Abstract
In continuation with our research in the use of enols in multicomponent reactions with isocyanides (IMCR), for the first time we have used amide-stabilized enols as the acid component in enol-Ugi reactions. Thus, the reaction of 2-(hydroxy(phenylamino)methylene)-5,5-dimethylcyclohexane-1,3-dione with aldehydes, amines and isocyanides provides the expected enamine adducts. On the other hand, the use of analogous Meldrum’s acid-derived enols permits the synthesis of triamides by a five-component process with the participation of a molecule of solvent. These results confirm the great potential of the enol-Ugi reaction for the preparation of a wide variety of structures containing a peptidomimetic scaffolds.
Keywords:
isocyanides; triamides; enamines; enol-Ugi; enol; multicomponent reaction; peptidomimetics; dimedone; Meldrum’s acid 1. Introduction
Multicomponent reactions, and in particular multicomponent reactions of isocyanides (IMCRs), constitute a highly convergent strategy for the synthesis of diverse molecular libraries in one-pot with atom and bond economy [1,2,3]. The most well-known IMCR are the Passerini [4] reaction and the Ugi [5] reaction, which permit to obtain, respectively, α-acyloxy amides and α-amido amides in a single step.
We have recently developed an Ugi-type MCR with electron-deficient enols as acid components (Scheme 1). This enol-Ugi condensation consists in the reaction between enols (1), aldehydes (2), amines (3) and isocyanides (4) to give polysubstituted heterocyclic enamines containing a pseudopeptidic subunit (5) [6,7,8]. On the other hand, the condensation of enols (1), aldehydes (2) and isocyanides (4) selectively gives either three- or pseudo-four component adducts (6 or 7, respectively), depending on the reaction conditions [9]. In this way, the enol-Ugi and enol-Passerini condensations of heterocyclic enols, such as pyrrolidinediones (15), 3-hydroxycoumarins (16) and 4-hydroxycoumarins (17) efficiently afford peptidomimetic enamines and pyrrolidinone-derived enol-ethers. The use of enols as acid surrogates in IMCR allows the synthesis of peptidomimetic derivatives of pyrrolidine-2,3-diones [10], privileged structures present in many bioactive compounds and drugs [11] and coumarins, analogues of a family of plant metabolites having essential biological activities [12,13].
Scheme 1.
IMCR with enols.
Our previous work demonstrates that the enol-Ugi [6,7,8] and the enol-Passerini reactions [9] and their post-condensation modifications [14] constitute an efficient method to attain new molecular scaffolds by using an array of different starting enols (Figure 1).
Figure 1.
Some molecular scaffolds obtained in our group by IMCR with enols.
Simultaneously, Charton published a similar double 4-component Ugi-type reaction employing squaric acid as the acid component [15]. This reaction also occurs when substituting squaramic or squaramide acids for squaric acid [16]. Tropolone was also used in the enol-Ugi reaction to give 2-(N,N-dialkylamino)-2,4,6-cycloheptatrien-1-one derivatives [17].
Other posterior examples of enol-Ugi reaction were reported by Rabêlo and Echemendía that used enol-3-nitro-1,4 naphthoquinone, secondary diamines and isocyanides [18]. Rivera and co-workers have used an in situ generated enol for the stereoselective synthesis of tetrahydropyridines [19] and related natural product hybrids [20] using a multicomponent reaction of isocyanide. Also, Ramezanpour described the use of saccharin as acid component in a related enol-Ugi condensation [21].
In other to widen the scope of these novel reactions, we decided to explore the possibility of using other types of enols [22,23], particularly amide-stabilized enols [24], which would lead to synthetically challenging polyamide containing compounds. Here we report the enol-Ugi reaction of amide-stabilized enols (20) and (21) (Figure 2) to give novel peptidomimetic structures.
Figure 2.
Enols used in our group in multicomponent reactions of isocyanides.
