Approaches to the Synthesis of New Symmetrical Bridged Bis(6-hydroxypyrimidin-4(3H)-ones) †
Abstract
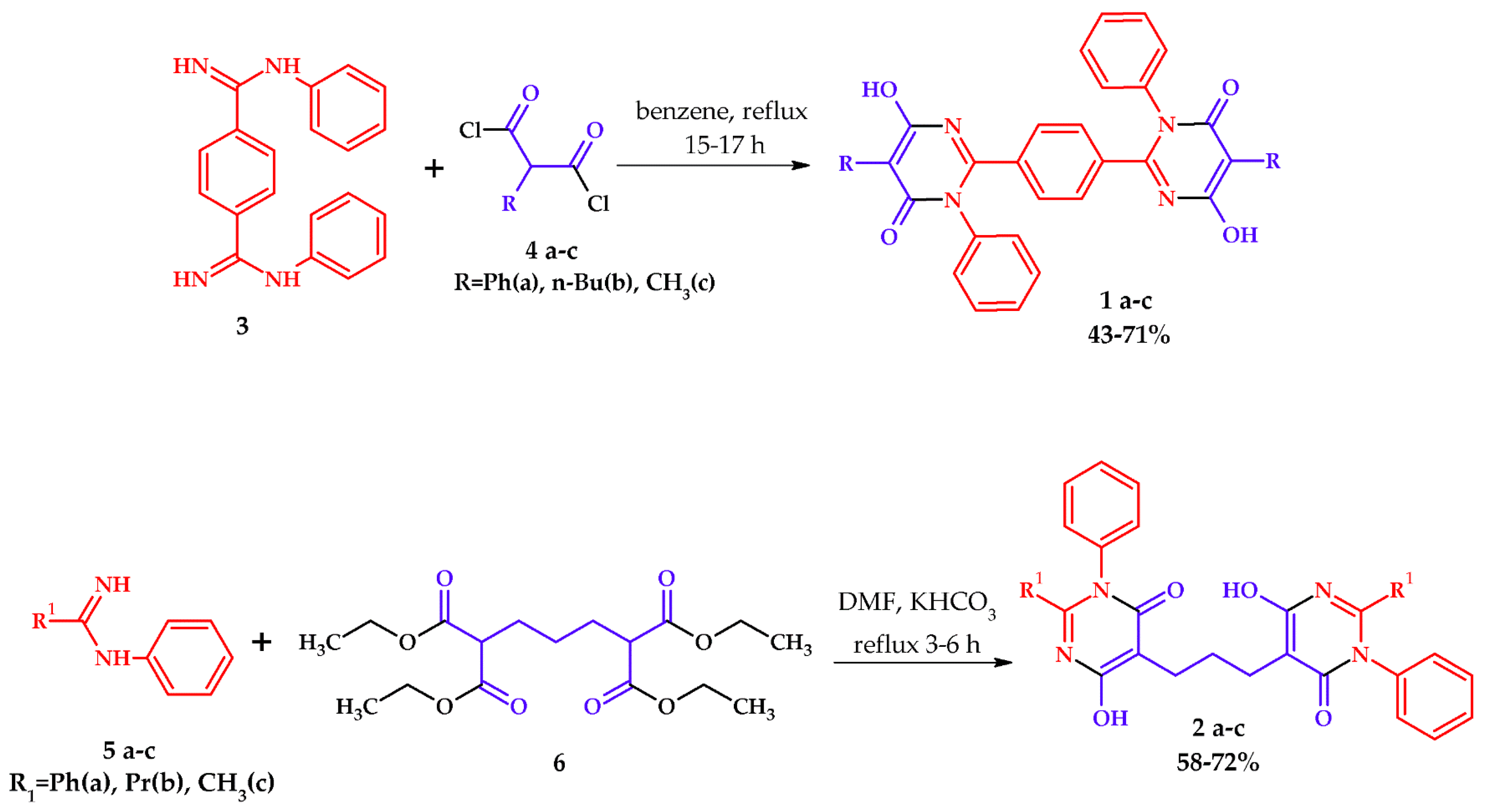
1. Introduction
2. Materials and Methods
3. Results and Conclusions
Author Contributions
Funding
Institutional Review Board Statement
Informed Consent Statement
Data Availability Statement
Conflicts of Interest
Abbreviations
| NMR | Nuclear Magnetic Resonance |
| DMSO | Dimethyl Sulfoxide |
References
- Kumar, S.; Singh, J.; Narasimhan, B.; Shah, S.A.A.; Lim, S.M.; Ramasamy, K.; Mani, V. Reverse pharmacophore mapping and molecular docking studies for discovery of GTPase HRas as promising drug target for bis-pyrimidine derivatives. Chem. Cent. J. 2018, 12, 106. [Google Scholar] [CrossRef] [PubMed]
- Nagaraj, A.; Reddy, C.S. Synthesis and biological study of novel bis-chalcones, bis-thiazines and bis-pyrimidines. JICS 2008, 5, 262–267. [Google Scholar] [CrossRef]
- Ramesh, D.; Mohanty, A.K.; De, A.; Vijayakumar, B.G.; Sethumadhavan, A.; Muthuvel, S.K.; Mani, M.; Kannan, T. Uracil derivatives as HIV-1 capsid protein inhibitors: Design, in silico, in vitro and cytotoxicity studies. RSC Adv. 2022, 12, 17466–17480. [Google Scholar] [CrossRef] [PubMed]
- Grivsky, E.M.; Lee, S.; Sigel, C.W.; Duch, D.S.; Nichol, C.A. Synthesis and antitumor activity of 2,4-diamino-6-(2,5-dimethoxybenzyl)-5-methylpyrido[2,3-d]pyrimidine. J. Med. Chem. 1980, 23, 327–329. [Google Scholar] [CrossRef] [PubMed]
- Haggam, R.A.; Assy, M.G.; Mohamed, E.K.; Mohamed, A.S. Synthesis of Pyrano[2,3-d]pyrimidine-2,4-diones and Pyridino [2,3-d]pyrimidine-2,4,6,8-tetraones: Evaluation Antitumor Activity. J. Heterocycl. Chem. 2019, 57, 842–850. [Google Scholar] [CrossRef]
- Matsumoto, J.; Minami, S. Pyrido[2,3-d]pyrimidine antibacterial agents. 3. 8-Alkyl- and 8-vinyl-5,8-dihydro-5-oxo-2-(1-piperazinyl)pyrido[2,3-d]pyrimidine-6-carboxylic acids and their derivatives. J. Med. Chem. 1975, 18, 74–79. [Google Scholar] [CrossRef] [PubMed]
- Brahmachari, G.; Nayek, N. Catalyst-Free One-Pot Three-Component Synthesis of Diversely Substituted 5-Aryl-2-oxo-/thioxo-2,3-dihydro-1H-benzo[6,7]chromeno[2,3-d]pyrimidine-4,6,11(5H)-triones Under Ambient Conditions. ACS Omega 2017, 2, 5025–5035. [Google Scholar] [CrossRef] [PubMed]
