Searching for New Biologically Active Compounds Derived from Isoquinoline Alkaloids †
Abstract
:1. Introduction
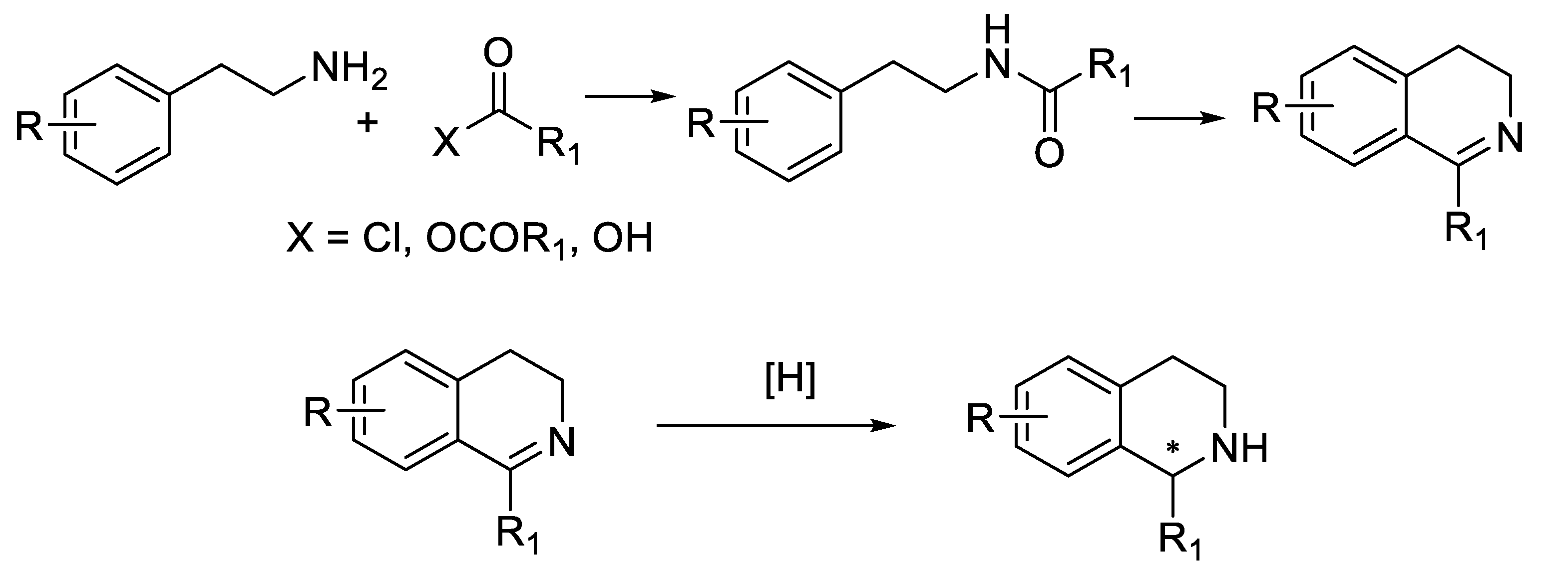
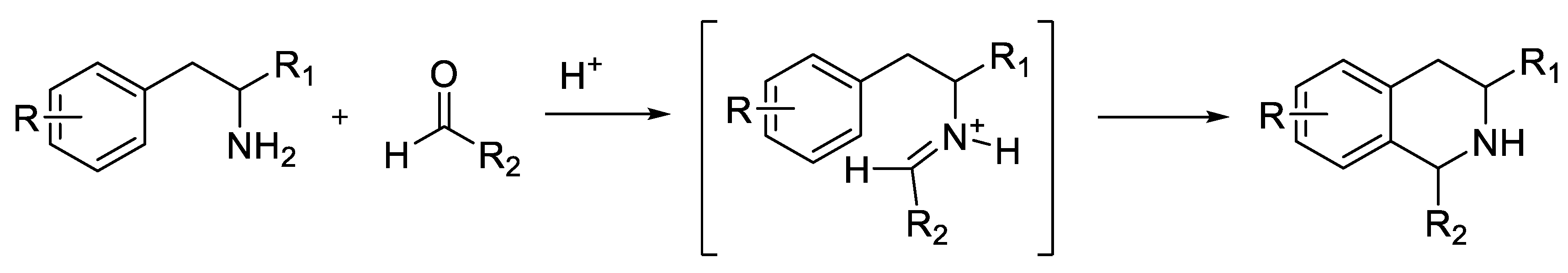
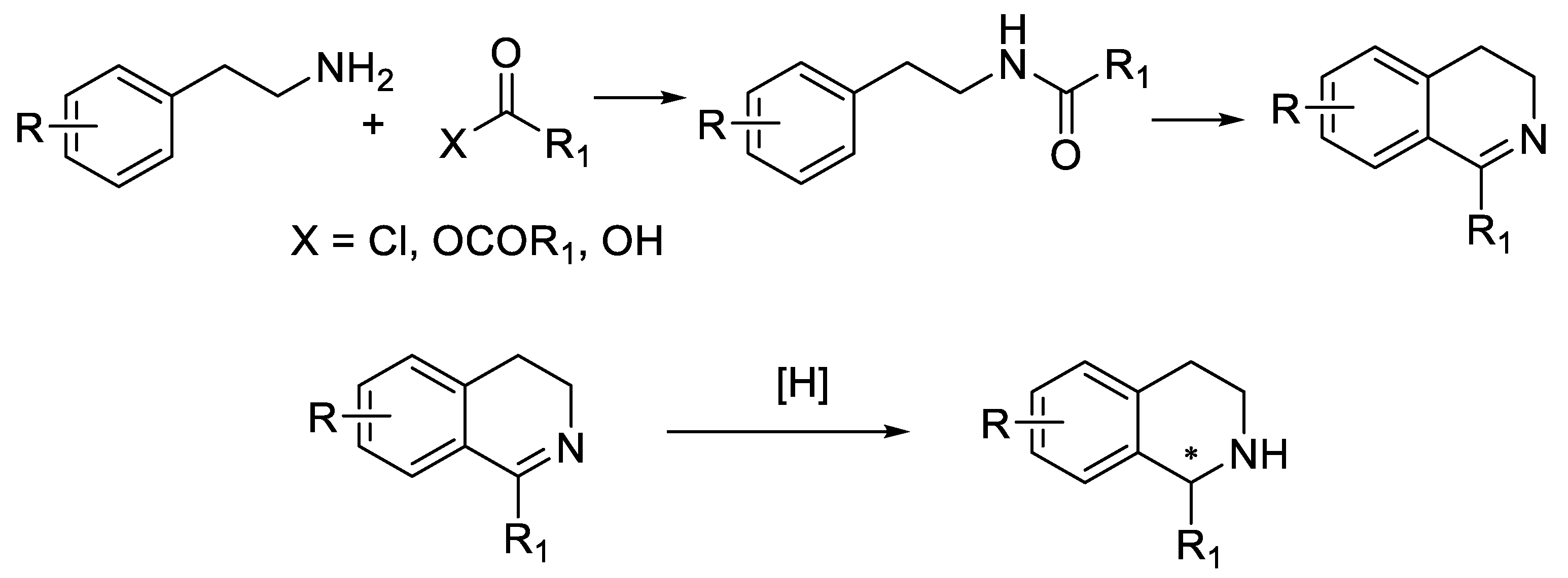
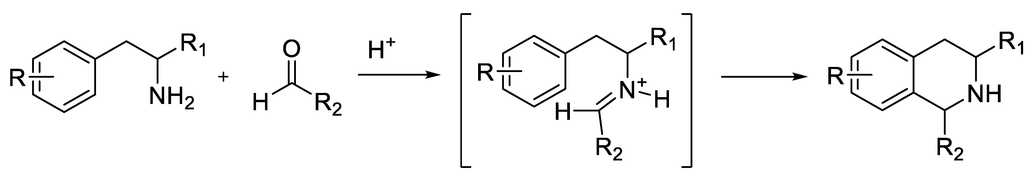
2. Methods of Isoquinoline System Synthesis
3. Results and Discussion
4. Conclusions
References
- Fischer, J.; Ganellin, C.R. Analogue-Based Drug Discovery; John Wiley & Sons: Hoboken, NJ, USA, 2006. [Google Scholar]
- Qing, Z.-X.; Yang, P.; Tang, Q.; Cheng, P.; Liu, X.-B.; Zheng, Y.-j.; Liu, Y.-S.; Zeng, J.-G. Isoquinoline alkaloids and their antiviral, antibacterial, and antifungal activities and structure-activity relationship. Curr. Org. Chem. 2017, 21, 1–15. [Google Scholar] [CrossRef]
- Taniyama, D.; Tomioka, M.H.K. A facile and efficient asymmetric synthesis of (+)-salsolidine. Tetrahedron Lett. 2000, 41, 5533–5536. [Google Scholar] [CrossRef]
- Chrzanowska, M.; Rozwadowska, M.D. Asymmetric synthesis of isoquinoline alkaloids. Chem. Rev. 2004, 104, 3341–3370. [Google Scholar]
- Kaufman, T.S. Synthetic pathways to salsolidine. Tetrahedron Asymmetry 2004, 15, 1203–1237. [Google Scholar] [CrossRef]
- Chrzanowska, M.; Grajewska, A.; Rozwadowska, M.D. Asymmetric synthesis of isoquinoline alkaloids: 2004–2015. Chem. Rev. 2016, 116, 12369–12465. [Google Scholar] [CrossRef] [PubMed]
- Hoogewerf, S.; van Dorp, W.A. Sur un isomère de la quinoléine. Recueil des Travaux Chemiques des Pays-Bas 1885, 4, 125–129. [Google Scholar] [CrossRef]
- Hoogewerf, S.; van Dorp, W.A. Sur quelques dérivés de l’isoquinoléine. Recueil des Travaux Chemiques des Pays-Bas 1886, 5, 305–312. [Google Scholar] [CrossRef]