2. Results and Discussion
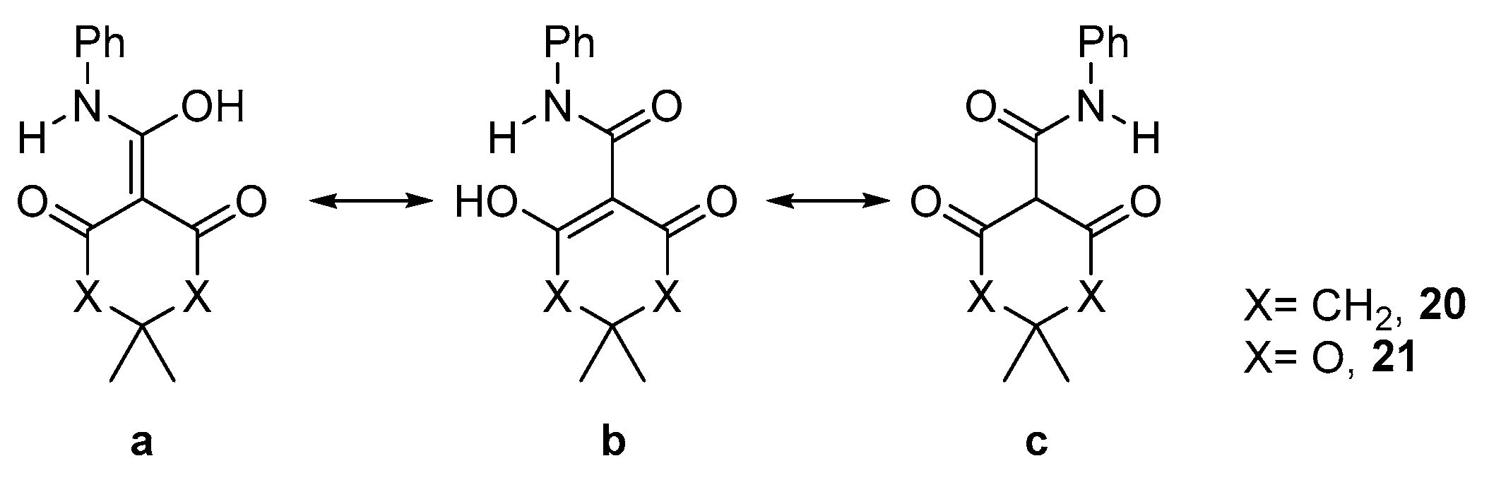
Compounds 20 and 21 can exist in different tautomeric forms, as shown in Figure 3. Experimental and theoretical studies show that the predominant forms in each case are (20c) and (21a) [24]. However, as equilibrium between tautomers is possible, in principle, any of the enolic forms a or b could participate in an enol-Ugi condensation.
Figure 3.
Equilibrium between tautomers of the starting enols.
To explore the multicomponent chemistry of these compounds, we made react ve (20) with preformed (E)-N,1-diphenylmethanimine (22a) and cyclohexilisocyanide (4a) in methanol. After 48 h stirring at room temperature, we obtained a product that was identified as enamine (24a), confirming that the minor tautomeric enol (20b) was the substrate for the enol-Ugi condensation (Scheme 2).
Scheme 2.
Enol-Ugi reaction of a dimedone derivative enol.
Basing on previous reports, the reaction mechanism must involve the attack of the isocyanide (4) to the protonated imine (22) resulting in a nitrilium ion that is then is attacked by the enolate to give the enol-Ugi primary adduct (23). This then undergoes an intramolecular conjugate addition of the amine nitrogen on the dimedone ring, followed by β-elimination of the imidate oxygen, providing the final adduct (24) (Scheme 2).
Then, we investigated the enol-Ugi reaction of imine (22a) and tert-butylisocyanide (4b) with the Meldrum’s acid-derived enol (21). This compound was obtained by reaction of Medrum’s acid with phenyl isocyanate, according to a literature procedure [24]. Proton and carbon NMR spectra of (21) in CDCl3 show the only presence of the more stable tautomeric form (21a). Nevertheless, Rappoport has reported that the enolic form (21b) is predominant in protic solvents [24], so we anticipated that this could be the reacting form in the multicomponent condensation.
However, a complex mixture was obtained when the reaction was performed in methanol or toluene in the presence of ammonium chloride. Successfully, when the reaction was performed in isopropanol at 20–25 °C, a precipitate that showed a single product on t.l.c. was obtained. The 1H-NMR spectrum of this compound shows the signals of aromatic groups of the starting enol, aldehyde, amine and the tert-butyl group. In addition, a quadruplet at 5.07 ppm corresponding to 1 H and a double doublet at 1.28 ppm corresponding to 6 H evidenced the presence of an isopropyl group. Therefore, this spectrum does not match with the expected enol-Ugi adduct, although it is consistent with the formation of a four-component adduct with the participation of isopropanol and the loss of an acetone molecule.
