Glycemic Variability Before and After Hypoglycemia Across Different Timeframes in Type 1 Diabetes with and Without Automated Insulin Delivery
Abstract
1. Introduction
2. Materials and Methods
2.1. Study Population
2.2. Data Preparation and Categorization
2.3. Glucose Analysis Metrics and Statistical Tests
2.4. Experimental Workflow for Population-Level Analysis of Glycemic Variability Related to Hypoglycemia
2.5. Experimental Workflow for Individual-Level Analysis of Glycemic Variability Related to Hypoglycemia
- Stage 1—Data Initialization: Glucose data is cleaned by removing null values, readings outside 39–400 mg/dL, and including data without any gaps greater than 20 min in CGM data. Hypoglycemia is categorized into three ranges (41–50, 51–60, and 61–70 mg/dL). Time intervals around hypoglycemic events (±3 h to ±48 h) were established for analysis. Exercise types and durations for each individual in the dataset were also extracted to filter and analyze any differences between exercise-related and non-exercise-related hypoglycemic episodes.
- Stage 2—Statistical Analysis: For each hypoglycemic episode, data was extracted across defined time intervals. Glucose variability metrics were calculated, and episodes were classified by duration (short: <20 min, medium: 20–40 min, long: >40 min).
- Stage 3—Visualization: Glucose variability metrics are plotted over time relative to hypoglycemic episodes, and statistical analyses are performed on pre- and post-hypoglycemia intervals for all individuals.
3. Results
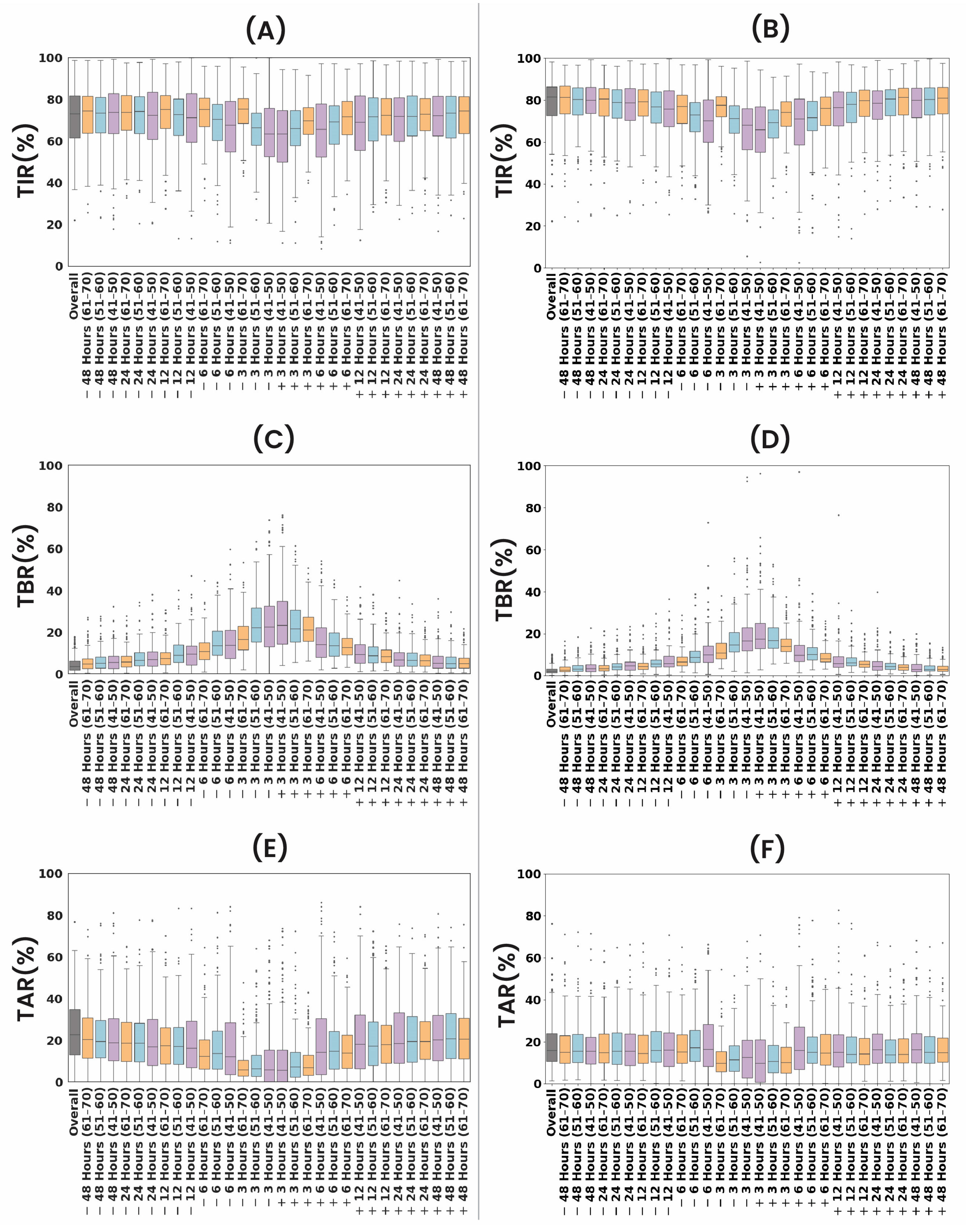
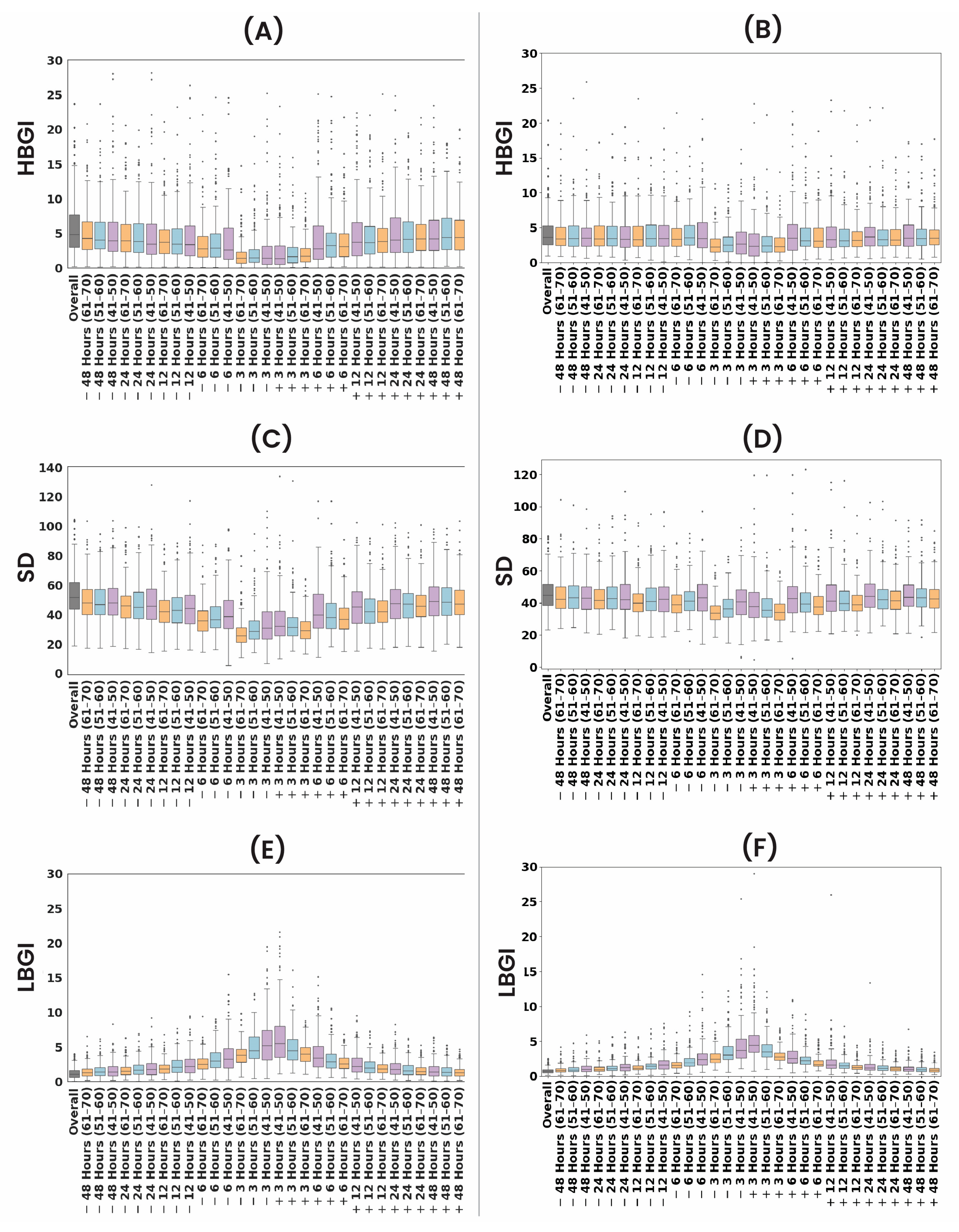
3.1. Population-Level Analysis of Glycemic Variability Related to Hypoglycemia
3.2. Individual-Level Analysis of Glycemic Variability Related to Hypoglycemia
4. Discussion
Limitations
5. Conclusions
Author Contributions
Funding
Institutional Review Board Statement
Informed Consent Statement
Data Availability Statement
Conflicts of Interest
Appendix A





| Variable Name | AID | Non-AID | Total |
|---|---|---|---|
| N | 222 | 275 | 497 |
| Median Age in years (IQR) | 34 (25–49) | 32 (25–44) | 33 (25–46) |
