New Synthetic Applications of 2-Benzylidene-1-indanones: Synthesis of 4b,10,10a,11-Tetrahydro-5H-indeno[1,2-H]quinoline and 1′-(Diisopropylamino)-2,2′-spirobi[indene]-1,3′(1′H,3H)-dione †
Abstract
1. Introduction
2. Results and Discussion
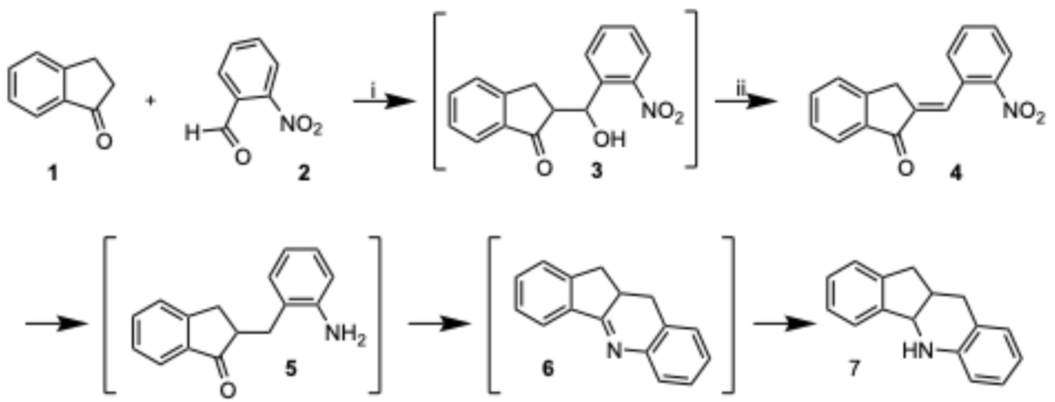
2.1. Synthesis of 4b,10,10a,11-Tetrahydro-5H-indeno[1,2-b]quinoline (7)
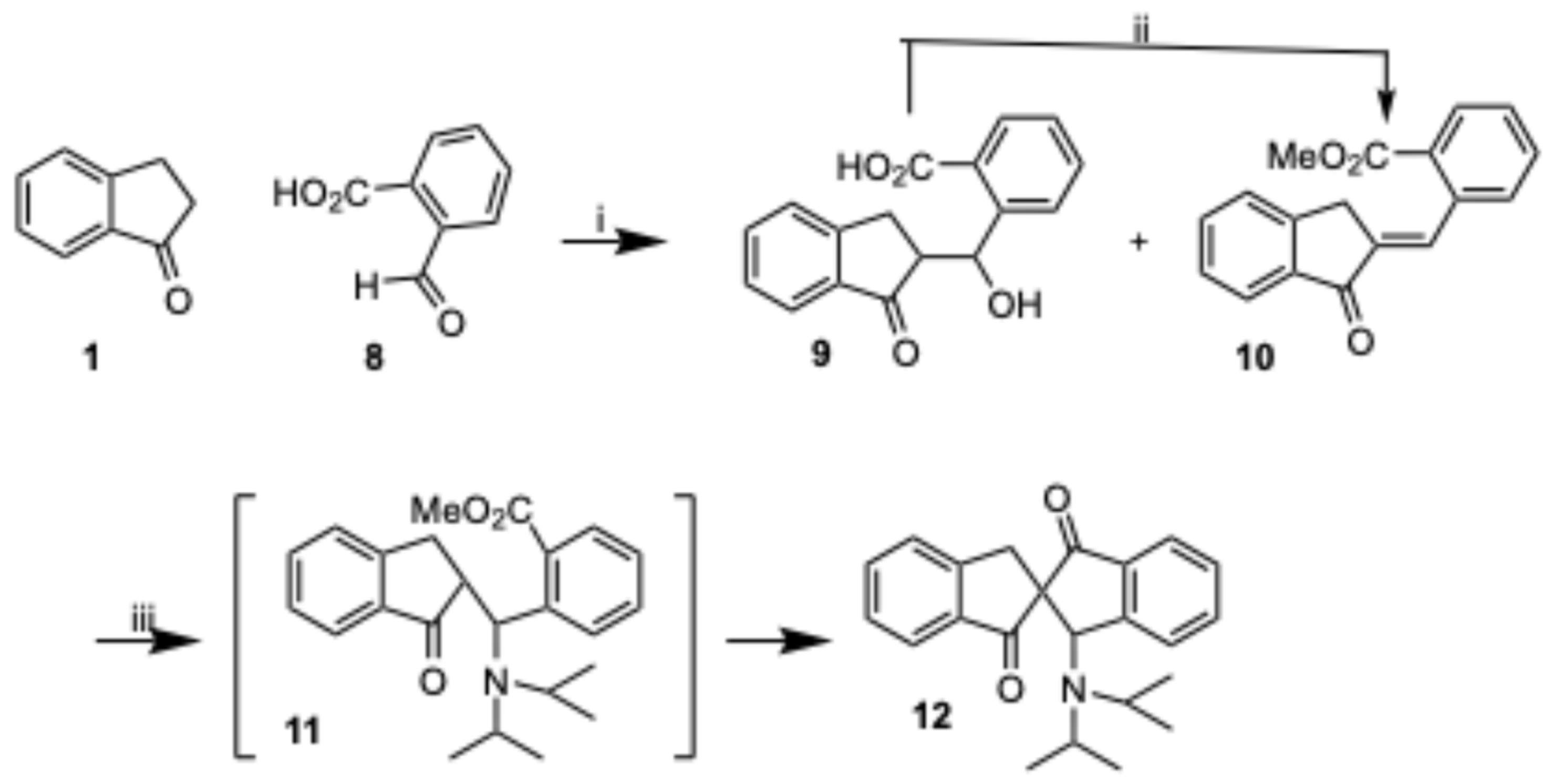
2.2. Synthesis of 1′-(Diisopropylamino)-2,2′-spirobi[indene]-1,3′(1′H,3H)-dione
3. Conclusions
Author Contributions
Funding
Institutional Review Board Statement
Informed Consent Statement
Data Availability Statement
Conflicts of Interest
References
- Turek, M.; Szczęsna, D.; Koprowski, M.; Bałczewski, P. Synthesis of 1-Indanones with a Broad Range of Biological Activity. Beilstein J. Org. Chem. 2017, 13, 451–494. [Google Scholar] [CrossRef] [PubMed]
- Nagle, D.G.; Zhou, Y.-D.; Park, P.U.; Paul, V.J.; Rajbhandari, I.; Duncan, C.J.G.; Pasco, D.S. A New Indanone from the Marine Cyanobacterium Lyngbya m Ajuscula That Inhibits Hypoxia-Induced Activation of the VEGF Promoter in Hep3B Cells. J. Nat. Prod. 2000, 63, 1431–1433. [Google Scholar] [CrossRef] [PubMed]
- Patil, S.A.; Patil, R.; Patil, S.A. Recent Developments in Biological Activities of Indanones. Eur. J. Med. Chem. 2017, 138, 182–198. [Google Scholar] [CrossRef] [PubMed]
- Martinez, A.; Fernandez, M.; Estevez, J.C.; Estevez, R.J.; Castedo, L. Studies on the Chemistry of 2-(2-Oxo-3-Phenylpropyl)benzaldehydes: Novel Total Synthesis of 3-Phenylnaphthalen-2-Ols and 2-Hydroxy-3-Phenyl-1,4-Naphthoquinones. Tetrahedron 2005, 61, 485–492. [Google Scholar] [CrossRef]