A possible mechanism entails the enol-Ugi reaction between imine (22), tert-butyl-socyanide (4b) and the enolic form (21b) to give the enol-Ugi primary adduct (25). This would rearrange with the loss of acetone to give seven-membered intermediate (26a) that could tautomerize to (26b) and then react with a molecule of isopropanol with the consequent ring opening (Scheme 3). The structure of the resulting product (27a) is compatible with the obtained spectroscopic data.
Scheme 3.
Possible mechanism of five-component MCRI of Meldrum’s acid derivative enol 21.
A control experiment was carried out consisting in stirring 5-(hydroxy(phenylamino)methylene)-2,2-dimethyl-1,3-dioxane-4,6-dione (21) in isopropanol. No product formation was observed after 48 h and only starting material (21) was recovered from the reaction mixture. This strongly suggests that the isopropanol attack should take place on a reaction intermediate, supporting the proposed mechanism.
This process constitutes a new five-component reaction of aldehydes, amines, enols, isocyanides and isopropanol leading to peptidomimetic structures containing three amide groups. Triamides are present in compounds with different applications, such as complexing agents and pharmaceuticals [25,26,27,28].
In summary, two classes of amide stabilized enols have been subjected to enol-Ugi condensations leading to either rigid or flexible retropeptidic dipeptides (Figure 4). The substitution pattern in both types of structures is highly tunable by selecting between four or five different starting components. Furthermore, the peptide sequence could theoretically be grown from any of the amide or ester ends to obtain extended retropeptidic sequences.
Figure 4.
Enol-Ugi adducts enolamides. Dipeptidic structures are shaded in light blue/green color.
3. Experimental Section
3.1. Synthesis of Enols
For the preparation of enols we used the synthesis described by Mukhopadhyaya [24]. To a solution of dimedone or Meldrum’s acid (25 mmol) in 25 mL of DMF, 50 mmol of triethylamine was added and the resulting mixture was stirred for five minutes. Then, 25 mmol of phenylisocyanate was added. After 30 min at room temperature the reaction mixture was poured in 250 mL of 2 N HCl at 0 °C to give a precipitate that was filtered and washed with cool water.
3.1.1. 2-Hydroxy-4,4-dimethyl-6-oxo-N-phenylcyclohex-1-ene-1-carboxamide (20)
White solid (44%); m.p.: 87–89 °C. (Lit: 84–85 °C) [24]. IR (KBr, cm−1): 3327, 3281, 1649, 1595, 1556, 1498, 1448, 1315, 1233, 754, 697; 1H NMR (500 MHz, CDCl3) δ (ppm): 11.77 (s, 1H), 7.56 (d, J = 7.9 Hz, 2H), 7.35 (t, J = 7.8 Hz, 2H), 7.15 (t, J = 7.4 Hz, 1H), 2.53 (s, 2H), 2.41 (s, 2H), 1.11 (s, 6H).
3.1.2. 5-(Hydroxy(phenylamino)methylene)-2,2-dimethyl-1,3-dioxane-4,6-dione (21)
White solid (90%); m.p.: 102–104 °C. (Lit: 109–110 °C) [24]. IR (KBr, cm−1): 3436, 3067, 1693, 1638, 1426, 1336, 1264, 1223, 1095, 924, 802, 758; 1H NMR (500 MHz, CDCl3) δ (ppm): 11.16 (s, 1H), 7.46 (d, J = 7.7 Hz, 2H), 7.40 (t, J = 7.9 Hz, 2H), 7.27–7.25 (m, 1H), 1.77 (s, 6H); 13C RNMR (101 MHz, CDCl3) δ (ppm): 169.30 (C), 135.02 (C), 129.54 (CH), 126.71 (CH), 122.41 (CH), 105.31 (C), 73.87 (C), 26.50 (CH3).