| Sex, n (%) | |||
| Female | 163 (73.4) | 200 (72.7) | 363 (73.0) |
| Male | 59 (26.6) | 75 (27.3) | 134 (27.0) |
| Race, n (%) | |||
| American Indian/Alaskan Native | 2 (0.9) | 0 (0.0) | 2 (0.4) |
| Asian | 3 (1.4) | 7 (2.5) | 10 (2.0) |
| Black/African American | 3 (1.4) | 7 (2.5) | 10 (2.0) |
| Multiple | 2 (0.9) | 6 (2.2) | 8 (1.6) |
| Not reported | 4 (1.8) | 7 (2.5) | 11 (2.2) |
| Unknown | 1 (0.5) | 1 (0.4) | 2 (0.4) |
| White | 207 (93.2) | 247 (89.8) | 454 (91.3) |
| Ethnicity, n (%) | |||
| Do not wish to answer | 6 (2.7) | 7 (2.5) | 13 (2.6) |
| Don’t know | 2 (0.9) | 0 (0.0) | 2 (0.4) |
| Hispanic or Latino | 5 (2.3) | 9 (3.3) | 14 (2.8) |
| Not Hispanic or Latino | 209 (94.1) | 259 (94.2) | 468 (94.2) |
| Country, n (%) | |||
| USA | 222 (100.0) | 275 (100.0) | 497 (100.0) |
| Device name, n (%) | |||
| Insulet Omnipod Dash | – | 1 (0.4) | 1 (0.2) |
| Insulet Omnipod Insulin Management System | – | 105 (38.2) | 105 (21.1) |
| Medtronic 551 (530 G) | – | 2 (0.7) | 2 (0.4) |
| Medtronic 630 G | – | 9 (3.3) | 9 (1.8) |
| Medtronic 640 G | – | 1 (0.4) | 1 (0.2) |
| Medtronic 670 G | – | 3 (1.1) | 3 (0.6) |
| Medtronic 670 G in Auto Mode | 32 (14.4) | – | 32 (6.4) |
| Medtronic 670 G in Manual Mode | – | 21 (7.6) | 21 (4.2) |
| Medtronic 751 (530 G) | – | 2 (0.7) | 2 (0.4) |
| Medtronic 770 G | – | 2 (0.7) | 2 (0.4) |
| Medtronic 770 G in Auto Mode | 3 (1.4) | – | 3 (0.6) |
| Medtronic Paradigm 522 | – | 1 (0.4) | 1 (0.2) |
| Medtronic Paradigm 523 (Revel) | – | 1 (0.4) | 1 (0.2) |
| Medtronic Paradigm 723 (Revel) | – | 4 (1.5) | 4 (0.8) |
| Multiple Daily Injections | – | 88 (32.0) | 88 (17.7) |
| Tandem t:slim | – | 5 (1.8) | 5 (1.0) |
| Tandem t:slim X2 | – | 7 (2.5) | 7 (1.4) |
| Tandem t:slim X2 with Basal IQ | – | 23 (8.4) | 23 (4.6) |
| Tandem t:slim X2 with Control IQ | 187 (84.2) | – | 187 (37.6) |
| Exercise type, n (%) | |||
| Aerobic | 73 (32.9) | 89 (32.4) | 162 (32.6) |
| Interval | 72 (32.4) | 93 (33.8) | 165 (33.2) |
| Resistance | 77 (34.7) | 93 (33.8) | 170 (34.2) |
| Time Interval | Z-Test (TIR) | KS-Test (TIR) | Z-Test (TBR) | KS-Test (TBR) | Z-Test (TAR) | KS-Test (TAR) |
