Synthesis and Reactivity of 2-Acetylthiophenes Derivatives †
Abstract
:1. Introduction
2. Results and Discussion
- (1)
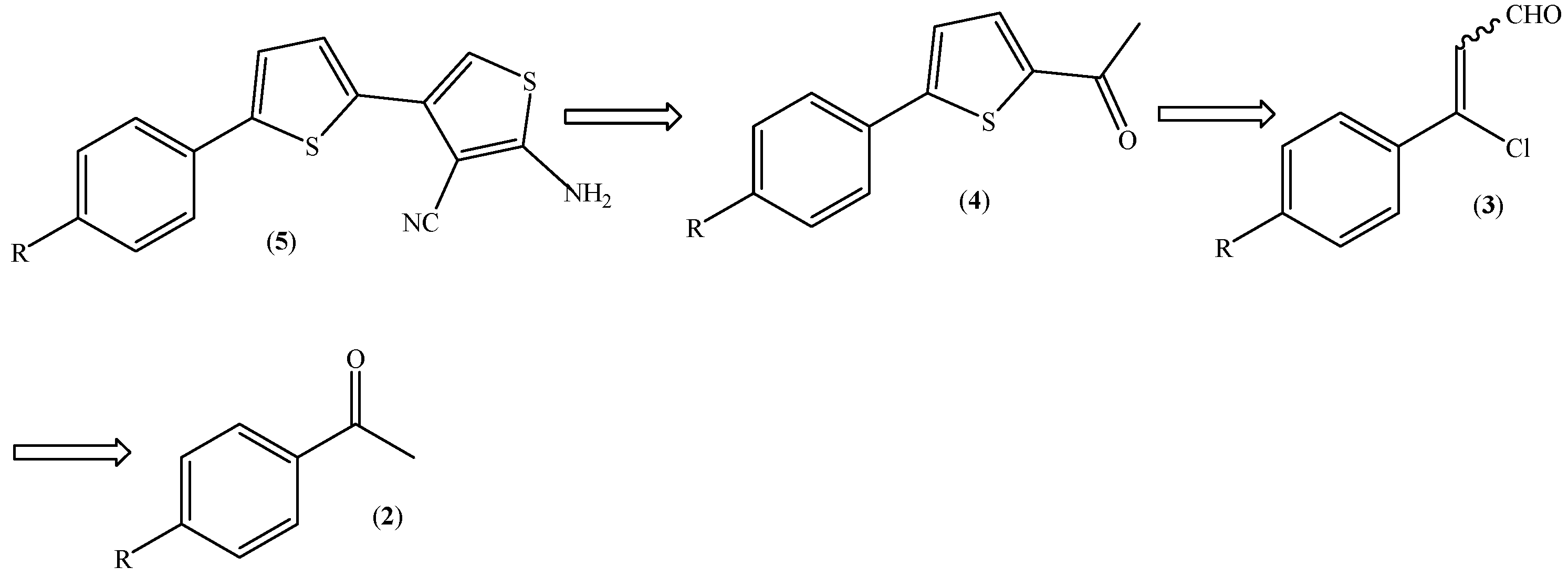
- Preparation of the corresponding alkene by a Knoevenagel condensation (II) followed by a Gewald reaction (5).
- (2)
- One-pot reaction using catalyst.
- (1)
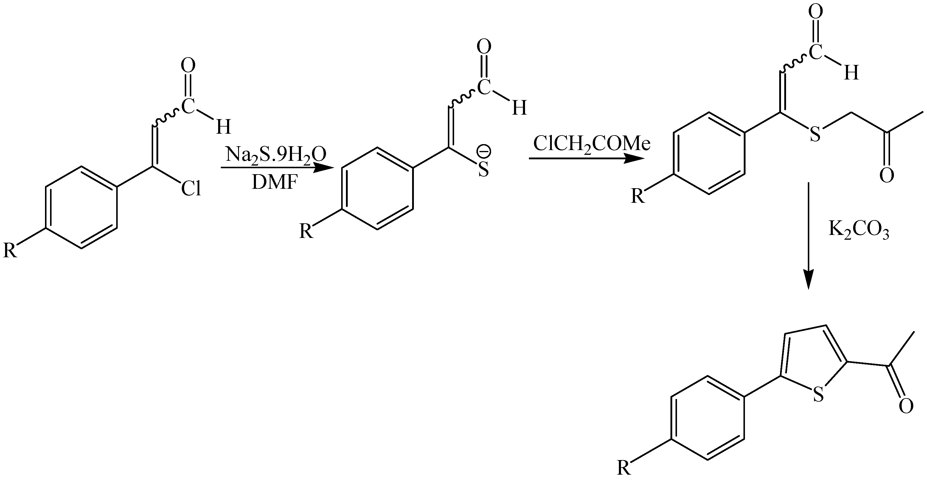
- Synthesis of β-aryl-β-chloroacroleïne:
- (2)
- Synthesis of 5-aryl-2-acetylthiophenes derivatives:
3. Conclusions
Author Contributions
Funding
Institutional Review Board Statement
Informed Consent Statement
Data Availability Statement
Conflicts of Interest
References
- Tümer, F.; Ekinci, D.; Zilbeyaz, K.; Demir, Ü. An efficient synthesis of substituted 4-Aryl-3-Cyano-2-Aminothiophenes by a step wise Gewald Reaction. Turk. J. Chem. 2004, 28, 395–404. [Google Scholar]
- Puterová, Z.; Krutošíková, A.; Vegh, D. Gewald reaction: Synthesis, properties and applications of substituted 2-aminothiophenes. Arkivoc 2010, 1, 209–246. [Google Scholar] [CrossRef]
- Wang, Z.; Kang, D.; Chen, M.; Wu, G.; Feng, D.; Zhao, T.; Zhou, Z.; Huo, Z.; Jing, L.; Zuo, X.; et al. Design, synthesis, and antiviral evaluation of novel hydrazone –substituted thiophene[3, 2-d]pyrimidine derivatives as potent human immunodeficiencyvirus-1 inhibitors. Chem. Biol. Drug Des. 2018, 92, 2009–2021. [Google Scholar] [CrossRef] [PubMed]
- Yazid, D.; Tewfik, A.D.; Nawel, M.; Brahmi, L.; Zahira, K.; Rachida, H.; Noureddine, C.B. Ecofriendly synthesis of formamidine derivatives catalyzed by Al-MCM-41 Mesoporous materials. Lett. Org. Chem. 2022, 19, 347–352. [Google Scholar] [CrossRef]
- Belhadj, F.; Kibou, Z.; Cheikh, N.; Choukchou-Braham, N.; Villemin, D. Convenient access to new 4-substitutedaminopyrido [2, 3-d]pyrimidine derivatives. Tetrahedron Lett. 2015, 56, 5999–6002. [Google Scholar] [CrossRef]
- Mehiaoui, N.; Kibou, Z.; Gallavardin, T.; Leleu, S.; Franck, X.; Mendes, R.F.; Paz, F.A.A.; Silva, A.M.; Choukchou-Braham, N. Novel bis-(3-cyano-2-pyridones) derivatives: Synthesis and fluorescent properties. Res. Chem. Intermed. 2021, 47, 1331–1348. [Google Scholar] [CrossRef]
- Nouali, F.; Kibou, Z.; Boukoussa, B.; Choukchou-Braham, N.; Bengueddach, A.; Villemin, D.; Hamacha, R. Efficient multicomponent synthesis of 2-aminopyridines catalysed by basic mesoporous materials. Res. Chem. Intermed. 2020, 46, 3179–3191. [Google Scholar] [CrossRef]
- Kibou, Z.; Villemin, D.; Lohier, J.F.; Cheikh, N.; Bar, N.; Choukchou-Braham, N. Easy solvent less synthesis of new mono and bis amino-5H-chromeno[3, 4-c]pyridin-5-one derivatives. Tetrahedron 2016, 72, 1653–1661. [Google Scholar] [CrossRef]
