In Silico Evaluation of Synthetic Hydrophobic Fluorescent NBD- and DANSYL-Derivatives as Potential Inhibitors of Insect Chitinases †
Abstract
1. Introduction
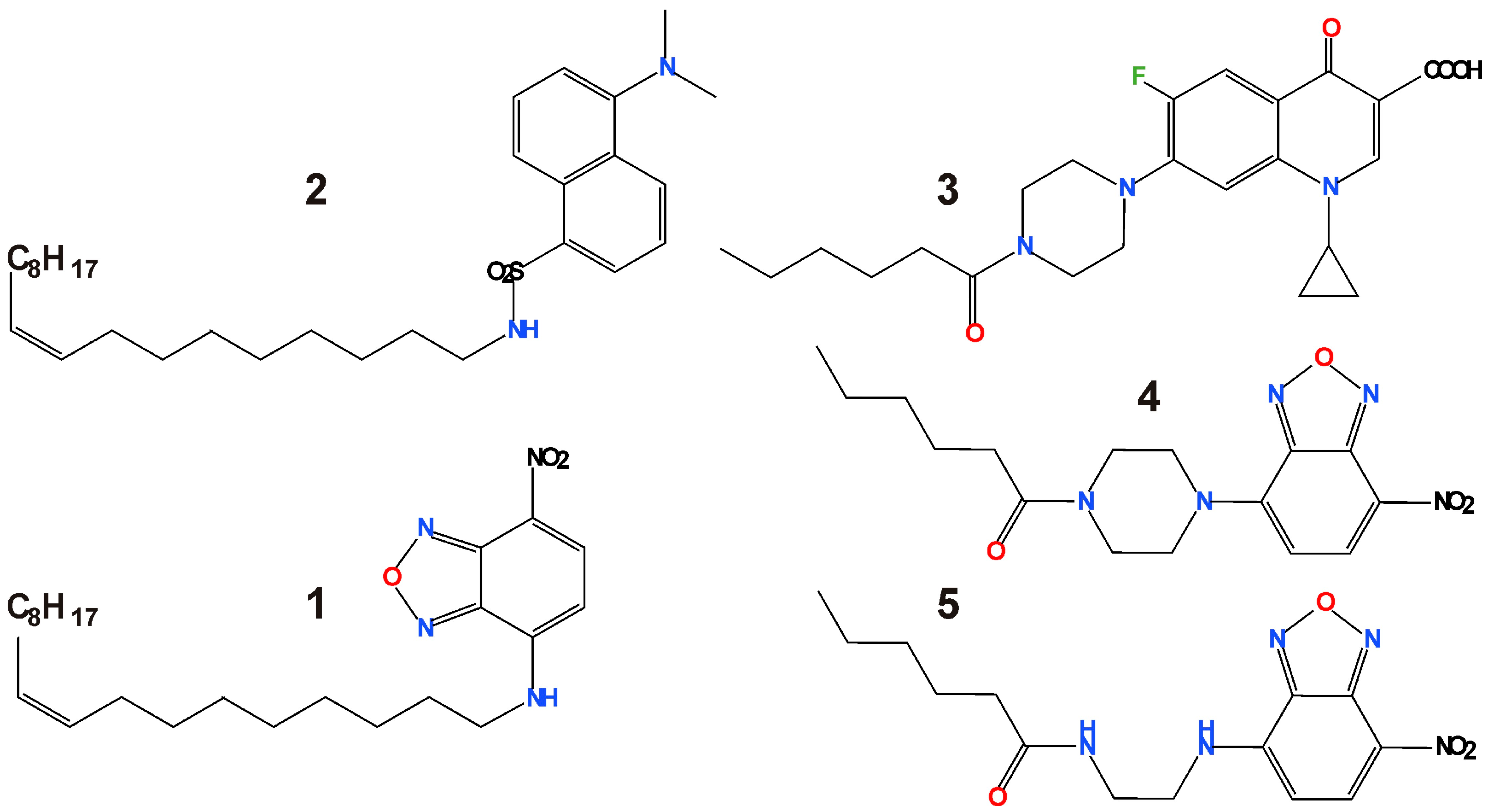
2. Materials and Methods
3. Results
4. Discussion
5. Conclusions
Author Contributions
Funding
Institutional Review Board Statement
Informed Consent Statement
Data Availability Statement
Conflicts of Interest
Abbreviations
| CPFHex | N-hexanoyl ciprofloxacin |
| NpipHex | N-hexanoyl-N′-(7-nitrobenzofurazan-4-yl-)-piperazine |
| NedaHex | N-hexanoyl-N′-(7-nitrobenzofurazan-4-yl-)-ethylenediamine |
| NOLA | N-(7-nitrobenzofurazan-4-yl-)-oleylamine |
| DOLA | N-Dansyl-oleylamine or N-(5-(Dimethylamino)naphthalene-1-sulfonyl)-oleylamine |
| Ebind | Energy of binding (docking score) |
References
- Vaghela, B.; Vashi, R.; Rajput, K.; Joshi, R. Plant chitinases and their role in plant defense: A comprehensive review. Enz. Microb. Technol. 2022, 159, 110055. [Google Scholar] [CrossRef]
- Rajput, M.; Kumar, M.; Pareek, N. Myco-chitinases as versatile biocatalysts for translation of coastal residual resources to eco-competent chito-bioactives. Fung. Biol. Rev. 2022, 41, 52–69. [Google Scholar] [CrossRef]
- Jeong, G.J.; Khan, F.; Tabassum, N.; Kim, Y.-M. Chitinases as key virulence factors in microbial pathogens: Understanding their role and potential as therapeutic targets. Int. J. Biol. Macromol. 2023, 249, 126021. [Google Scholar] [CrossRef] [PubMed]
- Zhang, X.; Yuan, J.; Li, F.; Xiang, J. Chitin Synthesis and Degradation in Crustaceans: A Genomic View and Application. Mar. Drugs 2021, 19, 153. [Google Scholar] [CrossRef] [PubMed]
- Rabadiya, D.; Behr, M. The biology of insect chitinases and their roles at chitinous cuticles. Insect Biochem. Mol. Biol. 2024, 165, 104071. [Google Scholar] [CrossRef] [PubMed]
- Kumar, A.; Zhang, K.Y.J. Human Chitinases: Structure, Function, and Inhibitor Discovery. Adv. Exp. Med. Biol. 2019, 1142, 221–251. [Google Scholar] [CrossRef] [PubMed]
- Zhang, J.; Bai, S.; Chu, J.; Ding, B.; Li, B.; Li, Y.; Guo, J.; Suo, F.; Ma, S.; Dong, J. Discovery of N-phenyl-isoindole-1,3-dione derivatives as potent insect chitinase of Chi-h inhibitors through virtual screening. J. Integ. Agric. 2025, in press. [Google Scholar] [CrossRef]