|---|---|---|---|---|---|---|
| Overall | <0.001 | <0.001 | <0.001 | <0.001 | <0.001 | <0.001 |
| −48 h (61–70) | <0.001 | <0.001 | <0.001 | <0.001 | 0.001 | <0.001 |
| −48 h (51–60) | <0.001 | <0.001 | <0.001 | <0.001 | 0.003 | 0.009 |
| −48 h (41–50) | <0.001 | <0.001 | <0.001 | <0.001 | 0.003 | 0.002 |
| −24 h (61–70) | <0.001 | <0.001 | <0.001 | <0.001 | 0.026 | 0.014 |
| −24 h (51–60) | <0.001 | <0.001 | <0.001 | <0.001 | 0.081 | 0.165 |
| −24 h (41–50) | <0.001 | <0.001 | <0.001 | <0.001 | 0.05 | 0.082 |
| −12 h (61–70) | <0.001 | <0.001 | <0.001 | <0.001 | 0.288 | 0.09 |
| −12 h (51–60) | 0.002 | 0.007 | <0.001 | <0.001 | 0.72 | 0.139 |
| −12 h (41–50) | 0.002 | 0.006 | <0.001 | <0.001 | 0.248 | 0.139 |
| −6 h (61–70) | 0.227 | 0.233 | <0.001 | <0.001 | 0.008 | 0.007 |
| −6 h (51–60) | 0.027 | 0.033 | <0.001 | <0.001 | 0.119 | 0.003 |
| −6 h (41–50) | 0.17 | 0.271 | <0.001 | <0.001 | 0.366 | 0.027 |
| −3 h (61–70) | 0.022 | 0.1 | <0.001 | <0.001 | <0.001 | <0.001 |
| −3 h (51–60) | <0.001 | <0.001 | <0.001 | <0.001 | 0.002 | <0.001 |
| −3 h (41–50) | 0.171 | 0.035 | <0.001 | <0.001 | 0.028 | <0.001 |
| +3 h (61–70) | 0.025 | 0.151 | <0.001 | <0.001 | 0.314 | 0.007 |
| +3 h (51–60) | 0.031 | 0.072 | <0.001 | <0.001 | 0.02 | 0.001 |
| +3 h (41–50) | <0.001 | 0.002 | <0.001 | <0.001 | <0.001 | 0.001 |
| +6 h (61–70) | 0.004 | 0.046 | <0.001 | <0.001 | 0.685 | 0.217 |
| +6 h (51–60) | 0.003 | <0.001 | <0.001 | <0.001 | 0.893 | 0.048 |
| +6 h (41–50) | <0.001 | <0.001 | <0.001 | <0.001 | 0.793 | 0.102 |
| +12 h (61–70) | <0.001 | <0.001 | <0.001 | <0.001 | 0.016 | 0.005 |
| +12 h (51–60) | <0.001 | <0.001 | <0.001 | <0.001 | 0.016 | 0.037 |
| +12 h (41–50) | <0.001 | <0.001 | <0.001 | <0.001 | 0.007 | 0.009 |
| +24 h (61–70) | <0.001 | <0.001 | <0.001 | <0.001 | 0.007 | 0.003 |
| +24 h (51–60) | <0.001 | <0.001 | <0.001 | <0.001 | <0.001 | <0.001 |
| +24 h (41–50) | <0.001 | <0.001 | <0.001 | <0.001 | <0.001 | <0.001 |
| +48 h (61–70) | <0.001 | <0.001 | <0.001 | <0.001 | 0.001 | 0.006 |
| +48 h (51–60) | <0.001 | <0.001 | <0.001 | <0.001 | <0.001 | <0.001 |