3.2. Enol-Ugi Reactions of 2-Hydroxy-4,4-dimethyl-6-oxo-N-phenylcyclohex-1-ene-1-carboxamide (20)
To a solution of 1 mmol of imine 22 in 1 mL of methanol, 1 mmol of isocyanide 4 and 0.5 mmol of enol 20 were added successively. The reaction mixture was stirred at room temperature for 48 h. Then 10% HCl (1 mL) was added, the mixture was washed with H2O (20 mL), extracted with CH2Cl2 (3 × 20 mL) and dried over Na2SO4. Removal of the solvent and purification by column chromatography (SiO2, gradient from 100% hexanes to hexanes–EtOAc, 6:6) gave the corresponding enamines 24a–b.
3.2.1. 2-((2-(Cyclohexylamino)-2-oxo-1-phenylethyl)(phenyl)amino)-4,4-dimethyl-6-oxo-N-phenylcyclohex-1-ene-1-carboxamide (24a)
White solid (26%); m.p.: 160–162 °C. IR (KBr, cm−1): 3430, 3197, 3034, 2931, 2851, 1657, 1594, 1541, 1496, 1445, 1385, 1318, 1091, 747, 699; 1H NMR (500 MHz, CDCl3) δ (ppm): 9.97 (s, 1H), 8.54 (bs, 1H), 7.30 7.15 (m, 6H), 7.14 7.07 (m, 3H), 7.05 6.95 (m, 5H), 6.90 6.84 (m, 1H), 6.29 (s, 1H), 3.95 3.82 (m, 1H), 2.70 (dd, J = 17.7, 7.5 Hz, 2H), 2.38 (dd, J = 17.6, 7.5 Hz, 2H), 2.06–1.55 (m, 5H), 1.40–1.11 (m, 5H), 1,16 (s, 3H), 1.09 (s, 3H); 13C RNMR (126 MHz, CDCl3) δ (ppm): 196.31 (C), 171.49 (C), 167.86 (C), 163.64 (C), 143.54 (C), 138.31 (C), 134.37 (C), 130.21 (CH), 128.61 (CH), 128.23 (CH), 128.20 (CH), 128.00 (CH), 127.88 (CH), 126.33 (CH), 123.67 (CH), 120.46 (CH), 112.86 (C), 69.13 (CH), 50.75 (CH2), 49.35 (CH), 45.61 (CH2), 32.91 (CH2), 32.72 (CH2), 30.95 (C), 29.33 (CH3), 27.66 (CH3), 25.44 (CH2), 25.18 (CH2), 25.13 (CH2).
3.2.2. 2-(Benzyl(2-(cyclohexylamino)-2-oxo-1-phenylethyl)amino)-4,4-dimethyl-6-oxo-N-phenylcyclohex-1-ene-1-carboxamide (24b)
White solid (30%); m.p.: 154–156 °C. IR (KBr, cm−1): 3426, 3113, 3038, 2934, 2851, 1659, 1590, 1541, 1493, 1447, 1312, 1116, 750, 697; 1H NMR (500 MHz, CDCl3) δ (ppm): 11.18 (s, 1H), 9.09 (bs, 1H), 7.71 (d, J = 7.9 Hz, 2H), 7.35 (t, J = 7.8 Hz, 3H), 7.30–7.20 (m, 3H), 7.15–7.04 (m, 4H), 6.69 (bs, 2H), 5.72 (s, 1H), 4.75 (d, J = 16.0 Hz, 1H), 4.49 (d, J = 16.1 Hz, 1H), 3.86–3.72 (m, 1H), 2.82 (d, J = 17.5 Hz, 1H), 2.67 (d, J = 17.8 Hz, 1H), 2.23 (q, J = 16.0 Hz, 2H), 1.99–1.56 (m, 5H), 1.45–1.02 (m, 5H), 1.09 (s, 3H), 1.06 (s, 3H); 13C RNMR (126 MHz, CDCl3) δ (ppm): 196.26 (C), 174.00 (C), 168.36 (C), 164.03 (C), 138.92 (C), 136.79 (C), 134.23 (C), 130.26 (CH), 129.00 (CH), 128.97 (CH), 128.77 (CH), 128.40 (CH), 127.38 (CH), 126.64 (CH), 123.87 (CH), 120.54 (CH), 108.66 (C), 70.21 (CH), 50.72 (CH2), 49.15 (CH), 45.64 (CH2), 32.73 (CH2), 32.69 (CH2), 29.99 (C), 29.78 (CH2), 29.44 (CH2), 27.44 (CH3), 25.57 (CH2), 25.04 (CH2).