- Pang, Z.; Ding, Y.; Xie, H.; Jiang, X.; Liu, T. Virtual screening of a random tripeptide library for easily prepared inhibitors of insect chitinolytic enzyme. Cell Surf. 2025, 13, 100143. [Google Scholar] [CrossRef] [PubMed]
- Zhao, Z.; XuWei, Q.; Wang, C.; Yang, Q.; Dong, Y.; Zhang, J. Rational Design, Synthesis, and Biological Investigations of N-Methylcarbamoylguanidinyl Azamacrolides as a Novel Chitinase Inhibitor. J. Agric. Food Chem. 2022, 70, 4889–4898. [Google Scholar] [CrossRef] [PubMed]
- Faletrov, Y.V.; Pozniak, H.I.; Yakovets, P.S.; Frolova, N.S.; Shkumatov, V.M. New lipophilic conjugates of fluorescent NBD-piperazine: Synthesis, in silico interactions with lipid bilayer and cytochromes P450. Proc. Natl. Acad. Sci. Belarus. Chem. Ser. 2022, 58, 62–67. (In Russian) [Google Scholar] [CrossRef]
- Bardakova, K.N.; Faletrov, Y.V.; Epifanov, E.O.; Minaev, N.V.; Kaplin, V.S.; Piskun, Y.A.; Koteneva, P.I.; Shkumatov, V.M.; Aksenova, N.A.; Shpichka, A.I.; et al. A Hydrophobic Derivative of Ciprofloxacin as a New Photoinitiator of Two-Photon Polymerization: Synthesis and Usage for the Formation of Biocompatible Polylactide-Based 3D Scaffolds. Polymers 2021, 13, 3385. [Google Scholar] [CrossRef]
- Pozniak, H.; Stoliarchuk, A.; Faletrov, Y.; Shkumatov, V. In silico Modeling of the Interaction of NBD Steroids with Insect Steroid-Binding Protein SPC-2. Chem. Proc. 2022, 12, 86. [Google Scholar] [CrossRef]
- Liu, T.; Chen, L.; Zhou, Y.; Jiang, X.; Duan, Y.; Yang, Q. Structure, Catalysis, and Inhibition of OfChi-h, the Lepidoptera-exclusive Insect Chitinase. J. Biol. Chem. 2017, 292, 2080–2088. [Google Scholar] [CrossRef]
- Chen, W.; Qu, M.; Zhou, Y.; Yang, Q. Structural analysis of group II chitinase (ChtII) catalysis completes the puzzle of chitin hydrolysis in insects. J. Biol. Chem. 2018, 293, 2652–2660. [Google Scholar] [CrossRef] [PubMed]
- Wakita, S.; Kimura, M.; Kato, N.; Kashimura, A.; Kobayashi, S.; Kanayama, N.; Ohno, M.; Honda, S.; Sakaguchi, M.; Sugahara, Y.; et al. Improved fluorescent labeling of chitin oligomers: Chitinolytic properties of acidic mammalian chitinase under somatic tissue pH conditions. Carbohydr. Polym. 2017, 164, 145–153. [Google Scholar] [CrossRef] [PubMed]
