In-Silico Evaluation of Some Newly Synthesized Quinoline Derivatives as Anti- Microbial Agents †
Abstract
1. Introduction
Rationale and Objective
2. Material and Methods
2.1. Synthesis of 2-arylquinoline-4-carboxylic Acids 2a–2e (Pfitzinger Reaction) (Step-I)
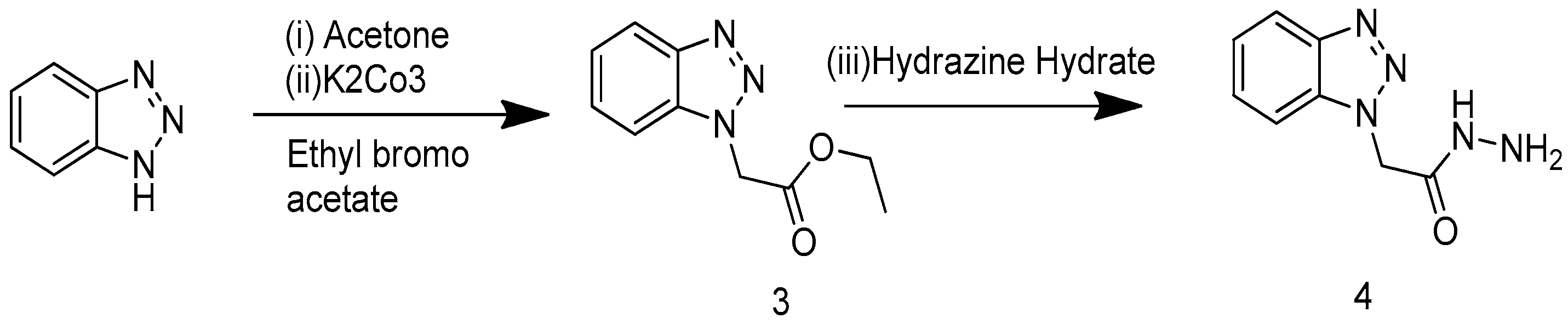
2.2. Synthesis of Ethyl 2-(1H-benzo[d][1,2,3]triazol-1-yl)acetate (BTZ-OEt) (Step-IIa)
2.3. Synthesis of 2-(1H-benzo[d][1,2,3]triazol-1-yl)acetohydrazide 4 (Step-IIb)
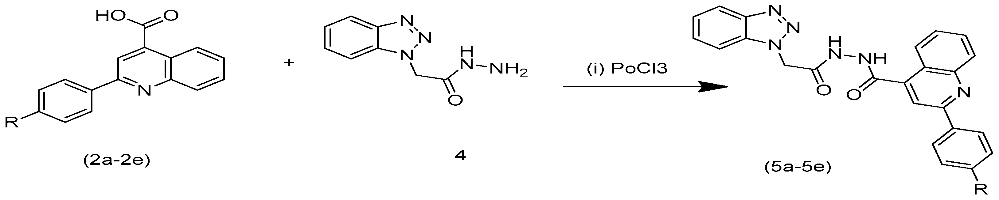
2.4. Synthesis of Final Quinoline Carbohydrazides 5a–5e
3. Results
3.1. Chemistry
3.2. Molecular Docking Studies
- In the first step of the reaction 2-arylquinoline-4-carboxylic acid derivatives (2a–2e) were synthesized, as illustrated in Figure 5.
- Five newly synthesized compounds (labelled 5a–5e) were evaluated. The substitution details of the final compounds are shown Figure 6.
- The protein structure (6BPP) served as the receptor model, and the ligand-binding site was determined based on the position of the co-crystallized inhibitor G092.
- The standard reference compound (inhibitor G092) and its amino acid interaction profile were taken directly from the RCSB PDB database, ensuring an accurate comparison of docking poses and binding energies.
3.3. Physiochemical Properties
ADME Results Screening and Analyzation
3.4. Conclusions
Supplementary Materials
Author Contributions
Funding
Institutional Review Board Statement
Informed Consent Statement
Data Availability Statement
Acknowledgments
Conflicts of Interest
Abbreviations
| TLC | Thin layer Chromatography |
| TPSA | Total polar surface area |
| LogP | Lipophilicity |
| LogS | Water solubility |
| DMSO | Dimethyl Sulfoxide |
References
- Desai, N.C.; Harsora, J.P.; Monapara, J.D.; Khedkar, V.M. Synthesis, antimicrobial capability and molecular docking of heterocyclic scaffolds clubbed by 2-Azetidinone, thiazole and quinoline derivatives. Polycycl. Aromat. Compd. 2021, 42, 3924–3938. [Google Scholar] [CrossRef]
- Olegário, T.R.; De Araújo, L.G.; Lopes, B.G.; Cristiano, C.M.Z.; De Oliveira Viana, J.; Weber, K.C.; Dantas, J.R.; De Oliveira Lima, E.; Santos, V.C.; Da Silva, L.B.R.; et al. Solvatochromic fluorophores based on 6-fluoro-2-(aryl)quinoline-4-carboxylic acids: Synthesis, optical studies and evaluation of their antimicrobial and larvicidal properties. Spectrochim. Acta A Mol. Biomol. Spectrosc. 2025, 333, 125886. [Google Scholar] [CrossRef] [PubMed]
- Hamama, W.S.; Ibrahim, M.E.; Gooda, A.A.; Zoorob, H.H. Convenient synthesis, antimicrobial evaluation and molecular modeling of some novel quinoline derivatives. Synth. Commun. 2016, 47, 224–231. [Google Scholar] [CrossRef]
- Harsha, J. Synthesis, molecular docking, Molinspiration and anti-SARS-CoV-2 activity of novel benzimidazolylisoxazoles. Indian J. Chem. 2023, 62A, 1247–1251. [Google Scholar]
- Soni, A.; Varshney, M.; Tale, V.S. Molecular docking and pharmacodynamic study of putative ligands from ginger extract for the inhibition of GbpC. Bioorg. Med. Chem. Res. 2023, 31, 1–8. [Google Scholar]
- Chafai, N.; Benbouguerra, K.; Kirouani, I.; Hellal, A.; Layaida, H.; Elkolli, M.; Bensouici, C.; Chafaa, S. Synthesis, characterization, DFT, antioxidant, antibacterial, pharmacokinetics and inhibition of SARS-CoV-2 main protease of some heterocyclic hydrazones. J. Mol. Struct. 2022, 1270, 134005. [Google Scholar] [CrossRef]