| +48 h (41–50) | <0.001 | <0.001 | <0.001 | <0.001 | <0.001 | <0.001 |
| Time Interval | Z-Test (HBGI) | KS-Test (HBGI) | Z-Test (LBGI) | KS-Test (LBGI) | Z-Test (SD) | KS-Test (SD) |
|---|---|---|---|---|---|---|
| Overall | <0.001 | <0.001 | <0.001 | <0.001 | <0.001 | <0.001 |
| −48 h (61–70) | 0.009 | 0.001 | <0.001 | <0.001 | <0.001 | <0.001 |
| −48 h (51–60) | 0.017 | 0.02 | <0.001 | <0.001 | 0.001 | 0.006 |
| −48 h (41–50) | 0.007 | 0.01 | <0.001 | <0.001 | <0.001 | <0.001 |
| −24 h (61–70) | 0.064 | 0.061 | <0.001 | <0.001 | 0.012 | 0.004 |
| −24 h (51–60) | 0.127 | 0.429 | <0.001 | <0.001 | 0.043 | 0.098 |
| −24 h (41–50) | 0.042 | 0.096 | <0.001 | <0.001 | 0.025 | 0.012 |
| −12 h (61–70) | 0.47 | 0.204 | <0.001 | <0.001 | 0.187 | 0.096 |
| −12 h (51–60) | 0.613 | 0.153 | <0.001 | <0.001 | 0.451 | 0.336 |
| −12 h (41–50) | 0.206 | 0.074 | <0.001 | <0.001 | 0.278 | 0.324 |
| −6 h (61–70) | 0.043 | <0.001 | <0.001 | <0.001 | <0.001 | <0.001 |
| −6 h (51–60) | 0.32 | <0.001 | <0.001 | <0.001 | 0.008 | <0.001 |
| −6 h (41–50) | 0.557 | 0.003 | <0.001 | <0.001 | 0.051 | 0.012 |
| −3 h (61–70) | <0.001 | <0.001 | <0.001 | <0.001 | <0.001 | <0.001 |
| −3 h (51–60) | 0.013 | <0.001 | <0.001 | <0.001 | <0.001 | <0.001 |
| −3 h (41–50) | 0.092 | <0.001 | <0.001 | <0.001 | <0.001 | <0.001 |
| +3 h (61–70) | 0.444 | <0.001 | 0.001 | <0.001 | 0.03 | <0.001 |
| +3 h (51–60) | 0.083 | <0.001 | <0.001 | <0.001 | 0.001 | <0.001 |
| +3 h (41–50) | 0.003 | <0.001 | <0.001 | <0.001 | <0.001 | <0.001 |
| +6 h (61–70) | 0.904 | 0.092 | <0.001 | <0.001 | 0.538 | 0.327 |
| +6 h (51–60) | 0.907 | 0.058 | <0.001 | <0.001 | 0.264 | 0.01 |
| +6 h (41–50) | 0.994 | 0.059 | <0.001 | <0.001 | 0.421 | 0.038 |
| +12 h (61–70) | 0.075 | 0.021 | <0.001 | <0.001 | 0.111 | 0.01 |
| +12 h (51–60) | 0.042 | 0.042 | <0.001 | <0.001 | 0.187 | 0.032 |
| +12 h (41–50) | 0.017 | 0.016 | <0.001 | <0.001 | 0.037 | 0.003 |
| +24 h (61–70) | 0.018 | 0.011 | <0.001 | <0.001 | 0.084 | 0.023 |
| +24 h (51–60) | 0.003 | <0.001 | <0.001 | <0.001 | 0.009 | <0.001 |
| +24 h (41–50) | 0.001 | <0.001 | <0.001 | <0.001 | 0.001 | <0.001 |