- Ai, Y.; Zhang, Y.; Chen, W.; Zhou, X.; Dong, Y.; Yang, Q.; Zhang, J. Structure-oriented molecular extension strategies unlock C-glycoside insecticides targeting OfChtII and OfHex1. Pest. Biochem. Physiol. 2026, 216, 106737. [Google Scholar] [CrossRef]
- Mazur, M.; Zielińska, A.; Grzybowski, M.; Olczak, J. Chitinases and Chitinase-Like Proteins as Therapeutic Targets in Inflammatory Diseases, with a Special Focus on Inflammatory Bowel Diseases. Int. J. Mol. Sci. 2021, 22, 6966. [Google Scholar] [CrossRef]
- Kurç, Ö.; Rähse, N.; Gohlke, H. Human chitinases and chitinase-like proteins as emerging drug targets—A medicinal chemistry perspective. RSC Med. Chem. 2025, 16, 2388–2402. [Google Scholar] [CrossRef] [PubMed]
- Jumper, J.; Evans, R.; Pritzel, A.; Green, T.; Figurnov, M.; Ronneberger, O.; Tunyasuvunakool, K.; Bates, R.; Žídek, A.; Potapenko, A.; et al. Highly accurate protein structure prediction with AlphaFold. Nature 2021, 596, 583–589. [Google Scholar] [CrossRef] [PubMed]


| PDB Code | Ebind | Amino Acids Surrounding 1 |
|---|---|---|
| 7vrg | −10.2 | Ser357, Gly359, Lys362, Tyr411, Ala358, Phe309, Met381, Asp384, Glu308, Trp268, Trp389, Arg439, Trp532, Tyr437, Val469, Glu533, Phe385 |
| 6jav | −9.9 | Val1740, Asn1778, Trp1809, Trp1691, Asp1804, Pro1777, Tyr1803, Tyr1734, Gln1858, Phe1899, Trp1961, Tyr1856, Asp1731, Glu1733, Met1801 |
| 6jaw | −9.9 | Val1740, Asn1778, Trp1809, Trp1691, Asp1804, Tyr1734, Gln1858, Tyr1856, Phe1899, Trp1961, Tyr1803, Glu1733, Asp1731 |
| 6jay | −9.9 | Trp1809, Val1740, Trp1691, Asp1804, Tyr1734, Gln1858, Tyr1856, Phe1899, Trp1961, Tyr1803, Glu1733, Phe1648 |
| 6jmn | −9.9 | Ser357, Gly359, Lys362, Tyr411, Ala358, Phe309, Asp384, Met381, Trp268, Glu308, Trp389, Arg439, Trp532, Trp160, Phe184, Thr269, Phe385 |
| PDB Code | Ebind | Amino Acids Surrounding |
|---|---|---|
| 6jaw | −9.3 | Trp1621, Trp1961, Phe1899, Ala1896, Arg1625, Gln1858, Asp1804, Trp1691, Trp1809 |
| 5y2b | −9.1 | Phe1648, Asn1692, Asp1693, Gly1689, Gly1690, Trp1691, Trp1621, His1660, Trp1961, Asp1804, Gln1858, Tyr1856, Phe1899, Leu1965 |