- Mishra, A.; Tangsumranjit, A.; Nigam, M.; Chandra, H.; Almalki, F.A.; Hadda, T.; Waranuch, N. Integrative in silico and Petra/Osiris/Molinspiration (POM) analysis of baicalein: Identification of therapeutically relevant pharmacophores against keloid pathology. Drug Target Insights 2025, 19, 49–58. [Google Scholar] [CrossRef] [PubMed]
- Dhruzhinina, T.V.; Kondrashova, N.N.; Shvekhgeimer, M.G.A. Synthesis of new derivatives of polycapromide graft copolymers containing 2-(4-aminophenyl)quinoline-4-carboxylic acid fragments. Fibre Chem. 2004, 36, 7–11. [Google Scholar] [CrossRef]
- Ali, M.R.; Kumar, S.; Afzal, O.; Shalmali, N.; Ali, W.; Sharma, M.; Bawa, S. Arch Pharm Chemistry in Life Sciences. Arch. Pharm. Chem. Life Sci. 2017, 350, e1600313. [Google Scholar] [CrossRef] [PubMed]
- Halgren, T.A.; Murphy, R.B.; Friesner, R.A.; Beard, H.S.; Frye, L.L.; Pollard, W.T.; Banks, J.L. Glide: A new approach for rapid, accurate docking and scoring. 1. Method and assessment of docking accuracy. J. Med. Chem. 2004, 47, 1739–1749. [Google Scholar] [CrossRef] [PubMed]
- Friesner, R.A.; Banks, J.L.; Murphy, R.B.; Halgren, T.A.; Klicic, J.J.; Mainz, D.T.; Repasky, M.P.; Knoll, E.H.; Shelley, M.; Perry, J.K.; et al. Extra precision Glide: Docking and scoring incorporating a model of hydrophobic enclosure for protein–ligand complexes. J. Med. Chem. 2006, 49, 6177–6196. [Google Scholar] [CrossRef] [PubMed]
- Schrödinger Release 2015-1: Glide, Version 7.0; Schrödinger, LLC: New York, NY, USA, 2015.








| Code | Substitution | Docking Score |
|---|---|---|
| 5a | –H | −8.7 |
| 5b | P–Cl | −7.3 |
| 5c | P–Br | −7.8 |
| 5d | P–NH2 | −8.3 |
| 5e | O–OH | −7.6 |
| Code | Mol. Wt. | CLogP | HBD | HBA | Nrotb | TPSA | Clog S | Drug Score | Drug Likeliness | Lipinski’s Rule |
|---|---|---|---|---|---|---|---|---|---|---|
| 5a | 422.44 | 2.33 | 8 | 2 | 5 | 101.8 | −5.41 | 0.076 | −2.1 | Yes |
| 5b | 456.89 | 2.93 | 8 | 2 | 5 | 101.8 | −5.6 | 0.071 | −1.18 | Yes |
| 5c | 500 | 3.05 | 8 | 2 | 5 | 101.8 | −6.25 | 0.050 | −3.98 | No |
| 5d | 437 | 1.65 | 9 | 4 | 5 | 127.8 | −5.49 | 0.068 | −1.92 | Yes |
| 5e | 438 | 1.98 | 9 | 3 | 5 | 122.03 | −5.12 | 0.063 | −2.11 | Yes |
Disclaimer/Publisher’s Note: The statements, opinions and data contained in all publications are solely those of the individual author(s) and contributor(s) and not of MDPI and/or the editor(s). MDPI and/or the editor(s) disclaim responsibility for any injury to people or property resulting from any ideas, methods, instructions or products referred to in the content. |
© 2025 by the authors. Licensee MDPI, Basel, Switzerland. This article is an open access article distributed under the terms and conditions of the Creative Commons Attribution (CC BY) license (https://creativecommons.org/licenses/by/4.0/).
Share and Cite
Sahay, N.; Shalmali, N. In-Silico Evaluation of Some Newly Synthesized Quinoline Derivatives as Anti- Microbial Agents. Chem. Proc. 2025, 18, 135. https://doi.org/10.3390/ecsoc-29-26880
Sahay N, Shalmali N. In-Silico Evaluation of Some Newly Synthesized Quinoline Derivatives as Anti- Microbial Agents. Chemistry Proceedings. 2025; 18(1):135. https://doi.org/10.3390/ecsoc-29-26880
Chicago/Turabian StyleSahay, Neha, and Nishtha Shalmali. 2025. "In-Silico Evaluation of Some Newly Synthesized Quinoline Derivatives as Anti- Microbial Agents" Chemistry Proceedings 18, no. 1: 135. https://doi.org/10.3390/ecsoc-29-26880
APA StyleSahay, N., & Shalmali, N. (2025). In-Silico Evaluation of Some Newly Synthesized Quinoline Derivatives as Anti- Microbial Agents. Chemistry Proceedings, 18(1), 135. https://doi.org/10.3390/ecsoc-29-26880