- Li, J.J. Name Reactions: A Collection of Detailed Reaction Mechanisms, 3rd expanded ed.; Springer: Berlin, Germany, 2006; Volume 57–58, pp. 472–474. [Google Scholar]
- Grajewska, A.; Rozwadowska, M.D. Total synthesis of (R)-(+)-salsolidine by hydride addition to (R)-N-tert-butanesulfinyl ketimine. Tetrahedron Asymmetry 2007, 18, 557–561. [Google Scholar] [CrossRef]
- Bischler, A.; Napieralski, B. Zur kenntniss einer neuen isochinolinsynthese. Ber. Dtsch. Chem. Ges. 1893, 26, 1903–1908. [Google Scholar] [CrossRef]
- Whaley, W.M.; Govindachari, T.R. Organic Reaction; John Wiley & Sons: New York, NY, USA, 1951; Volume VI, pp. 74–144. [Google Scholar]
- Galat, A. Synthesis of papaverine and some related compounds. J. Am. Chem. Soc. 1951, 73, 3654–3656. [Google Scholar] [CrossRef]
- Yokoyama, A.; Ohwada, T.; Shudo, K. Prototype Pictet—Spengler reactions catalyzed by superacids. Involvement of dicationic superelectrophiles. J. Org. Chem. 1999, 64, 611–617. [Google Scholar] [CrossRef]
- Quevedo, R.; Baquero, E.; Rodriguez, M. Regioselectivity in isoquinoline alkaloid synthesis. Tetrahedron Lett. 2010, 51, 1774–1778. [Google Scholar] [CrossRef]
- Nakahara, S.; Kubo, A.; Mikami, Y.; Ito, J. Synthesis of cribrostatin 6 and its related compounds. Heterocycles 2006, 68, 515–520. [Google Scholar] [CrossRef]
- Ashley, E.R.; Cruz, E.G.; Stoltz, B.M. The total synthesis of (−)-lemonomycin. J. Am. Chem. Soc. 2003, 125, 15000–15001. [Google Scholar] [CrossRef] [PubMed]
- Allan, K.M.; Stoltz, B.M. A concise total synthesis of (−)-quinocarcin via aryne annulation. J. Am. Chem. Soc. 2008, 130, 17270–17271. [Google Scholar] [CrossRef] [PubMed]
- Klintworth, R.; de Koning, C.B.; Opatz, T.; Michael, J.P. A Xylochemically Inspired Synthesis of Lamellarin G Trimethyl Ether via an Enaminone Intermediate. J. Org. Chem. 2019, 84, 11025–11031. [Google Scholar] [CrossRef] [PubMed]