3.3. Five Component Condensation of of 5-(Hydroxy(phenylamino)methylene)-2,2-dimethyl-1,3-dioxane-4,6-dione (21)
To a solution of 0.5 mmol of imine 22 in 0.5 mL of propan-2-ol, 0.5 mmol of isocyanide 4 and 0.5 mmol of enol 21 were added successively. The reaction mixture was stirred at 25–30 °C for 3–5 days. The reaction mixture was cooled at 0 °C, filtered and washed with propan-2-ol and cyclohexane, to give the products 27a–c.
3.3.1. Isopropyl 3-((2-(tert-Butylamino)-2-oxo-1-phenylethyl)(phenyl)amino)-3-oxo-2-(phenylcarbamoyl)propanoate (27a)
White solid (19%); m.p.: 166–168 °C. IR (KBr, cm−1): 3312, 2976, 1747, 1693, 1654, 1602, 1556, 1493, 1445, 1355, 1336, 1106, 752, 707; 1H NMR (500 MHz, CDCl3) δ (ppm): 9.62 (bs, 1H), 7.66 (d, J = 7.6 Hz, 2H), 7.40–6.92 (m, 13H), 6.62 (sa, 1H), 6.11 (s, 1H), 5.07 (c, J = 6.2 Hz, 1H), 4.33 (s, 1H), 1.38 (s, 9H), 1.28 dd, J = 11.4, 6.3 Hz, 6H); 13C RNMR (101 MHz, CDCl3) δ (ppm): 168.10 (C), 166.25 (C), 165.68 (C), 161.22 (C), 138.46 (C), 137.85 (C), 133.85 (C), 130.52 (CH), 129.28 (CH), 129.22 (CH), 129.00 (CH), 128.93 (CH), 128.84 (CH), 128.58 (CH), 128.41 (CH), 127.32 (CH), 124.45 (CH), 120.38 (CH), 119.06 (CH), 113.90 (CH), 70.37 (CH), 66.10 (CH), 58.84 (CH), 52.00 (C), 28.66 (CH3), 21.71 (CH3), 21.61 (CH3); MS (QI) m/z (%): 530 (M+. +1, <5), 426 (6), 397 (25), 303 (21), 280 (6), 247 (7), 182 (100).
3.3.2. Isopropyl 3-(Benzyl(2-(cyclohexylamino)-2-oxo-1-phenylethyl)amino)-3-oxo-2-(phenylcarbamoyl)propanoate (27b)
White solid (24%); m.p.: 158–161 °C. IR (KBr, cm−1): 3426, 3282, 3089, 3066, 2932, 2856, 1743, 1697, 1656, 1632, 1602, 1556, 1499, 1448, 1132, 1110, 750, 699; 1H NMR (500 MHz, CDCl3) δ (ppm): 9.86 (bs, 1H), 7.63 (d, J = 8.0 Hz, 2H), 7.38–7.28 (m, 4H), 7.24–7.19 (m, 3H), 7.18–7.10 (m, 4H), 7.02–6.92 (m, 2H), 6.32 (d, J = 8.2 Hz, 1H), 6.11 (s, 1H), 5.12 (d, J = 17.9 Hz, 1H), 5.06 (q, J = 6.4 Hz, 1H), 4.59 (s, 1H), 4.53 (d, J = 17.9 Hz, 1H), 3.87–3.77 (m, 1H), 1.98–1.55 (m, 5H), 1.30 (d, J = 6.2 Hz, 3H), 1.21 (d, J = 6.2 Hz, 3H), 1.41–0.99 (m, 5H);13C RNMR (126 MHz, CDCl3) δ (ppm) (mixture of two diastereoisomers): 167.71 (C), 167.53 (C), 167.35 (C), 167.27 (C), 166.59 (C), 165.73 (C), 161.95 (C), 161.05 (C), 137.71 (C), 137.46 (C), 136.30 (C), 135.79 (C), 134.45 (C), 134.35 (C), 130.41 (CH), 129.64 (CH), 129.03 (CH), 128.84 (CH), 128.76 (CH), 128.51 (CH), 128.10 (CH), 127.82 (CH), 127.74 (CH), 127.42 (CH), 126.72 (CH), 126.29 (CH), 125.01 (CH), 124.69 (CH), 120.62 (CH), 120.42 (CH), 71.03 (CH), 70.79 (CH), 65.14 (CH), 63.94 (CH), 58.16 (CH), 57.24 (CH), 51.65 (CH2), 50.23 (CH2), 48.97 (CH), 48.81 (CH), 33.03 (CH2), 32.79 (CH2), 25.65 (CH2), 25.59 (CH2), 25.04 (CH2), 24.93 (CH2), 24.85 (CH2), 21.79 (CH3), 21.74 (CH3), 21.68 (CH3), 21.58 (CH3), 21.51 (CH3), 21.48 (CH3).
