr, E. Serrated flow and work hardening characteristics of Al-5356 alloy. J. Alloys Compd. 2010, 502, 139–146. [Google Scholar] [CrossRef]
- Tian, N.; Wang, G.; Zhou, Y.; Liu, K.; Zhao, G.; Zuo, L. Study of the Portevin–Le Chatelier (PLC) characteristics of a 5083 aluminum alloy sheet in two heat treatment states. Materials 2018, 11, 1533. [Google Scholar] [CrossRef] [PubMed]
- Yuan, Z.; Li, F.; He, M. Fast Fourier transform on analysis of Portevin–Le Chatelier effect in Al 5052. Mater. Sci. Eng. A 2011, 530, 389–395. [Google Scholar] [CrossRef]
- Lebyodkin, M.; Brechet, Y.; Estrin, Y.; Kubin, L. Statistical behaviour and strain localization patterns in the Portevin–Le Chatelier effect. Acta Mater. 1996, 44, 4531–4541. [Google Scholar] [CrossRef]
- Bakare, F.; Schieren, L.; Rouxel, B.; Jiang, L.; Langan, T.; Kupke, A.; Weiss, M.; Dorin, T. The impact of L12 dispersoids and strain rate on the Portevin–Le Chatelier effect and mechanical properties of Al–Mg alloys. Mater. Sci. Eng. A 2021, 811, 141040. [Google Scholar] [CrossRef]
- Lebyodkin, M.A.; Lebedkina, T.A.; Jacques, A. Multifractal Analysis of Unstable Plastic Flow; Nova Science Publishers, Inc.: New York, NY, USA, 2009. [Google Scholar]
- Bharathi, M.S.; Lebyodkin, M.; Ananthakrishna, G.; Fressengeas, C.; Kubin, L.P. The hidden order behind jerky flow. Acta Mater. 2002, 50, 2813–2824. [Google Scholar] [CrossRef]
- Lee, S.Y.; Chettri, S.; Sarmah, R.; Takushima, C.; Hamada, J.; Nakada, N. Serrated flow accompanied with dynamic type transition of the Portevin–Le Chatelier effect in austenitic stainless steel. J. Mater. Sci. Technol. 2023, 133, 154–164. [Google Scholar] [CrossRef]
- Savitzky, A.; Golay, M.J.E. Smoothing and differentiation of data by simplified least squares procedures. Anal. Chem. 1964, 36, 1627–1639. [Google Scholar] [CrossRef]
- Guiñón, J.L.; Ortega, E.; García-Antón, J.; Pérez-Herranz, V. Moving average and Savitzky–Golay smoothing filters using Mathcad. In Proceedings of the International Conference on Engineering Education—ICEE 2007, Coimbra, Portugal, 3–7 September 2007. [Google Scholar]
- Lebyodkin, M.A.; Lebedkina, T.A. The Portevin–Le Chatelier Effect and Beyond. In High-Entropy Materials: Theory, Experiments, and Applications; Brechtl, J., Liaw, P.K., Eds.; Springer: Cham, Switzerland, 2021; ISBN 978-3-030-77640-4. [Google Scholar]
- Chatterjee, A.; Sarkar, A.; Barat, P.; Mukherjee, P.; Gayathri, N. Character of the deformation bands in the (A + B) regime of the Portevin–Le Chatelier effect in Al–2.5%Mg alloy. Mater. Sci. Eng. A 2009, 508, 156–160. [Google Scholar] [CrossRef]
- Lebyodkin, M.A.; Kobelev, N.P.; Bougherira, Y.; Entemeyer, D.; Fressengeas, C.; Gornakov, V.S.; Lebedkina, T.A.; Shashkov, I.V. On the similarity of plastic flow processes during smooth and jerky flow: Statistical analysis. Acta Mater. 2012, 60, 3729–3740. [Google Scholar] [CrossRef]








Disclaimer/Publisher’s Note: The statements, opinions and data contained in all publications are solely those of the individual author(s) and contributor(s) and not of MDPI and/or the editor(s). MDPI and/or the editor(s) disclaim responsibility for any injury to people or property resulting from any ideas, methods, instructions or products referred to in the content. |
© 2025 by the authors. Licensee MDPI, Basel, Switzerland. This article is an open access article distributed under the terms and conditions of the Creative Commons Attribution (CC BY) license (https://creativecommons.org/licenses/by/4.0/).
Share and Cite
Czinege, I.; Harangozó, D. Comparative Analysis of Stress Serration Characteristics in AlMg3 Alloys. Eng. Proc. 2025, 113, 26. https://doi.org/10.3390/engproc2025113026
Czinege I, Harangozó D. Comparative Analysis of Stress Serration Characteristics in AlMg3 Alloys. Engineering Proceedings. 2025; 113(1):26. https://doi.org/10.3390/engproc2025113026
Chicago/Turabian StyleCzinege, Imre, and Dóra Harangozó. 2025. "Comparative Analysis of Stress Serration Characteristics in AlMg3 Alloys" Engineering Proceedings 113, no. 1: 26. https://doi.org/10.3390/engproc2025113026
APA StyleCzinege, I., & Harangozó, D. (2025). Comparative Analysis of Stress Serration Characteristics in AlMg3 Alloys. Engineering Proceedings, 113(1), 26. https://doi.org/10.3390/engproc2025113026