- Zhu, R.; Xu, Z.; Ding, W.; Liu, S.; Shi, X.; Lu, X. Efficient and Practical Syntheses of Enantiomerically Pure (S)-(−)-Norcryptostyline I,(S)-(−)-Norcryptostyline II,(R)-(+)-Salsolidine and (S)-(−)-Norlaudanosine via a Resolution-Racemization Method. Chin. J. Chem. 2014, 32, 1039–1048. [Google Scholar] [CrossRef]
- Ćwiklińska, M.; Krzemiński, M.P.; Tafelska-Kaczmarek, A. Chiral terpene auxiliaries III: Spiroborate esters from (1R, 2S, 3R, 5R)-3-amino-apopinan-2-ol as highly effective catalysts for asymmetric reduction of ketones with borane. Tetrahedron Asymmetry 2015, 26, 1453–1458. [Google Scholar] [CrossRef]










![]() | |||||||
|---|---|---|---|---|---|---|---|
| Alkaloid | R1 | R2 | R3 | R4 | R5 | R6 | Biological Activity |
| (R)-Norcoclaurine | H | OH | H | H | H | H | Food supplements developed for weight management and sports supplements |
| (R)-Coclaurine | H | OH | H | Me | H | H | Nicotinic acetylcholine receptor antagonist |
| (R)-Norreticuline | OH | OMe | H | Me | H | H | |
| (R)-Reticuline | OH | OMe | H | Me | H | Me | The precursor of morphine and many other alkaloids. It is also toxic to dopaminergic neurons causing a form of atypical parkinsonism |
| (R)-Trimetoquinol | OMe | OMe | OMe | H | H | H | Drug with a sympathomimetic effect, with a short duration of action, acting selectively on β2 adrenergic receptors |
| (R)-Norarmepavine | H | OH | H | Me | Me | H | |
| (R)-Armepavine | H | OH | H | Me | Me | Me | Anti-inflammatory effects on human peripheral blood mononuclear cells, but also immunosuppressive effects on T lymphocytes |
| (R)-Norprotosinomenine | OH | OMe | H | H | Me | H | |