- Youssouf, M.S.; Kaiser, P.; Singh, G.D.; Singh, S.; Bani, S.; Gupta, V.K.; Satti, N.K.; Suri, K.A.; Johri, R.K. Anti-histaminic, anti-inflammatory and bronchorelaxant activities of 2, 7-dimethyl-3-nitro-4H pyrido [1,2-a] pyrimidine-4-one. Int. Immunopharmacol. 2008, 8, 1049–1055. [Google Scholar] [CrossRef] [PubMed]





Disclaimer/Publisher’s Note: The statements, opinions and data contained in all publications are solely those of the individual author(s) and contributor(s) and not of MDPI and/or the editor(s). MDPI and/or the editor(s) disclaim responsibility for any injury to people or property resulting from any ideas, methods, instructions or products referred to in the content. |
© 2026 by the authors. Licensee MDPI, Basel, Switzerland. This article is an open access article distributed under the terms and conditions of the Creative Commons Attribution (CC BY) license (https://creativecommons.org/licenses/by/4.0/).
Share and Cite
Stepkina, D.M.; Merkusheva, S.S.; Kolesnik, D.A.; Ksenofontova, G.V.; Yakovlev, I.P. Approaches to the Synthesis of New Symmetrical Bridged Bis(6-hydroxypyrimidin-4(3H)-ones). Chem. Proc. 2025, 18, 130. https://doi.org/10.3390/ecsoc-29-26837
Stepkina DM, Merkusheva SS, Kolesnik DA, Ksenofontova GV, Yakovlev IP. Approaches to the Synthesis of New Symmetrical Bridged Bis(6-hydroxypyrimidin-4(3H)-ones). Chemistry Proceedings. 2025; 18(1):130. https://doi.org/10.3390/ecsoc-29-26837
Chicago/Turabian StyleStepkina, Darya Mikhailovna, Sofya Sergeevna Merkusheva, Denis Andreevich Kolesnik, Galina Vladimirovna Ksenofontova, and Igor Pavlovich Yakovlev. 2025. "Approaches to the Synthesis of New Symmetrical Bridged Bis(6-hydroxypyrimidin-4(3H)-ones)" Chemistry Proceedings 18, no. 1: 130. https://doi.org/10.3390/ecsoc-29-26837
APA StyleStepkina, D. M., Merkusheva, S. S., Kolesnik, D. A., Ksenofontova, G. V., & Yakovlev, I. P. (2025). Approaches to the Synthesis of New Symmetrical Bridged Bis(6-hydroxypyrimidin-4(3H)-ones). Chemistry Proceedings, 18(1), 130. https://doi.org/10.3390/ecsoc-29-26837