- Lee, C.G.; Lee, K.Y.; Gowrisankar, S.; Kim, J.N. Synthesis of 4b,5,10a,11-Tetrahydroindeno[1,2-b]Quinolin-10-Ones from Baylis-Hillman Adducts. Tetrahedron Lett. 2004, 45, 7409–7413. [Google Scholar] [CrossRef]
- Rahemtulla, B.F.; Clark, H.F.; Smith, M.D. Catalytic Enantioselective Synthesis of C1 - and C2 -Symmetric Spirobiindanones through Counterion-Directed Enolate C -Acylation. Angew. Chem. Int. Ed. 2016, 55, 13180–13183. [Google Scholar] [CrossRef] [PubMed]
- Maslak, P.; Varadarajan, S.; Burkey, J.D. Synthesis, Structure, and Nucleophile-Induced Rearrangements of Spiroketones. J. Org. Chem. 1999, 64, 8201–8209. [Google Scholar] [CrossRef] [PubMed]
- Pleshakov, V.G.; Ambacheu, K.D.; Ryashentseva, M.A.; Sergeeva, N.D.; Vener, M.V.; Murugova, L.A.; Zvolinsky, O.V.; Prostakov, N.S. Heterogeneous Catalytic Synthesis and Structure of 5,5a,10a,11-Tetrahydro-10H-Indeno[1,2-b]Quinoline. Russ. Chem. Bull. 1994, 43, 1037–1040. [Google Scholar] [CrossRef]
- Zhang, X.Y.; An, Y.; Liu, Z.Z.; Fan, L.T. Claisen-Type Condensation of Ketones with Carboxylic Acids: Synthesis of α,α-Disubstituted β-Keto Carbonyl Compounds. Synthesis 2025, 57, 2337–2344. [Google Scholar] [CrossRef]



Disclaimer/Publisher’s Note: The statements, opinions and data contained in all publications are solely those of the individual author(s) and contributor(s) and not of MDPI and/or the editor(s). MDPI and/or the editor(s) disclaim responsibility for any injury to people or property resulting from any ideas, methods, instructions or products referred to in the content. |