3.3.3. Isopropyl 3-((2-((2,6-Dimethylphenyl)amino)-2-oxo-1-phenylethyl)(phenyl)amino)-3-oxo-2-(phenylcarbamoyl)propanoate (27c)
White solid (40%); m.p.: 173–175 °C. IR (KBr, cm−1): 3247, 3064, 2977, 1745, 1696, 1667, 1600, 1550, 1492, 1445, 1359, 1281, 1188, 1104, 697; 1H NMR (500 MHz, CDCl3) δ (ppm): 9.66 (bs, 1H), 7.78 (bs, 1H), 7.57 (d, J = 7.4 Hz, 2H), 7.45 (s, 1H), 7.32 (t, J = 7.9 Hz, 2H), 7.27–7.19 (m, 7H), 7.16–7.03 (m, 5H), 6.67 (bs, 1H), 6.42 (s, 1H), 5.07 (q, J = 6.2 Hz, 1H), 4.40 (s, 1H), 2.21 (s, 6H), 1.28 (dd, J = 11.5, 6.3 Hz, 6H);13C RNMR (101 MHz, CDCl3) δ (ppm): 167.19 (C), 166.54 (C), 165.63 (C), 161.09 (C), 135.60 (C), 133.81 (C), 133.08 (C), 130.66 (CH), 129.38 (CH), 129.33 (CH), 129.06 (CH), 128.56 (CH), 128.28 (CH), 128.21 (CH), 127.38 (CH), 127.36 (CH), 124.57 (CH), 120.34 (CH), 114.16 (CH), 70.61 (CH), 66.03 (CH), 58.38 (CH), 21.61 (CH3), 21.50 (CH3), 18.55 (CH3); MS (QI) m/z (%): 578 (M + 1, <5), 331 (23), 248 (11), 149 (100).
4. Conclusions
Amide-stabilized enols have been used for the first time in a condensation with imines and isocyanides to selectively give four- or five-component adducts. These results prove the utility of enols containing conjugated electron-withdrawing groups as effective reagents in isocyanide-based multicomponent reactions. This methodology constitutes an efficient method for the direct synthesis of diverse retropeptidic subunits.
Author Contributions
Conceptualization, C.F.M. and A.G.N.; synthetic investigation, A.G.N., M.T.G.C. and J.L.R.; formal analysis, M.T.G.C. and J.L.R.; writing—original draft preparation, C.F.M. and A.G.N.; supervision, C.F.M. and A.G.N.; project administration, C.F.M.; funding acquisition, C.F.M. All authors have read and agreed to the published version of the manuscript.
Funding
This research was funded by Junta de Extremadura and FEDER (GR21123).
Institutional Review Board Statement
Not applicable.
Informed Consent Statement
Not applicable.
Data Availability Statement
Not applicable.
Conflicts of Interest
The authors declare no conflict of interest.
