In Silico Analysis of Fluoroquinolone Derivatives as Inhibitors of Bacterial DNA Gyrase †
Abstract
1. Introduction
2. Materials and Methods
2.1. Protein Retrieval and Modeling
2.2. Protein Preparation
2.3. Ligand Preparation
2.4. Docking and Validation
3. Results and Discussion
Author Contributions
Funding
Institutional Review Board Statement
Informed Consent Statement
Data Availability Statement
Conflicts of Interest
References
- Kherroubi, L.; Bacon, J.; Rahman, K.M. Navigating fluoroquinolone resistance in Gram-negative bacteria: A comprehensive evaluation. JAC—Antimicrob. Resist. 2024, 6, dlae127. [Google Scholar] [CrossRef] [PubMed]
- Rodrigues, C.F.; Silva, F. The Rise, Fall, and Rethink of (Fluoro)quinolones: A Quick Rundown. Pathogens 2025, 14, 525. [Google Scholar] [CrossRef] [PubMed]
- Jakhar, R.; Khichi, A.; Kumar, D.; Dangi, M.; Chhillar, A.K. Discovery of novel inhibitors of bacterial DNA gyrase using a QSAR-Based approach. ACS Omega 2022, 7, 32665–32678. [Google Scholar] [CrossRef] [PubMed]
- Hooper, D.C.; Jacoby, G.A. Topoisomerase inhibitors: Fluoroquinolone mechanisms of action and resistance. Cold Spring Harb. Perspect. Med. 2016, 6, a025320. [Google Scholar] [CrossRef]
- Aldred, K.J.; Kerns, R.J.; Osheroff, N. Mechanism of Quinolone Action and Resistance. Biochemistry 2014, 53, 1565–1574. [Google Scholar] [CrossRef]
- Coba-Males, M.A.; Lavecchia, M.J.; Alcívar-León, C.D.; Santamaría-Aguirre, J. Novel Fluoroquinolones with Possible Antibacterial Activity in Gram-Negative Resistant Pathogens: In Silico Drug Discovery. Molecules 2023, 28, 6929. [Google Scholar] [CrossRef]
- Bush, N.G.; Diez-Santos, I.; Abbott, L.R.; Maxwell, A. Quinolones: Mechanism, lethality and their contributions to antibiotic resistance. Molecules 2020, 25, 5662. [Google Scholar] [CrossRef]
- Agu, P.C.; Afiukwa, C.A.; Orji, O.U.; Ezeh, E.M.; Ofoke, I.H.; Ogbu, C.O.; Ugwuja, E.I.; Aja, P.M. Molecular docking as a tool for the discovery of molecular targets of nutraceuticals in diseases management. Sci. Rep. 2023, 13, 13398. [Google Scholar] [CrossRef]
- Berman, H.M.; Westbrook, J.; Feng, Z.; Gilliland, G.; Bhat, T.N.; Weissig, H.; Shindyalov, I.N.; Bourne, P.E. The Protein Data Bank. Nucleic Acids Res. 2000, 28, 235–242. [Google Scholar] [CrossRef]
- Apweiler, R.; Bairoch, A.; Wu, C.H.; Barker, W.C.; Boeckmann, B.; Ferro, S.; Gasteiger, E.; Huang, H.; Lopez, R.; Magrane, M.; et al. UniProt: The Universal Protein knowledgebase. Nucleic Acids Res. 2003, 32, 115D–119. [Google Scholar] [CrossRef]
