Structural Aspects of Neutron Survival Probabilities
Abstract
1. Introduction
- The neutron number states (with attached probabilities of realization) are discrete. In this case, the number of neutrons potentially present in a system assumes the integer values 0, 1, 2, and so forth.
- The evolutionary process is Markovian in nature. A Markov process is defined as being without memory in the sense that all information about the present population is independent of the state at earlier times.
- Transfer between states is characterized in terms of rates that, when multiplied against an arbitrarily small collision interval (such that only a single state transition may occur), yield single-event probabilities within that same span.
- The variation in time, space, angle, and energy is considered continuous (though this assumption is not necessary in general).
2. Point Kinetics
- (1)
- No event occurs,
- (2)
- A removal (i.e., capture or leakage) event occurs,
- (3)
- A fission event featuring the emission of j secondary neutrons occurs.
2.1. Extinction and Survival
2.2. External Neutron Sources
3. Dimensional Analysis
3.1. Boundary Layer Theory
- Equation (38) is considerably simplified under the assumption J = 2, which is referred to throughout the existing literature as the “quadratic approximation” [42,43,53,54,56,59,62]. The quadratic approximation involves the truncation of the factorial moment summation given in Equation (14), and not the fission multiplicity distribution defined following Equation (1). The limitations and consequences of this approximation are considered at length by authors including Hill and Ramsey and Hutchens [43,60]; in short, the quadratic approximation is typically viewed as being more viable for uranium-based systems (e.g., β2 = 0.89, β3 = 0.43, β4 = 0.12, … for U-235 at 1 MeV [60]) than their plutonium-based counterparts (e.g., β2 = 1.13, β3 = 0.69, β4 = 0.24, … for Pu-239 at 1 MeV [60]). Under this assumption, Equation (38) indeed attains only quadratic nonlinearity and is hence both a homogeneous Riccati equation and an index-2 Bernoulli equation [63,64,65]. For arbitrary ρ(τ), this equation features a solution in terms of quadratures; by far the most analysis is thus devoted to the closed-form special case where ρ = const [43,53,54,56,58,59,62,66,67,68].
- For J ≥ 3, Equations (38) and (39) feature implicit solutions for certain parameterizations of ρ(τ) (the constant parameterization again being noteworthy). The Abel equation [64] resulting from the J = 3 “cubic approximation” is among the most hopeful of this sort, but, except for some mention by Lewins and collaborators [59,66] and Ramsey and collaborators [60,68], it is not widely explored.
- (1)
- An “outer region” in some sense removed from the boundary layer wherein a classical perturbation solution of Equation (38) may be attempted,
- (2)
- An “inner region” interior to the boundary layer wherein Equation (42) holds, and solution of a distinct limiting form of Equations (38) and (39) may be attempted,
- (3)
- With the outer and inner solutions so devised, asymptotic matching is typically used to resolve any remaining constants of integration, resulting in the construction of an approximate global solution.
- Equation (48) features the trivial solution p∞ = 0 for any constant value of ρ.
- When constant ρ < 0, Equation (48) features only negative or imaginary non-trivial solutions, which are discarded in favor of the trivial solution. Physically, there is zero probability that the progeny of a single neutron introduced into a static subcritical system can survive indefinitely or approach an infinite number.
- When constant ρ > 0, Equation (48) features a single non-trivial and physically relevant solution 0 < p∞ < 1. Physically, there is a finite probability that the progeny of a single neutron introduced into a static supercritical system can survive indefinitely, approaching an infinite number.
- J = 4 and 5 solutions can be obtained in closed form, but are algebraically cumbersome,
- Solutions for J ≥ 6 are associated with high-order polynomial equations, the analysis of which remains a longstanding problem of interest within the pure mathematics community. In this case, Ramsey and Hutchens have devised approximate solutions using A-hypergeometric series [71]; additional investigations using group theory techniques or more recent advances featuring hyper-Catalan numbers [72] remain a matter for future study.