References
- Dömling, A.; Ugi, I. Multicomponent Reactions with Isocyanides. Angew. Chem. Int. Ed. Engl. 2000, 39, 3168–3210. [Google Scholar] [CrossRef]
- Biggs-Houck, J.E.; Younai, A.; Shaw, J.T. Recent advances in multicomponent reactions for diversity-oriented synthesis. Curr. Opin. Chem. Biol. 2010, 14, 371–382. [Google Scholar] [CrossRef]
- Ruijter, E.; Scheffelaar, R.; Orru, R.V.A. Multicomponent Reaction Design in the Quest for Molecular Complexity and Diversity. Angew. Chem. Int. Ed. Engl. 2011, 50, 6234–6246. [Google Scholar] [CrossRef]
- Passerini, M.; Simone, L. Sopra gli isonitrili. Gazz. Chim. Ital. 1921, 51, 126–129. [Google Scholar]
- Ugi, I.; Meyr, R.; Fetzer, U.; Steinbrückner, C. Versammlungsberichte. Angew. Chem. 1959, 71, 386. [Google Scholar]
- Neo, A.G.; Castellano, T.G.; Marcos, C.F. An easy synthesis of diversely functionalized 2H-chromenes and amido amines by an enol-Ugi reaction. Arkivoc 2017, 2017, 21–31. [Google Scholar] [CrossRef]
- Neo, A.G.; Castellano, T.G.; Marcos, C.F. Enol-Ugi Reaction of Hydroxycoumarins: Straightforward Synthesis of Amino Acid Derived Coumarin Enamines. Synthesis 2015, 47, 2431–2438. [Google Scholar] [CrossRef]
- Castellano, T.G.; Neo, A.G.; Marcaccini, S.; Marcos, C.F. Enols as Feasible Acid Components in the Ugi Condensation. Org. Lett. 2012, 14, 6218–6221. [Google Scholar] [CrossRef] [PubMed]
- Neo, A.G.; Marcos, C.F. Selective Synthesis of 3-Substituted Pyrrolidinones by Enol-Passerini and Anomalous Enol-Passerini Condensations. Org. Lett. 2018, 20, 3875–3878. [Google Scholar] [CrossRef] [PubMed]
- Vaughan, W.R.; Covey, I.S. 1,5-Diaryl-2,3-pyrrolidinediones. XI. Observations on Synthetic Methods and the Effect of 4-Substituents on Chemical Properties. J. Am. Chem. Soc. 1958, 80, 2197–2201. [Google Scholar] [CrossRef]
- Thiel, P.; Kaiser, M.; Ottmann, C. Small-Molecule Stabilization of Protein–Protein Interactions: An Underestimated Concept in Drug Discovery? Angew. Chem. Int. Ed. Engl. 2012, 51, 2012–2018. [Google Scholar] [CrossRef]
- Stefanachi, A.; Leonetti, F.; Pisani, L.; Catto, M.; Carotti, A. Coumarin: A Natural, Privileged and Versatile Scaffold for Bioactive Compounds. Molecules 2018, 23, 250. [Google Scholar] [CrossRef]
- Cao, D.; Liu, Z.; Verwilst, P.; Koo, S.; Jangjili, P.; Kim, J.S.; Lin, W. Coumarin-Based Small-Molecule Fluorescent Chemosensors. Chem. Rev. 2019, 10403–10519. [Google Scholar] [CrossRef] [PubMed]
- Bornadiego, A.; Neo, A.G.; Marcos, C.F. Synthesis of Chromeno [3,4-b]piperazines by an Enol-Ugi/Reduction/Cyclization Sequence. Molecules 2021, 26, 1287. [Google Scholar] [CrossRef]
- Aknin, K.; Gauriot, M.; Totobenazara, J.; Deguine, N.; Deprez-Poulain, R.; Deprez, B.; Charton, J. Squaric acid is a suitable building-block in 4C-Ugi reaction: Access to original bivalent compounds. Tetrahedron Lett. 2012, 53, 458–461. [Google Scholar] [CrossRef]
- Mehrabi, H.; Saleki, T. The Double Four-Component Ugi Reaction between Squaramic or Squaramide Acids with Alkyl Isocyanides, Amines and Aromatic Aldehydes. J. Chem. Res. 2015, 39, 195–198. [Google Scholar] [CrossRef]