- Bilofsky, H.S.; Christian, B. The GenBank® genetic sequence data bank. Nucleic Acids Res. 1988, 16, 1861–1863. [Google Scholar] [CrossRef] [PubMed]
- Yang, J.; Zhang, Y. Protein structure and function prediction using I-TASSER. Curr. Protoc. Bioinform. 2015, 52, 5.8.1–5.8.15. [Google Scholar] [CrossRef] [PubMed]
- Waterhouse, A.; Bertoni, M.; Bienert, S.; Studer, G.; Tauriello, G.; Gumienny, R.; Heer, F.T.; De Beer, T.a.P.; Rempfer, C.; Bordoli, L.; et al. SWISS-MODEL: Homology modelling of protein structures and complexes. Nucleic Acids Res. 2018, 46, W296–W303. [Google Scholar] [CrossRef] [PubMed]
- Kelley, L.A.; Mezulis, S.; Yates, C.M.; Wass, M.N.; Sternberg, M.J.E. The Phyre2 web portal for protein modeling, prediction and analysis. Nat. Protoc. 2015, 10, 845–858. [Google Scholar] [CrossRef]
- Davis, I.W.; Leaver-Fay, A.; Chen, V.B.; Block, J.N.; Kapral, G.J.; Wang, X.; Murray, L.W.; Arendall, W.B.; Snoeyink, J.; Richardson, J.S.; et al. MolProbity: All-atom contacts and structure validation for proteins and nucleic acids. Nucleic Acids Res. 2007, 35, W375–W383. [Google Scholar] [CrossRef]
- Irwin, J.J.; Shoichet, B.K. ZINC—A free database of commercially available compounds for virtual screening. J. Chem. Inf. Model. 2005, 45, 177–182. [Google Scholar] [CrossRef]
- Bell, E.W.; Zhang, Y. DockRMSD: An open-source tool for atom mapping and RMSD calculation of symmetric molecules through graph isomorphism. J. Cheminform. 2019, 11, 40. [Google Scholar] [CrossRef]
- Pagadala, N.S.; Syed, K.; Tuszynski, J. Software for molecular docking: A review. Biophys. Rev. 2017, 9, 91–102. [Google Scholar] [CrossRef]
- Trott, O.; Olson, A.J. AutoDock Vina: Improving the speed and accuracy of docking with a new scoring function, efficient optimization, and multithreading. J. Comput. Chem. 2009, 31, 455–461. [Google Scholar] [CrossRef]
- Fàbrega, A.; Madurga, S.; Giralt, E.; Vila, J. Mechanism of action of and resistance to quinolones. Microb. Biotechnol. 2008, 2, 40–61. [Google Scholar] [CrossRef]
- El-Saghier, A.M.; Abosella, L.; Hassan, A.; Elakesh, E.O.; Bräse, S.; Abuo-Rahma, G.E.-D.A.; Aziz, H.A. Design, Synthesis, and In Silico Studies of New Norfloxacin Analogues with Broad Spectrum Antibacterial Activity via Topoisomerase II Inhibition. Pharmaceuticals 2025, 18, 545. [Google Scholar] [CrossRef]
- Rahimi, H.; Najafi, A.; Eslami, H.; Negahdari, B.; Moghaddam, M.M. Identification of Novel Bacterial DNA Gyrase Inhibitors: An In Silico Study. Available online: https://pmc.ncbi.nlm.nih.gov/articles/PMC4962306/#sec1-3 (accessed on 15 September 2025).