| +48 h (61–70) | 0.002 | 0.017 | <0.001 | <0.001 | 0.002 | 0.001 |
| +48 h (51–60) | <0.001 | <0.001 | <0.001 | <0.001 | <0.001 | <0.001 |
| +48 h (41–50) | <0.001 | <0.001 | <0.001 | <0.001 | <0.001 | <0.001 |
| Metric | AID Data (SW W) | AID Data (SW p-Value) | AID Data (Skewness) | Non-AID Data (SW W) | Non-AID Data (SW p-Value) | Non-AID Data (Skewness) |
|---|---|---|---|---|---|---|
| TIR | 0.90 | <0.001 | −1.32 | 0.97 | <0.001 | −0.64 |
| TAR | 0.89 | <0.001 | 1.39 | 0.95 | <0.001 | 0.72 |
| TBR | 0.85 | <0.001 | 1.67 | 0.86 | <0.001 | 1.48 |
| Mean | 0.90 | <0.001 | 1.30 | 0.96 | <0.001 | 0.85 |
| SD | 0.97 | <0.001 | 0.66 | 0.97 | <0.001 | 0.70 |
| 25% | 0.90 | <0.001 | 1.46 | 0.93 | <0.001 | 1.22 |
| 50% | 0.88 | <0.001 | 1.45 | 0.94 | <0.001 | 1.05 |
| 75% | 0.90 | <0.001 | 1.30 | 0.94 | <0.001 | 1.07 |
| Test | Statistic | p-Value | |
|---|---|---|---|
| Z-test | −4.80 | <0.001 | |
| TIR | KS-test | 0.27 | <0.001 |
| MWU-test | 22,648.00 | <0.001 | |
| Z-test | 3.49 | <0.001 | |
| TAR | KS-test | 0.22 | <0.001 |
| MWU-test | 35,917.00 | <0.001 | |
| Z-test | 6.30 | <0.001 | |
| TBR | KS-test | 0.26 | <0.001 |
| MWU-test | 38,361.00 | <0.001 | |
| Z-test | 1.57 | 0.117 | |
| Mean | KS-test | 0.16 | 0.004 |
| MWU-test | 32,978.00 | 0.123 | |
| Z-test | 4.84 | <0.001 | |
| SD | KS-test | 0.23 | <0.001 |
| MWU-test | 37,953.00 | <0.001 | |
| Z-test | −2.18 | 0.030 | |
| 25% | KS-test | 0.24 | <0.001 |
| MWU-test | 25,787.50 | 0.003 | |
| Z-test | 1.94 | 0.053 | |
| 50% | KS-test | 0.17 | 0.002 |
| MWU-test | 33,261.00 | 0.086 | |
| Z-test | 3.21 | 0.001 | |
| 75% | KS-test | 0.21 | <0.001 |
| MWU-test | 35,489.00 | 0.002 |
References
- Nakhleh, A.; Shehadeh, N. Hypoglycemia in diabetes: An update on pathophysiology, treatment, and prevention. World J. Diabetes 2021, 12, 2036–2049. [Google Scholar] [CrossRef] [PubMed]
- Fitzpatrick, R.; Davison, G.; Wilson, J.J.; McMahon, G.; McClean, C. Exercise, type 1 diabetes mellitus and blood glucose: The implications of exercise timing. Front. Endocrinol. 2022, 13, 1021800. [Google Scholar] [CrossRef] [PubMed]