3.2. Correction Factors
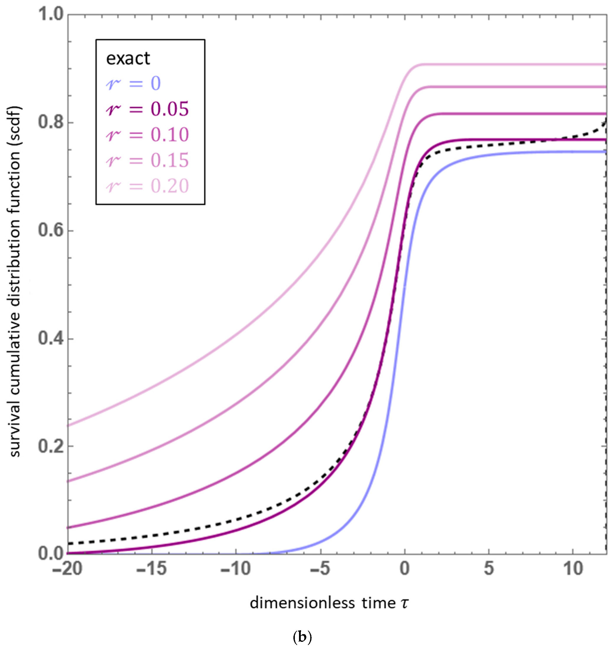
4. Example
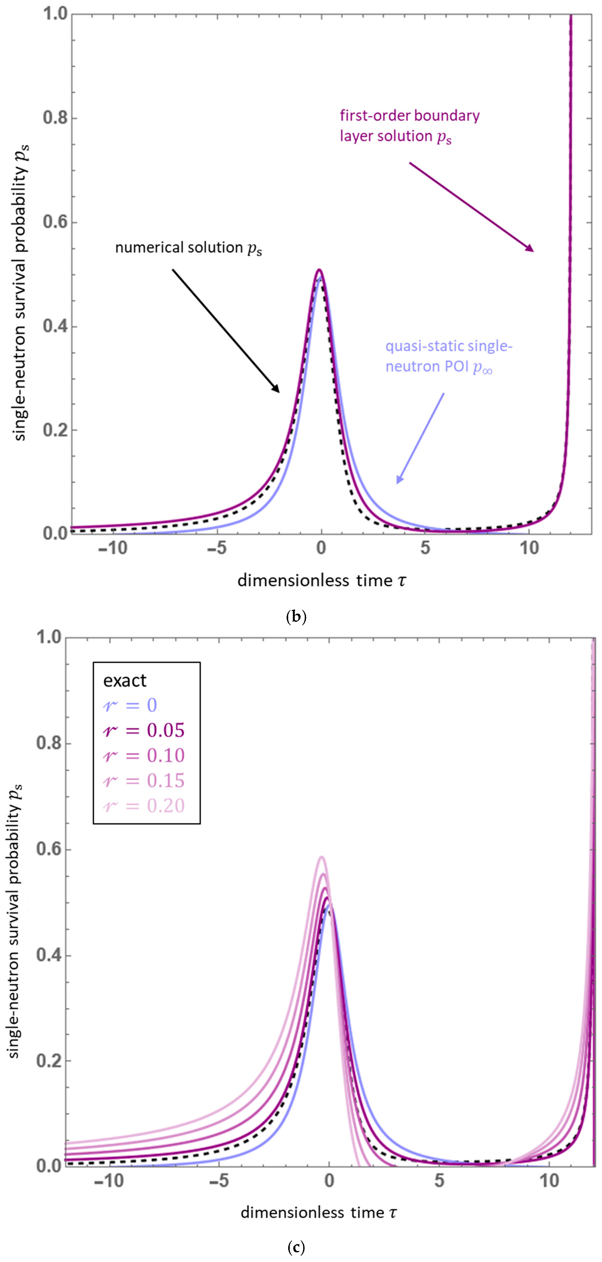
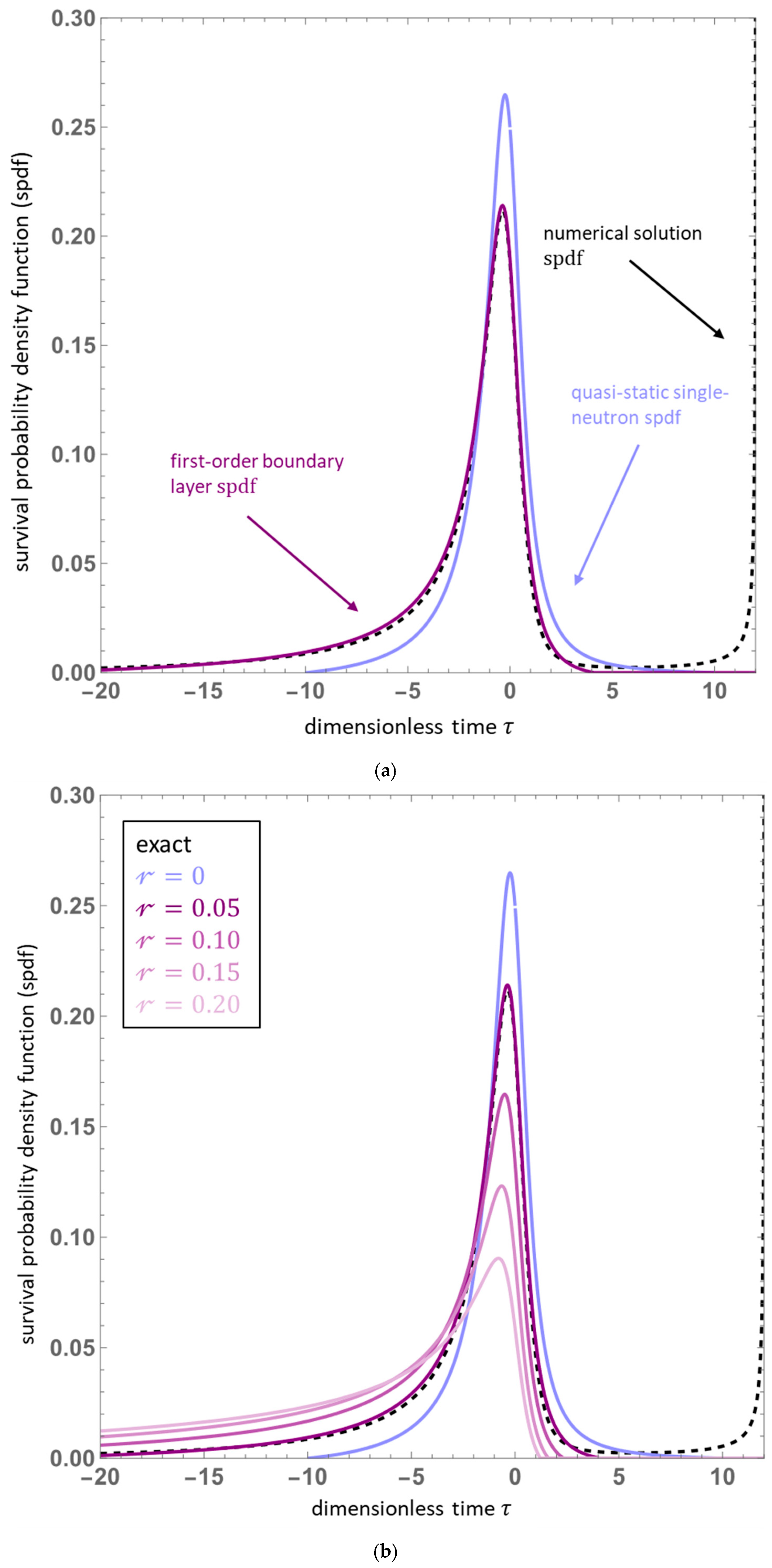
- The quasi-static single-neutron POI exactly mirrors the shape of the time-dependent reactivity depicted in Figure 3 and thus encodes static snapshot (i.e., indefinite fission chain persistence) behavior.
- In the proximity of the quasi-static curve (i.e., within the outer solution), higher-order or finite neutron generation time effects induce both early-time and late-time probability “tails”. This phenomenon is also observed by both Ramsey and Hutchens and Hill [12,43] and is associated with a neutron “waiting” or “dwell” time that is itself a manifestation of the finite window between successive neutron generation events. In a sense, the finite neutron generation time (i.e., l0) enables neutrons to “anticipate” the onset of both higher and lower reactivity states, with a commensurate effect on fission chain persistence indexed at those times.
- Consequently, given that the quasi-static single-neutron POI does not account for this finite neutron generation time effect, it underestimates the survival probability associated with the early-time tail and overestimates the survival probability associated with the late-time tail.
- The self-consistency statement of the final condition given in Equation (39) is encoded within the inner solution. Any earlier-time effects associated with this condition manifest exclusively within the inner solution and diminish outside of the indicated boundary layer.
- Both the quasi-static initiation probability density function and quasi-static source-neutron POI are zero for τ < τc, the critical time as defined in Equation (76). For the same reasons as delineated for the quasi-static single-neutron POI, within this approximation there is zero probability that the progeny of source neutrons introduced into a static subcritical system can survive indefinitely or approach an infinite number.
- In the proximity of the quasi-static curve (i.e., within the outer solution) higher-order effects again drag the probability fields leftward, most notably resulting in a non-zero probability tail during late-time subcriticality. This tail extends from τ−(1) ≤ τ ≤ τc, and its magnitude within this range is proportional to c(out) [and hence, via Equation (89), both and S0]. During this interval, the (zero) quasi-static initiation probability density function and quasi-static source-neutron POI underestimate the probabilities owing to the finite dwell time between neutron generation events.
5. Summary
- Dimensional analysis: Broadly speaking, dimensional analysis of a differential equation structure or broader mathematical model results in the identification of both dimensionless variables and dimensionless numbers that are somehow key to the formulation, solution, and interpretation of the underlying physics. In the case of Equations (38) and (39), the relevant dimensionless numbers and τf are given by Equations (34) and (35), respectively.