- Emmerson, A.M. The quinolones: Decades of development and use. J. Antimicrob. Chemother. 2003, 51, 13–20. [Google Scholar] [CrossRef]
- Sharma, V.; Das, R.; Mehta, D.K.; Gupta, S.; Venugopala, K.N.; Mailavaram, R.; Nair, A.B.; Shakya, A.K.; Deb, P.K. Recent insight into the biological activities and SAR of quinolone derivatives as multifunctional scaffold. Bioorg. Med. Chem. 2022, 59, 116674. [Google Scholar] [CrossRef]


| E. coli | S. enteritidis | S. infantis | K. pneumoniae | S. aureus | M. tuberculosis | |
|---|---|---|---|---|---|---|
| Moxifloxacin * | −10.12 | −8.31 | −8.39 | −8.29 | −9.27 | −17.88 |
| A | −9.63 | −7.53 | −7.56 | −7.46 | −11.30 | −14.26 |
| B | −9.61 | −8.19 | −8.17 | −8.62 | −8.69 | −17.14 |
| C | −12.14 | −9.19 | −9.12 | −9.11 | −12.23 | −17.52 |
| D | −10.02 | −8.64 | −8.24 | −8.63 | −11.03 | −17.85 |
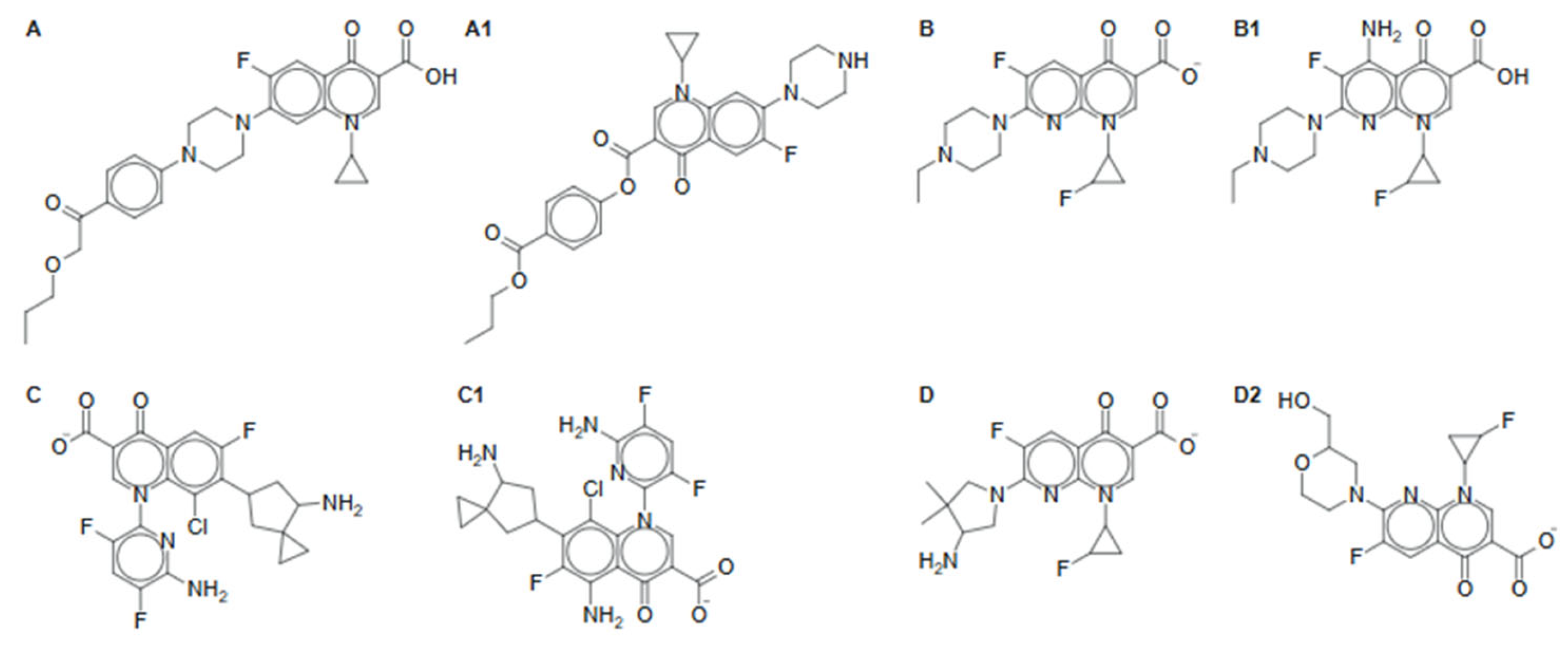
| Compound | Structure | Key Residues | |||||
|---|---|---|---|---|---|---|---|
| E. coli | S. enteritidis | S. infantis | K. pneumoniae | S. aureus | M. tuberculosis | ||
| A | ![]() | GLY448 ARG121 | ASP82 SER83 ALA84 | ASP82 SER83 | ASP82 SER83 | ARG458 GLU435 | PTR129 |
| B | ![]() | LYS 447 ARG121 | ASP82 SER83 ALA84 | ASP82 SER83 | ASP82 SER83 ALA84 | ARG458 | ARG128 |
| C | ![]() | ASP426 ARG121 | GLY81 | GLY81 | GLY81 | GLU435 ARG458 | ARG128 PTR129 |
| D | ![]() | ASP426 ARG121 | GLY81 | ASP82 SER83 ALA84 | ASP82 SER83 ALA84 | ARG458 | ARG128 PTR129 |
| E. coli | S. enteritidis | S. infantis | K. pneumonia | S. aureus | M. tuberculosis | |
|---|---|---|---|---|---|---|
| Moxifloxacin * | −9.95 | −8.28 | −8.31 | −8.28 | −9.37 | −17.72 |
| A1 | −9.25 | −7,75 | −7.35 | −7.47 | −6.02 | −11.14 |
| B1 | −9.06 | −8.24 | −7.79 | −7.92 | −9.46 | −15.16 |
| C1 | −10.42 | −8.78 | −8.77 | −8.76 | −11.11 | −16.54 |
| D2 | −8.86 | −8.54 | −8.35 | −7.93 | −9.37 | −15.69 |
| Compound | Structure | Key Residues | |||||
|---|---|---|---|---|---|---|---|
| E. coli | S. enteritidis | S. infantis | K. pneumoniae | S. aureus | M. tuberculosis | ||