| 6jay | −9.1 | Trp1621, Trp1961, Phe1899, Ala1896, Arg1625, Thr1894, Gln1858, Asp1804, Trp1691, Trp1809, Val1740 |
| 5y2c | −9 | Phe2094, Gly2136, Asp2139, Asp2140, Gly2137, Trp2138, Trp2067, His2107, Trp2398, Phe2336, Tyr2303, Gln2305, Leu2402 |
| 3wkz | −8.9 | Tyr217, Tyr272, Trp372, Asp218, Gln148, Trp107, Phe61, Met215, Asp146, Trp34, Phe309, Arg274, Ala306, Arg38, Thr304 |
| PDB Code | Ebind | Amino Acids Surrounding 1 |
|---|---|---|
| 5gpr | −9 | Trp268, Asp384, Arg439, Phe309, Tyr383, Ala358, Met381, Ser357, Gly359, Lys362, Phe385, Tyr411, Glu308, Trp532, Phe184, Tyr156, Asp306, Ala355 |
| 6jmn | −9 | Trp268, Asp384, Arg439, Phe309, Met381, Ala358, Tyr383, Ser357, Gly359, Lys362, Tyr411, Glu308, Trp532, Tyr437, Tyr156, Phe184, Asp306 |
| 7vrg | −9 | Met381, Tyr383, Asp384, Ala358, Phe309, Lys362, Ser357, Tyr411, Gly359, Glu308, Trp268, Arg439, Trp389 |
| 3nsn 2 | −9 | Glu328, Trp483, Trp490, Glu526, Val327, Val484, Asn489, Arg220, Trp524, Tyr475, Glu368, Trp448, Asp367, Trp424 |
| 3ozp 2 | −8.9 | Glu328, Trp483, Trp490, Glu526, Val327, Asn489, Asp477, Arg220, Trp524, Glu368, Asp367, Trp448, Tyr475, Trp424 |
| PDB Code | Ebind | Amino Acids Surrounding 1 |
|---|---|---|
| 6jmn | −8.6 | Lys362, Tyr411, Ser357, Gly359, Ala358, Phe309, Asp384, Trp268, Trp389, Arg439, Glu308, Phe184, Trp532, Tyr383, Tyr156, Met381, Asp306 |
| 6jm8 | −8.4 | Trp33, Arg37, Tyr303, Trp365, Glu368, Ser366, Tyr270, Glu300, Phe60, Trp105, Ser106, Tyr213, Asp214, Met211, Arg272, Trp219, Thr369 |
| 5gqb | −8.2 | Ser357, Ala358, Gly359, Tyr411, Phe385, Met381, Tyr383, Phe309, Asp384, Lys362, Trp389, Trp268, Arg439, Trp532, Phe184, Glu308, Asp306, Tyr156 |
| 7vrg | −8.1 | Ser357, Ala358, Gly359, Lys362, Tyr411, Met381, Tyr383, Phe309, Trp389, Trp268, Asp384, Arg439, Glu308, Phe184, Trp532 |
| 6jmb | −8 | Tyr147, Arg150, Ser186, Val188, Trp219, Asp214, Trp105, Arg272, Phe60, Trp365, Glu146, Met211, Tyr213, Tyr270, Ala187, Ala191, Met215 |
| PDB Code | Ebind | Amino Acids Surrounding 1 |
|---|---|---|
| 6jav | −8.7 | Glu1733, Met1801, Tyr1734, Tyr1803, Asp1804, Val1740, Pro1777, Asn1778, Trp1809, Trp1691, Asp1731, Trp1961, Phe1648, Trp1621, Phe1899 |