- Riddell, M.C.; Li, Z.; Gal, R.L.; Haller, M.J.; Kaiserman, K.; Agarwal, S.; Pooni, R.; Clinton, P.; Calhoun, P.; Rickels, M.R.; et al. Examining the Acute Glycemic Effects of Different Types of Structured Exercise Sessions in Type 1 Diabetes in a Real-World Setting: The Type 1 Diabetes and Exercise Initiative (T1DEXI). Diabetes Care 2023, 46, 704–713. [Google Scholar] [CrossRef] [PubMed]
- Turner, L.V.; Marak, M.C.; Gal, R.L.; Haller, M.J.; Kaiserman, K.; Agarwal, S.; Pooni, R.; Calhoun, P.; Rickels, M.R.; Riddell, M.C.; et al. Associations between daily step count classifications and continuous glucose monitoring metrics in adults with type 1 diabetes: Analysis of the Type 1 Diabetes Exercise Initiative (T1DEXI) cohort. Diabetologia 2024, 67, 1009–1022. [Google Scholar] [CrossRef] [PubMed]
- Jo Kamimoto, J.L.; Li, Z.; Gal, R.L.; Castle, J.R.; Doyle, F.J., III; Jacobs, P.G.; Martin, C.K.; Beck, R.; Calhoun, P.; Riddell, M.; et al. 573-P: Impact of Impaired Awareness of Hypoglycemia on Glucose Changes During and After Exercise in Type 1 Diabetes—Results from the T1DEXI Study Cohort. Diabetes 2023, 72, 573-P. [Google Scholar] [CrossRef]
- Bergford, S.; Riddell, M.C.; Jacobs, P.G.; Mosquera-Lopez, C.; Clinton, P.; Calhoun, P.; Rickels, M.R.; Doyle, F.J., III; Haller, M.J.; Kaiserman, K.; et al. The Type 1 Diabetes and EXercise Initiative: Predicting Hypoglycemia Risk During Exercise for Participants with Type 1 Diabetes Using Repeated Measures Random Forest. Diabetes Technol. Ther. 2023, 25, 602–611. [Google Scholar] [CrossRef] [PubMed]
- Gillingham, M.B.; Marak, M.C.; Riddell, M.C.; Haller, M.J.; Kaiserman, K.; Agarwal, S.; Pooni, R.; Calhoun, P.; Rickels, M.R.; Clinton, P.; et al. The Association Between Diet Quality and Glycemic Outcomes Among People with Type 1 Diabetes. Curr. Dev. Nutr. 2024, 8, 102146. [Google Scholar] [CrossRef] [PubMed]
- Fushimi, E.; Aiello, E.M.; Cho, S.; Riddell, M.C.; Gal, R.L.; Martin, C.K.; Patton, S.R.; Rickels, M.R.; Doyle, F.J., III. Online Classification of Unstructured Free-Living Exercise Sessions in People with Type 1 Diabetes. Diabetes Technol. Ther. 2024, 26, 709–719. [Google Scholar] [CrossRef] [PubMed]