- Boundary layer theory: The likely magnitude of the time-scale ratio appearing in Equation (38) suggests a perturbative approach to its approximate solution, which, given the placement of therein, must be of the singular variety. The boundary layer approach pursued in Section 3.1 is one such manifestation of a singular perturbation theory, which employs as an expansion parameter within an outer solution region. In this construction, the boundary layer—wherein the associated final condition must be satisfied—is a comparatively narrow region joined to the outer solution and satisfies a distinct limiting form of the single-neutron survival probability equation.
Recommendations for Future Study
- The outer solution given by Equation (43) features no differential equation solutions and hence potentially manifests some pathologies. For example, the solution of Equation (79) to infinite-order in ε [i.e., Equation (80)] is singular when . This behavior is essentially the cost of the infinite-order accuracy in ε as encoded in Equation (80); in addition to being patently inconsistent with the finite-order accuracy associated with the additional power expansion in , this behavior is undesirable on the grounds of physical realism and suggests the possibility of an alternate solution strategy that is uniformly valid over [−τc, τc].
- The contrived properties of the solutions of Equations (48) and (49), and any higher-order members notwithstanding, the outer solution as formulated cannot feature arbitrary integration constants. Therefore, there is no opportunity for asymptotic matching to the inner solution given by Equation (54).
Funding
Data Availability Statement
Acknowledgments
Conflicts of Interest
Abbreviations
| Symbols and Definitions | ||
|---|---|---|
| Symbol | Definition | Units |
| space-angle-energy-time independent phase space variables | (length, dimensionless, energy, time) | |
| tf | final time | time |
| R | terminal phase space region | dimensionless |
| pn | dimensionless | |
| v(E) | neutron speed | length/time |
| Σi | macroscopic total (t), capture (c), differential scattering (s), and fission (f) cross sections | 1/length |
| δn,0 | Kronecker delta function (associated with the probability that the system is in state n = 0 at time t) | dimensionless |
| qj | fission multiplicity distribution or probability of j (0, 1, 2, …, J) neutrons emitted in a fission event (and where J is the maximum) | dimensionless |
| χ | fission neutron energy distribution | dimensionless |
| unit normal associated with the outer spatial boundary of R | dimensionless | |
| ps | results in the presence of a non-zero (but otherwise unspecified) neutron population at some later time tf > t in phase space element R | dimensionless |
| mean number of neutrons released in an induced fission event | dimensionless | |
| χj | order-j fission factorial moment, or the mean number of neutron doublets, triplets, and j-tuplets released in an induced fission event | dimensionless |
| λi(t) | total (t; removal plus fission), removal (r; capture plus leakage), and fission (f) reaction rates. These reaction rates may be regarded as functions of time as indicated | 1/time |
| probability generating function | dimensionless | |
| z | transform variable in the range 0 ≤ z ≤ 1 | dimensionless |
| complement of G | dimensionless | |
| reactivity | dimensionless | |
| neutron generation time | time | |
| coefficients of quadratic and higher-order terms in single-neutron survival probability equation | dimensionless | |
| external neutron source rate | 1/time | |
| probability that no fission chains surviving to tf are sponsored by s at or before t | dimensionless | |
| survival probability density function | 1/time | |
| survival cumulative distribution function | dimensionless | |
| neutron generation time dimensional scale | time | |
| t0 | “macro-physics” time scale representing the forcing, drive, or evolution of the entire system | time |
| time-dependence of neutron generation time | dimensionless | |
| dimensionless time variable t/t0 | dimensionless | |
| ratio of micro-to-macro physics time scales l0/t0 | dimensionless | |
| dimensionless final time tf/t0 | dimensionless | |
| effective number of fission neutrons evolved up to dimensionless time τ | dimensionless | |
| effective number of fission neutrons evolved up to dimensionless final time τf | dimensionless | |