| 5y2b | −8.5 | Trp1809, Gln1858, Phe1899, Tyr1856, Asp1804, Trp1961, Leu1965, Trp1621, Trp1691, Tyr1803, Phe1648, Glu1733, Tyr1734, Val1740 |
| 7vrg | −8.5 | Trp268, Arg439, Trp532, Phe184, Glu308, Tyr383, Asp384, Met381, Phe309, Ala358, Trp389, Lys362 |
| 3wqv | −8.4 | Trp34, Phe61, Trp107, Trp372, Glu148, Tyr217, Tyr272, Asp218, Arg274, Phe309, Ala306, Arg38, Thr304, Ala108, Gly106, Glu109, Ile74, Asn33 |
| 5gpr | −8.4 | Asp384, Trp389, Phe309, Trp268, Glu308, Arg439, Trp532, Phe184, Tyr383, Tyr156, Asp306, Ala355, Met381, Lys362 |
Disclaimer/Publisher’s Note: The statements, opinions and data contained in all publications are solely those of the individual author(s) and contributor(s) and not of MDPI and/or the editor(s). MDPI and/or the editor(s) disclaim responsibility for any injury to people or property resulting from any ideas, methods, instructions or products referred to in the content. |
© 2025 by the authors. Licensee MDPI, Basel, Switzerland. This article is an open access article distributed under the terms and conditions of the Creative Commons Attribution (CC BY) license (https://creativecommons.org/licenses/by/4.0/).
Share and Cite
Faletrov, Y.; Yakovets, P.; Frolova, N.S. In Silico Evaluation of Synthetic Hydrophobic Fluorescent NBD- and DANSYL-Derivatives as Potential Inhibitors of Insect Chitinases. Chem. Proc. 2025, 18, 107. https://doi.org/10.3390/ecsoc-29-26895
Faletrov Y, Yakovets P, Frolova NS. In Silico Evaluation of Synthetic Hydrophobic Fluorescent NBD- and DANSYL-Derivatives as Potential Inhibitors of Insect Chitinases. Chemistry Proceedings. 2025; 18(1):107. https://doi.org/10.3390/ecsoc-29-26895
Chicago/Turabian StyleFaletrov, Yaroslav, Polina Yakovets, and Nina S. Frolova. 2025. "In Silico Evaluation of Synthetic Hydrophobic Fluorescent NBD- and DANSYL-Derivatives as Potential Inhibitors of Insect Chitinases" Chemistry Proceedings 18, no. 1: 107. https://doi.org/10.3390/ecsoc-29-26895
APA StyleFaletrov, Y., Yakovets, P., & Frolova, N. S. (2025). In Silico Evaluation of Synthetic Hydrophobic Fluorescent NBD- and DANSYL-Derivatives as Potential Inhibitors of Insect Chitinases. Chemistry Proceedings, 18(1), 107. https://doi.org/10.3390/ecsoc-29-26895