| (R)-Protosinomenine | OH | OMe | H | H | Me | Me | |
| (R)-Norlaudanosine | OMe | OMe | H | Me | Me | H | |
| (R)-Laudanosine | OMe | OMe | H | Me | Me | Me | Interacts with GABA receptors, glycine receptors, opioid receptors, and nicotinic acetylcholine receptors |
| (R)-nor-5-Methoxylaudanosine | OMe | OMe | OMe | Me | Me | H | |
| (R)-5-Methoxylaudanosine | OMe | OMe | OMe | Me | Me | Me | |
Publisher’s Note: MDPI stays neutral with regard to jurisdictional claims in published maps and institutional affiliations. |
© 2020 by the authors. Licensee MDPI, Basel, Switzerland. This article is an open access article distributed under the terms and conditions of the Creative Commons Attribution (CC BY) license (https://creativecommons.org/licenses/by/4.0/).
Share and Cite
Kmieciak, A.; Ćwiklińska, M.; Jeżak, K.; Shili, A.; Krzemiński, M.P. Searching for New Biologically Active Compounds Derived from Isoquinoline Alkaloids. Chem. Proc. 2021, 3, 97. https://doi.org/10.3390/ecsoc-24-08417
Kmieciak A, Ćwiklińska M, Jeżak K, Shili A, Krzemiński MP. Searching for New Biologically Active Compounds Derived from Isoquinoline Alkaloids. Chemistry Proceedings. 2021; 3(1):97. https://doi.org/10.3390/ecsoc-24-08417
Chicago/Turabian StyleKmieciak, Anna, Marta Ćwiklińska, Karolina Jeżak, Afef Shili, and Marek P. Krzemiński. 2021. "Searching for New Biologically Active Compounds Derived from Isoquinoline Alkaloids" Chemistry Proceedings 3, no. 1: 97. https://doi.org/10.3390/ecsoc-24-08417
APA StyleKmieciak, A., Ćwiklińska, M., Jeżak, K., Shili, A., & Krzemiński, M. P. (2021). Searching for New Biologically Active Compounds Derived from Isoquinoline Alkaloids. Chemistry Proceedings, 3(1), 97. https://doi.org/10.3390/ecsoc-24-08417