- Popov, A.V.; Kobelevskaya, V.A.; Larina, L.I.; Rozentsveig, I.B. Synthesis of poly-functionalized pyrazoles under Vilsmeier-Haack reaction conditions. Org. Chem. 2019, 6, 1–14. [Google Scholar] [CrossRef]
- Jass, P.A.; Rosso, V.W.; Racha, S.; Soundararajan, N.; Venit, J.J.; Rusowicz, A.; Swaminathan, S.; Livshitz, J.; Delaney, E.J. Use of N-trifluoroacetyl-protected amino acid chlorides in peptide coupling reactions with virtually complete preservation of stereochemistry. Tetrahedron 2003, 59, 9019–9029. [Google Scholar] [CrossRef]
- Meesala, R.; Nagarajan, R. Synthesis of new diheteroaryl carbazoles: A facile and simple route of 3, 6-di(pyrazol-4-yl)carbazoles. Tetrahedron Lett. 2006, 47, 7557–7561. [Google Scholar] [CrossRef]
- Marson, C.M. Synthesis Using Vilsmeier Reagents; CRC Press: Boca Raton, FL, USA, 2018. [Google Scholar]
- Liu, C.; Hu, J.; Xu, H.; Lu, Z.; Yu, X.; Lin, Z. Synthesis, Characterization, and Crystal Structure of a Phenanthro indolizine Skeleton from 18-Acetamino-7-Oxo-Dehydroabietane by Vilsmeier-Haack Reaction. Chem. Nat. Compd. 2015, 51, 306–310. [Google Scholar] [CrossRef]







Disclaimer/Publisher’s Note: The statements, opinions and data contained in all publications are solely those of the individual author(s) and contributor(s) and not of MDPI and/or the editor(s). MDPI and/or the editor(s) disclaim responsibility for any injury to people or property resulting from any ideas, methods, instructions or products referred to in the content. |
© 2023 by the authors. Licensee MDPI, Basel, Switzerland. This article is an open access article distributed under the terms and conditions of the Creative Commons Attribution (CC BY) license (https://creativecommons.org/licenses/by/4.0/).
Share and Cite
Missoum, H.; Datoussaid, Y.; Choukchou-braham, N.; Seijas, J.A.; Vázquez-Tato, M.P. Synthesis and Reactivity of 2-Acetylthiophenes Derivatives. Chem. Proc. 2023, 14, 112. https://doi.org/10.3390/ecsoc-27-16132
Missoum H, Datoussaid Y, Choukchou-braham N, Seijas JA, Vázquez-Tato MP. Synthesis and Reactivity of 2-Acetylthiophenes Derivatives. Chemistry Proceedings. 2023; 14(1):112. https://doi.org/10.3390/ecsoc-27-16132
Chicago/Turabian StyleMissoum, Hadjer, Yazid Datoussaid, Noureddine Choukchou-braham, Julio A. Seijas, and Maria Pilar Vázquez-Tato. 2023. "Synthesis and Reactivity of 2-Acetylthiophenes Derivatives" Chemistry Proceedings 14, no. 1: 112. https://doi.org/10.3390/ecsoc-27-16132
APA StyleMissoum, H., Datoussaid, Y., Choukchou-braham, N., Seijas, J. A., & Vázquez-Tato, M. P. (2023). Synthesis and Reactivity of 2-Acetylthiophenes Derivatives. Chemistry Proceedings, 14(1), 112. https://doi.org/10.3390/ecsoc-27-16132