| outer part of boundary layer solution for ps | dimensionless | |
| dimensionless | ||
| infinite population probability, single-neutron divergent chain probability, or single-neutron probability of initiation (POI) | dimensionless | |
| inner part of boundary layer solution for ps | dimensionless | |
| thickness of boundary layer | dimensionless | |
| dimensionless source function t0s | dimensionless | |
| dimensionless | ||
| dimensionless | ||
| dimensionless | ||
| maximum reactivity appearing in reactivity excursion model | dimensionless | |
| parameter appearing in reactivity excursion model << 1) | dimensionless | |
| critical time appearing in reactivity excursion model | dimensionless | |
| using reactivity excursion model | dimensionless | |
| constant dimensionless source function | dimensionless | |
References
- Frankel, S. The Statistics of the Hypocritical Gadget; LAMS-36; Los Alamos National Laboratory: Los Alamos, NM, USA, 1944. [Google Scholar]
- Feynman, R. Statistical Behavior of Neutron Chains; LA-591 (DEL); Los Alamos National Laboratory: Los Alamos, NM, USA, 1946. [Google Scholar]
- Hansen, G.E. Assembly of Fissionable Material in the Presence of a Weak Neutron Source. Nucl. Sci. Eng. 1960, 8, 709–719. [Google Scholar] [CrossRef]
- Hurwitz, H., Jr.; MacMillan, D.B.; Smith, J.H.; Storm, M.L. Kinetics of Low Source Reactor Startups. Part I. Nucl. Sci. Eng. 1963, 15, 166–186. [Google Scholar] [CrossRef]
- Hurwitz, H., Jr.; MacMillan, D.B.; Smith, J.H.; Storm, M.L. Kinetics of Low Source Reactor Startups. Part II. Nucl. Sci. Eng. 1963, 15, 187–196. [Google Scholar] [CrossRef]
- MacMillan, D.B.; Storm, M.L. Kinetics of Low Source Reactor Startups—Part III. Nucl. Sci. Eng. 1963, 16, 369–380. [Google Scholar] [CrossRef]
- Stacey, W.M. Stochastic Kinetic Theory for a Space- and Energy-Dependent Zero Power Nuclear Reactor Model. Nucl. Sci. Eng. 1969, 36, 389–401. [Google Scholar] [CrossRef]
- Stacey, W., Jr. Space-Time Nuclear Reactor Kinetics; Academic Press: Cambridge, MA, USA, 1969. [Google Scholar]
- Ash, M. Nuclear Reactor Kinetics; McGraw-Hill Inc.: Columbus, OH, USA, 1979. [Google Scholar]
- Mechitoua, B. Tokaimura Criticality Accident: Point Model Stochastic Neutronic Interpretation. Trans. Am. Nucl. Soc. 2001, 84, 289. [Google Scholar]
- Ramsey, S.D.; Hutchens, G.J. Deterministic and Stochastic Evaluation of Criticality Excursion Power Bursts. Nucl. Sci. Eng. 2011, 168, 265–277. [Google Scholar] [CrossRef]
- Ramsey, S.D.; Hutchens, G.J. Approximate Solution and Application of the Survival Probability Diffusion Equation. Nucl. Sci. Eng. 2011, 170, 1–15. [Google Scholar] [CrossRef]
- Liu, X.; Fan, X.; Peng, X.; Du, J.; Gao, H. A Novel Experimental Method for Validating Neutron Initiation Probability. Nucl. Sci. Eng. 2015, 179, 119–129. [Google Scholar] [CrossRef]
- Williams, M.M.R. Burst Wait-Times in the Caliban Reactor Using the Gamma Probability Distribution Function. Nucl. Sci. Eng. 2017, 183, 116–125. [Google Scholar] [CrossRef]
- Williams, M.M.R.; Eaton, M.D. A Theory of Low Source Start-Up Based on the Pal-Bell Equations. Ann. Nucl. Energy 2017, 102, 317–348. [Google Scholar] [CrossRef]
- Williams, M.M.R.; Eaton, M.D. Spatial Effects in Low Neutron Source Start-Up and Associated Stochastic Phenomena. Ann. Nucl. Energy 2018, 111, 616–634. [Google Scholar] [CrossRef]
- Gordon, T.L.; Cooling, C.M.; Williams, M.M.R.; Eaton, M.D. Numerical Comparison of Mathematical and Computational Models for the Simulation of Stochastic Neutron Kinetics Problems. Ann. Nucl. Energy 2021, 157, 108161. [Google Scholar] [CrossRef]
- Pál, L. On the Theory of Stochastic Processes in Nuclear Reactors. Il Nuovo Cimento 1958, 7, 25–42. [Google Scholar] [CrossRef]
- Bell, G.I. On the Stochastic Theory of Neutron Transport. Nucl. Sci. Eng. 1965, 21, 390–401. [Google Scholar] [CrossRef]
- Bell, G. Stochastic Formulations of Neutron Transport. Transp. Theory 1969, 1, 465. [Google Scholar]
- Williams, M. A Stochastic Theory of Particle Transport. Proc. R. Soc. Lond. A 1977, 385, 105–120. [Google Scholar] [CrossRef]
- Lewins, J. Linear Stochastic Neutron Transport Theory. Proc. R. Soc. Lond. A 1978, 362, 537–558. [Google Scholar] [CrossRef]
- Lewins, J.; Pacilio, N. Stochastic Equations of Particle Transport Scattering Theory. Il Nuovo Cimento A 1979, 50, 258–264. [Google Scholar] [CrossRef]