| A1 | ![]() | ARG121ALA119 ALA118 | ASP82 SER83 ALA84 | ASP82 SER83 ALA84 | SER83 ALA84 | GLY459 ARG458 GLU435 | PTR129 ALA125 |
| B1 | ![]() | ARG121 | GLY81 SER83 | GLY81 | GLY81 | GLY459 ARG458 LEU457 GLU435 | ARG128 PTR129 |
| C1 | ![]() | ARG121 SER83 | GLY81 SER83 | GLY81 SER83 | GLY81 SER83 | ARG458 GLY436 GLU435 | ARG128 PTR129 |
| D2 | ![]() | ARG121 | ASP82 SER83 ALA84 | ASP82 SER83 ALA84 | ASP82 SER83 ALA84 | ARG458 | ARG128 PTR129 |
Disclaimer/Publisher’s Note: The statements, opinions and data contained in all publications are solely those of the individual author(s) and contributor(s) and not of MDPI and/or the editor(s). MDPI and/or the editor(s) disclaim responsibility for any injury to people or property resulting from any ideas, methods, instructions or products referred to in the content. |
© 2025 by the authors. Licensee MDPI, Basel, Switzerland. This article is an open access article distributed under the terms and conditions of the Creative Commons Attribution (CC BY) license (https://creativecommons.org/licenses/by/4.0/).
Share and Cite
Jadán, E.; Guarimata, J.D.; Santamaría-Aguirre, J. In Silico Analysis of Fluoroquinolone Derivatives as Inhibitors of Bacterial DNA Gyrase. Chem. Proc. 2025, 18, 125. https://doi.org/10.3390/ecsoc-29-26889
Jadán E, Guarimata JD, Santamaría-Aguirre J. In Silico Analysis of Fluoroquinolone Derivatives as Inhibitors of Bacterial DNA Gyrase. Chemistry Proceedings. 2025; 18(1):125. https://doi.org/10.3390/ecsoc-29-26889
Chicago/Turabian StyleJadán, Evelin, Juan Diego Guarimata, and Javier Santamaría-Aguirre. 2025. "In Silico Analysis of Fluoroquinolone Derivatives as Inhibitors of Bacterial DNA Gyrase" Chemistry Proceedings 18, no. 1: 125. https://doi.org/10.3390/ecsoc-29-26889
APA StyleJadán, E., Guarimata, J. D., & Santamaría-Aguirre, J. (2025). In Silico Analysis of Fluoroquinolone Derivatives as Inhibitors of Bacterial DNA Gyrase. Chemistry Proceedings, 18(1), 125. https://doi.org/10.3390/ecsoc-29-26889