© 2025 by the authors. Licensee MDPI, Basel, Switzerland. This article is an open access article distributed under the terms and conditions of the Creative Commons Attribution (CC BY) license (https://creativecommons.org/licenses/by/4.0/).
Share and Cite
Estévez, R.J.; Estévez, J.C.; Martínez, A.M. New Synthetic Applications of 2-Benzylidene-1-indanones: Synthesis of 4b,10,10a,11-Tetrahydro-5H-indeno[1,2-H]quinoline and 1′-(Diisopropylamino)-2,2′-spirobi[indene]-1,3′(1′H,3H)-dione. Chem. Proc. 2025, 18, 97. https://doi.org/10.3390/ecsoc-29-26867
Estévez RJ, Estévez JC, Martínez AM. New Synthetic Applications of 2-Benzylidene-1-indanones: Synthesis of 4b,10,10a,11-Tetrahydro-5H-indeno[1,2-H]quinoline and 1′-(Diisopropylamino)-2,2′-spirobi[indene]-1,3′(1′H,3H)-dione. Chemistry Proceedings. 2025; 18(1):97. https://doi.org/10.3390/ecsoc-29-26867
Chicago/Turabian StyleEstévez, Ramón J., Juan C. Estévez, and Ana M. Martínez. 2025. "New Synthetic Applications of 2-Benzylidene-1-indanones: Synthesis of 4b,10,10a,11-Tetrahydro-5H-indeno[1,2-H]quinoline and 1′-(Diisopropylamino)-2,2′-spirobi[indene]-1,3′(1′H,3H)-dione" Chemistry Proceedings 18, no. 1: 97. https://doi.org/10.3390/ecsoc-29-26867
APA StyleEstévez, R. J., Estévez, J. C., & Martínez, A. M. (2025). New Synthetic Applications of 2-Benzylidene-1-indanones: Synthesis of 4b,10,10a,11-Tetrahydro-5H-indeno[1,2-H]quinoline and 1′-(Diisopropylamino)-2,2′-spirobi[indene]-1,3′(1′H,3H)-dione. Chemistry Proceedings, 18(1), 97. https://doi.org/10.3390/ecsoc-29-26867