- Muñoz-Cobo, J.; Verdú, G. Neutron Stochastic Transport Theory with Delayed Neutrons. Ann. Nucl. Energy 1987, 14, 327–350. [Google Scholar] [CrossRef]
- Saxby, J.E.M.; Williams, M.M.R.; Eaton, M.D. The Energy Dependent Pal-Bell Equation and the Influence of the Neutron Energy on the Survival Probability in a Supercritical Medium. Ann. Nucl. Energy 2016, 92, 413–418. [Google Scholar] [CrossRef]
- Saxby, J.E.M.; Prinja, A.K.; Eaton, M.D. Energy Dependent Transport Model of the Neutron Number Probability Distribution in a Subcritical Multiplying Assembly. Nucl. Sci. Eng. 2017, 189, 1–25. [Google Scholar] [CrossRef]
- Pazsit, I.; Pal, L. Neutron Fluctuations: A Treatise on the Physics of Branching Processes; Elsevier: Amsterdam, The Netherlands, 2008. [Google Scholar]
- Horton, E.; Kyprianou, A. Stochastic Neutron Transport: And Non-Local Branching Markov Processes; Springer Nature: Berlin/Heidelberg, Germany, 2023. [Google Scholar]
- Dubi, C.; Prinja, A.K. A Diffusion Scale Approximation for Stochastic Fission Chains with State Feedback. Nucl. Sci. Eng. 2025, 199, S649–S663. [Google Scholar] [CrossRef]
- Williams, M.M.R. The Relationship between the Backward and Forward Equations of Stochastic Neutron Transport and Associated Matters. Ann. Nucl. Energy 2023, 186, 109746. [Google Scholar] [CrossRef]
- Hankins, D.E. Effect of Reactivity Addition Rate and of Weak Neutron Source on the Fission Yield of Uranium Solutions. Nucl. Sci. Eng. 1966, 26, 110–116. [Google Scholar] [CrossRef]
- Gregson, M. Time Dependent Non-Extinction Probability for Fast Burst Reactors. Ph.D. Dissertation, University of New Mexico, Albuquerque, NM, USA, 2009. [Google Scholar]
- Bell, G.I.; Lee, C.E. On the Probability of Initiating a Persistent Fission Chain; LA-2608 (DEL); Los Alamos National Laboratory: Los Alamos, NM, USA, 1976. [Google Scholar]
- Baker, R. Deterministic Methods for Time-Dependent Stochastic Neutron Transport; LA-UR-09-01057; Los Alamos National Laboratory: Los Alamos, NM, USA, 2009. [Google Scholar]
- Nolen, S. The Chain-Length Distribution in Subcritical Systems; LA-13721-T; Los Alamos National Laboratory: Los Alamos, NM, USA, 2000. [Google Scholar]
- Humbert, P. Stochastic Neutronics with PANDA Deterministic Code. In Proceedings of the Nuclear Mathematics and Computational Sciences: A Century in Review: A Century Anew, Gatlinburg, TN, USA, 6–11 April 2003. [Google Scholar]
- Greenman, G.; Procassini, R.; Clouse, C. A Monte Carlo Method for Calculating Initiation Probability. In Proceedings of the Joint International Topical Meeting on Mathematics, Computation, and Supercomputing in Nuclear Applications, Monterrey, CA, USA, 15–19 April 2007. [Google Scholar]
- Booth, T.E. Comments on Monte Carlo Probability of Initiation Estimates for Neutron Fission Chains. Nucl. Sci. Eng. 2010, 166, 175–178. [Google Scholar] [CrossRef]
- Trahan, T. Capabilities and Validation Needs of the Monte Carlo Application ToolKit (MCATK); LA-UR-16-22020; Los Alamos National Laboratory: Los Alamos, NM, USA, 2016. [Google Scholar]
- Xu, Q.; Xiao, G.; Wang, X. Monte Carlo Direct Simulation Method for Initiation Probability Problems. Trans. Am. Nucl. Soc. 2016, 115, 583–586. [Google Scholar]
- O’Rourke, P.F.; Prinja, A.K. Solution of the Neutron Survival Probability Equation using k-Eigenmode Expansion. Ann. Nucl. Energy 2019, 134, 178–192. [Google Scholar] [CrossRef]
- Bell, G.I. Probability Distribution of Neutrons and Precursors in a Multiplying Assembly. Ann. Phys. 1963, 21, 243. [Google Scholar] [CrossRef]
- Hill, J. Advances in the Theory of Persistent Neutron Chains. Ph.D. Dissertation, University of Illinois at Urbana-Champaign, Champaign, IL, USA, 1998. [Google Scholar]
- Williams, M. The Survival Probability of Neutrons in Supercritical Convex Bodies Using a Time-Dependent Collision Probability Method. Ann. Nucl. Energy 2008, 35, 2288–2295. [Google Scholar] [CrossRef]
- Saxby, J.E.M.; Prinja, A.K.; Eaton, M.D. Diffusion Theory Model of the Neutron Number Probability Distribution in a Subcritical Multiplying Assembly. Ann. Nucl. Energy 2017, 109, 507–528. [Google Scholar] [CrossRef]
- Gregson, M.; Prinja, A. Time Dependent Non-Extinction Probability for Prompt Critical Systems. In Proceedings of the International Conference on Mathematics, Computational Methods, and Reactor Physics, Saratoga Springs, NY, USA, 3–7 May 2009. [Google Scholar]