- Morrison, D.; Vogrin, S.; Zaharieva, D.P. Assessment of Glycemia Risk Index and Standard Continuous Glucose Monitoring Metrics in a Real-World Setting of Exercise in Adults With Type 1 Diabetes: A Post-Hoc Analysis of the Type 1 Diabetes and Exercise Initiative. J. Diabetes Sci. Technol. 2024, 18, 787–794. [Google Scholar] [CrossRef] [PubMed]
- Li, P.; Lyu, T.; Alkhuzam, K.; Spector, E.; Donahoo, W.T.; Bost, S.; Wu, Y.; Hogan, W.R.; Prosperi, M.; Schatz, D.A.; et al. The role of health system penetration rate in estimating the prevalence of type 1 diabetes in children and adolescents using electronic health records. J. Am. Med. Inform. Assoc. 2023, 31, 165–173. [Google Scholar] [CrossRef] [PubMed]
- Li, Z.; Calhoun, P.; Rickels, M.R.; Gal, R.L.; Beck, R.W.; Jacobs, P.G.; Clements, M.A.; Patton, S.R.; Castle, J.R.; Martin, C.K.; et al. Factors Affecting Reproducibility of Change in Glucose During Exercise: Results From the Type 1 Diabetes and EXercise Initiative. J. Diabetes Sci. Technol. 2025, 19, 958–970. [Google Scholar] [CrossRef] [PubMed]
- Li, Z.; Yardley, J.E.; Zaharieva, D.P.; Riddell, M.C.; Gal, R.L.; Calhoun, P. Changing Glucose Levels During the Menstrual Cycle as Observed in Adults in the Type 1 Diabetes Exercise Initiative Study. Can. J. Diabetes 2024, 48, 446–451. [Google Scholar] [CrossRef] [PubMed]
- Mosquera-Lopez, C.; Ramsey, K.L.; Roquemen-Echeverri, V.; Jacobs, P.G. Modeling risk of hypoglycemia during and following physical activity in people with type 1 diabetes using explainable mixed-effects machine learning. Comput. Biol. Med. 2023, 155, 106670. [Google Scholar] [CrossRef] [PubMed]
- Shahid, A.; Lewis, D.M. Impact of Hypoglycemia on Glucose Variability over Time for Individuals with Open-Source Automated Insulin Delivery Systems. Diabetology 2024, 5, 514–536. [Google Scholar] [CrossRef]
- Scripts for Glycemic Variability and Hypoglycemia. 23 February 2024. Available online: https://github.com/danamlewis/OpenHumansDataTools/tree/master/bin/GV-Hypoglycemia (accessed on 29 April 2025).