- Massoudi, A.; Amini, I.; Ramazani, A.; Nasrabadi, F.Z.; Ahmadi, Y. Four-Component Synthesis of 2-(N,N-Dialkylamino)-2,4,6-Cycloheptatrien-1-One Derivatives from Tropolone, an Isocyanide, a Primary Amine and an Aldehyde via Ugi-Smiles Coupling Reaction. Bull. Korean Chem. Soc. 2012, 33, 39–42. [Google Scholar] [CrossRef]
- Rabêlo, W.F.; Echemendía, R. Synthesis of novel 1,4 naphthoquinone-based molecules by an Ugi-type four-component reaction. Synth. Commun. 2019, 49, 515–521. [Google Scholar] [CrossRef]
- Echemendía, R.; Da Silva, G.P.; Kawamura, M.Y.; De La Torre, A.F.; Corrêa, A.G.; Ferreira, M.A.B.; Rivera, D.G.; Paixão, M.W. A stereoselective sequential organocascade and multicomponent approach for the preparation of tetrahydropyridines and chimeric derivatives. Chem. Commun. 2019, 55, 286–289. [Google Scholar] [CrossRef]
- Echemendia, R.; de La Torre, A.F.; Monteiro, J.L.; Pila, M.; Correa, A.G.; Westermann, B.; Rivera, D.G.; Paixao, M.W. Highly stereoselective synthesis of natural-product-like hybrids by an organocatalytic/multicomponent reaction sequence. Angew. Chem. Int. Ed. 2015, 54, 7621–7625. [Google Scholar] [CrossRef] [PubMed]
- Ramezanpour, S.; Bigdeli, Z.; Alavijeh, N.; Rominger, F. Application of Saccharin as an Acidic Partner in the Ugi Reaction for the One-Pot Synthesis of 3-Iminosaccharins. Synlett 2017, 28, 1214–1218. [Google Scholar] [CrossRef]
- Savel’ev, V.L.; Artamonova, O.S.; Troitskaya, V.S.; Vinokurov, V.G.; Zagorevskii, V.A. Investigations of pyrans and related compounds. Chem. Heterocycl. Compd. 1973, 9, 816–820. [Google Scholar] [CrossRef]
- Wasserman, H.H.; Koch, R.C. Studies on 1,5-Diphenyl-2,3-pyrrolidinedione and Related Compounds1,2. J. Org. Chem. 1962, 27, 35–39. [Google Scholar] [CrossRef]
- Mukhopadhyaya, J.K.; Sklenák, S.; Rappoport, Z. Enols of Carboxylic Acid Amides with β-Electron-Withdrawing Substituents. J. Am. Chem. Soc. 2000, 122, 1325–1336. [Google Scholar] [CrossRef]
- Shaabani, A.; Teimouri, M.B.; Bijanzadeh, H.R. An Efficient One-Pot Synthesis of Triamides and Amidodiesters. Russ. J. Organ. Chem. 2004, 40, 976–981. [Google Scholar] [CrossRef]
- Okarvi, S.M.; Adriaens, P.; Verbruggen, A.M. Synthesis and biological characteristics of the Technetium-99m triamide derivatives of mercaptoacetyltriglycine (MAG3). J. Labelled Comp. Radiopharm. 2003, 46, 73–84. [Google Scholar] [CrossRef]
- Tan, X.; Chen, L.; Song, Y.; Rockenbauer, A.; Villamena, F.A.; Zweier, J.L.; Liu, Y. Thiol-Dependent Reduction of the Triester and Triamide Derivatives of Finland Trityl Radical Triggers O2-Dependent Superoxide Production. Chem. Res. Toxicol. 2017, 30, 1664–1672. [Google Scholar] [CrossRef] [PubMed]
- Buchanan, M.K.; Needham, C.N.; Neill, N.E.; White, M.C.; Kelly, C.B.; Mastro-Kishton, K.; Chauvigne-Hines, L.M.; Goodwin, T.J.; McIver, A.L.; Bartolotti, L.J.; et al. Glycoconjugated Site-Selective DNA-Methylating Agent Targeting Glucose Transporters on Glioma Cells. Biochemistry 2017, 56, 421–440. [Google Scholar] [CrossRef]
Publisher’s Note: MDPI stays neutral with regard to jurisdictional claims in published maps and institutional affiliations. |
© 2021 by the authors. Licensee MDPI, Basel, Switzerland. This article is an open access article distributed under the terms and conditions of the Creative Commons Attribution (CC BY) license (https://creativecommons.org/licenses/by/4.0/).