- Salmi, U.; Lewins, J. A Multigroup Energy Formalism for Reactor Stochastic Equations in the Space-Independent Low Power Model. Ann. Nucl. Energy 1980, 7, 99–105. [Google Scholar] [CrossRef]
- Salmi, U. A Multi Group Multiparticle Formalism for Multiplying Systems Kolmogorov Equations in the Space-Independent Low-Power Model. Ann. Nucl. Energy 1982, 9, 21–29. [Google Scholar] [CrossRef]
- Salmi, U.; Lewins, J. Kolmogorov Equations of Multiplying Systems with Fuel Depletion. Ann. Nucl. Energy 1990, 17, 285–292. [Google Scholar] [CrossRef]
- Stochastic, W.M.A. Four Energy Group Model of a Nuclear Assembly. Ph.D. Dissertation, University of Illinois at Urbana-Champaign, Champaign, IL, USA, 1995. [Google Scholar]
- Ott, K.; Neuhold, R. Introductory Nuclear Reactor Dynamics; American Nuclear Society, Inc.: Westmont, IL, USA, 1985. [Google Scholar]
- Sachdev, P.; Janna, W. Self-Similarity and Beyond: Exact Solutions of Nonlinear Problems. Appl. Mech. Rev. 2001, 54, B108–B109. [Google Scholar] [CrossRef][Green Version]
- Prinja, A. Notes on the Lumped Backward Master Equation for the Neutron Extinction/Survival Probability; LA-UR-12-22638; Los Alamos National Laboratory: Los Alamos, NM, USA, 2012. [Google Scholar]
- O’Rourke, P.; Ramsey, S.; Schmidt, J. Stochastic Neutronics Primer Volume I; LA-UR-22-21352; Los Alamos National Laboratory: Los Alamos, NM, USA, 2022. [Google Scholar]
- Hetrick, D. Dynamics of Nuclear Reactors; American Nuclear Society, Inc.: Westmont, IL, USA, 1993. [Google Scholar]
- Prinja, A.; Souto, F. Some Considerations on Stochastic Neutron Populations; LA-UR-10-00264; Los Alamos National Laboratory: Los Alamos, NM, USA, 2010. [Google Scholar]
- Hogg, R.; Tanis, E. Probability and Statistical Inference; Pearson Education, Inc.: London, UK, 2007. [Google Scholar]
- Lewins, J. Variational Method in Neutron Stochastics. Ann. Nucl. Energy 1977, 5, 141–147. [Google Scholar] [CrossRef]
- Parks, G.; Lewins, J. An Exact Transient Stochastic Solution for Low-Power Neutron Multiplication. Ann. Nucl. Energy 1985, 12, 65–80. [Google Scholar] [CrossRef]
- Ramsey, S.D.; Axford, R.A.; Hutchens, G.J. A Semianalytical Analysis of Transient Supercritical Assembly Extinction Probabilities. Nucl. Sci. Eng. 2010, 166, 73–81. [Google Scholar] [CrossRef]
- Snyderman, N.; Chandrasekaran, H. Solution of the Feynman Equation for Time Evolving Fission Chains; LLNL-TR-789326; Lawrence Livermore National Laboratory: Los Alamos, NM, USA, 2019. [Google Scholar]
- Williams, M. An Exact Solution of the Extinction Problem in Supercritical Multiplying Systems. Ann. Nucl. Energy 1979, 6, 463–472. [Google Scholar] [CrossRef]
- Ince, E. Ordinary Differential Equations; Dover Publications, Inc.: Garden, City, NY, USA, 1956. [Google Scholar]
- Polyanin, A.; Zaitsev, V. Handbook of Exact Solutions for Ordinary Differential Equations; Chapman & Hall/CRC: Boca Raton, FL, USA, 2003. [Google Scholar]
- Bender, C.; Orszag, S. Advanced Mathematical Methods for Scientists and Engineers; Springer: Berlin/Heidelberg, Germany, 1991. [Google Scholar]
- Lewins, J. Stochastic Distribution of Prompt Neutrons in a Super-Critical Reactor. Ann. Nucl. Energy 1981, 8, 15–28. [Google Scholar] [CrossRef]
- Ramsey, S. The Extinction Probabilities of Nuclear Assemblies: A Sensitivity Study. Ph.D. Dissertation, University of Illinois at Urbana-Champaign, Champaign, IL, USA, 2009. [Google Scholar]
- Ramsey, S.D.; Axford, R.A. A Sensitivity Analysis of Nuclear Assembly Extinction Probabilities: Application to Reevaluated Fission Multiplicity Data. Nucl. Sci. Eng. 2010, 166, 48–57. [Google Scholar] [CrossRef]
- Aigner, M. Combinatorial Theory; Springer: Berlin/Heidelberg, Germany, 1979. [Google Scholar]
- O’Rourke, P.F.; Prinja, A.K.; Ramsey, S.D. On the Root Structure of the Coupled Assembly Probability of Initiation Equations. Nucl. Sci. Eng. 2025, 199, S180–S200. [Google Scholar] [CrossRef]
- Ramsey, S.D.; Hutchens, G.J. High-Fidelity Approximations for Extinction Probability Calculations. Nucl. Sci. Eng. 2013, 173, 197–205. [Google Scholar] [CrossRef]
- Wildberger, N.J.; Rubine, D. A Hyper-Catalan Series Solution to Polynomial Equations, and the Geode. Am. Math. Mon. 2025, 132, 383–402. [Google Scholar] [CrossRef]
- Wolfram Research. NDSolve, Wolfram Language Function. Updated 2019. Available online: https://reference.wolfram.com/language/ref/NDSolve.html (accessed on 23 October 2025).