- Elsayed, N.A.; Aleppo, G.; Aroda, V.R.; Bannuru, R.R.; Brown, F.M.; Bruemmer, D.; Collins, B.S.; Hilliard, M.E.; Isaacs, D.; Johnson, E.L.; et al. 6. Glycemic Targets: Standards of Care in Diabetes—2023. Diabetes Care 2023, 46, S97–S110. [Google Scholar] [CrossRef] [PubMed]
- Rodbard, D. Metrics to Evaluate Quality of Glycemic Control: Comparison of Time in Target, Hypoglycemic, and Hyperglycemic Ranges with “Risk Indices”. Diabetes Technol. Ther. 2018, 20, 325–334. [Google Scholar] [CrossRef] [PubMed]
- Battelino, T.; Danne, T.; Bergenstal, R.M.; Amiel, S.A.; Beck, R.W.; Biester, T.; Bosi, E.; Buckingham, B.A.; Cefalu, W.T.; Close, K.L.; et al. Clinical Targets for Continuous Glucose Monitoring Data Interpretation: Recommendations From the International Consensus on Time in Range. Diabetes Care 2019, 42, 1593–1603. [Google Scholar] [CrossRef] [PubMed]
- Shahid, A.; Lewis, D.M. Large-Scale Data Analysis for Glucose Variability Outcomes with Open-Source Automated Insulin Delivery Systems. Nutrients 2022, 14, 1906. [Google Scholar] [CrossRef] [PubMed]
- De Paoli, M.; Zakharia, A.; Werstuck, G.H. The Role of Estrogen in Insulin Resistance. Am. J. Pathol. 2021, 191, 1490–1498. [Google Scholar] [CrossRef] [PubMed]




| Sex | Group | Mean (mg/dL) | SD (mg/dL) | TIR (%) | TAR (%) | TBR (%) |
|---|---|---|---|---|---|---|
| F | AID | 146.03 | 45.93 | 77.25 | 20.68 | 2.07 |
| F | non-AID | 153.32 | 54.48 | 68.85 | 27.60 | 3.55 |
| M | AID | 140.46 | 45.04 | 79.92 | 17.32 | 2.75 |
| M | non-AID | 136.30 | 46.20 | 77.46 | 17.89 | 4.65 |
Disclaimer/Publisher’s Note: The statements, opinions and data contained in all publications are solely those of the individual author(s) and contributor(s) and not of MDPI and/or the editor(s). MDPI and/or the editor(s) disclaim responsibility for any injury to people or property resulting from any ideas, methods, instructions or products referred to in the content. |
© 2025 by the authors. Licensee MDPI, Basel, Switzerland. This article is an open access article distributed under the terms and conditions of the Creative Commons Attribution (CC BY) license (https://creativecommons.org/licenses/by/4.0/).
Share and Cite
Zafar, A.; Solanke, A.A.; Lewis, D.M.; Shahid, A. Glycemic Variability Before and After Hypoglycemia Across Different Timeframes in Type 1 Diabetes with and Without Automated Insulin Delivery. Diabetology 2025, 6, 156. https://doi.org/10.3390/diabetology6120156
Zafar A, Solanke AA, Lewis DM, Shahid A. Glycemic Variability Before and After Hypoglycemia Across Different Timeframes in Type 1 Diabetes with and Without Automated Insulin Delivery. Diabetology. 2025; 6(12):156. https://doi.org/10.3390/diabetology6120156
Chicago/Turabian StyleZafar, Ahtsham, Abiodun A. Solanke, Dana M. Lewis, and Arsalan Shahid. 2025. "Glycemic Variability Before and After Hypoglycemia Across Different Timeframes in Type 1 Diabetes with and Without Automated Insulin Delivery" Diabetology 6, no. 12: 156. https://doi.org/10.3390/diabetology6120156
APA StyleZafar, A., Solanke, A. A., Lewis, D. M., & Shahid, A. (2025). Glycemic Variability Before and After Hypoglycemia Across Different Timeframes in Type 1 Diabetes with and Without Automated Insulin Delivery. Diabetology, 6(12), 156. https://doi.org/10.3390/diabetology6120156