- Barenblatt, G. Scaling, Self-Similarity, and Intermediate Asymptotics; Cambridge University Press: Cambridge, UK, 1996. [Google Scholar]
- Barenblatt, G. Scaling; Cambridge University Press: Cambridge, UK, 2003. [Google Scholar]
- Ovsiannikov, L. Group Analysis of Differential Equations; Academic Press: Cambridge, MA, USA, 1982. [Google Scholar]
- Olver, P. Applications of Lie Groups to Differential Equations; Springer: Berlin/Heidelberg, Germany, 1986. [Google Scholar]
- Cantwell, B. Introduction to Symmetry Analysis; Cambridge University Press: Cambridge, UK, 2002. [Google Scholar]
- O’Rourke, P.F.; Ramsey, S.D.; Temple, B.A. Symmetry Groups of the Forward Master Equation for Stochastic Neutron Populations. Nucl. Sci. Eng. 2022, 196, 943. [Google Scholar] [CrossRef]
- Pezanosky, C.; Ramsey, S.; Canfield, J.; Margolin, L. Approximate and Renormalization Group Symmetries for Perturbative Systems; LA-UR-24-29569; Los Alamos National Laboratory: Los Alamos, NM, USA, 2025. [Google Scholar]
- Ramsey, S.D.; Baty, R.S. Symmetry Structure of a Riccati Equation Appearing in Penetration Mechanics. Int. J. Non-Linear Mech. 2025, 178, 105161. [Google Scholar] [CrossRef]
- Jia, C.; Shi, G.; Feng, Z.; Guo, X.; Wang, K.; Huang, S.; Liang, J. Single Neutron Tracking Method for Calculating the Probability of Survival Based on the RMC Code. Ann. Nucl. Energy 2022, 165, 108763. [Google Scholar] [CrossRef]
- O’Malley, R., Jr. Singular Perturbation Methods for Ordinary Differential Equations; Springer: Berlin/Heidelberg, Germany, 1991. [Google Scholar]
- Johnson, R. Singular Perturbation Theory; Springer: Berlin/Heidelberg, Germany, 2005. [Google Scholar]
- Prinja, A.; Souto, F. Probability Distributions for Neutron Multiplying Systems Without Delayed Neutrons; LA-UR-09-07886; Los Alamos National Laboratory: Los Alamos, NM, USA, 2009. [Google Scholar]








Disclaimer/Publisher’s Note: The statements, opinions and data contained in all publications are solely those of the individual author(s) and contributor(s) and not of MDPI and/or the editor(s). MDPI and/or the editor(s) disclaim responsibility for any injury to people or property resulting from any ideas, methods, instructions or products referred to in the content. |
© 2026 by the author. Licensee MDPI, Basel, Switzerland. This article is an open access article distributed under the terms and conditions of the Creative Commons Attribution (CC BY) license.
Share and Cite
Ramsey, S.D. Structural Aspects of Neutron Survival Probabilities. J. Nucl. Eng. 2026, 7, 14. https://doi.org/10.3390/jne7010014
Ramsey SD. Structural Aspects of Neutron Survival Probabilities. Journal of Nuclear Engineering. 2026; 7(1):14. https://doi.org/10.3390/jne7010014
Chicago/Turabian StyleRamsey, Scott D. 2026. "Structural Aspects of Neutron Survival Probabilities" Journal of Nuclear Engineering 7, no. 1: 14. https://doi.org/10.3390/jne7010014
APA StyleRamsey, S. D. (2026). Structural Aspects of Neutron Survival Probabilities. Journal of Nuclear Engineering, 7(1), 14. https://doi.org/10.3390/jne7010014

