Wheat Hydrocolloids and Their Importance for Brewing
Abstract
1. Introduction
2. Hydrocolloids in Wheat
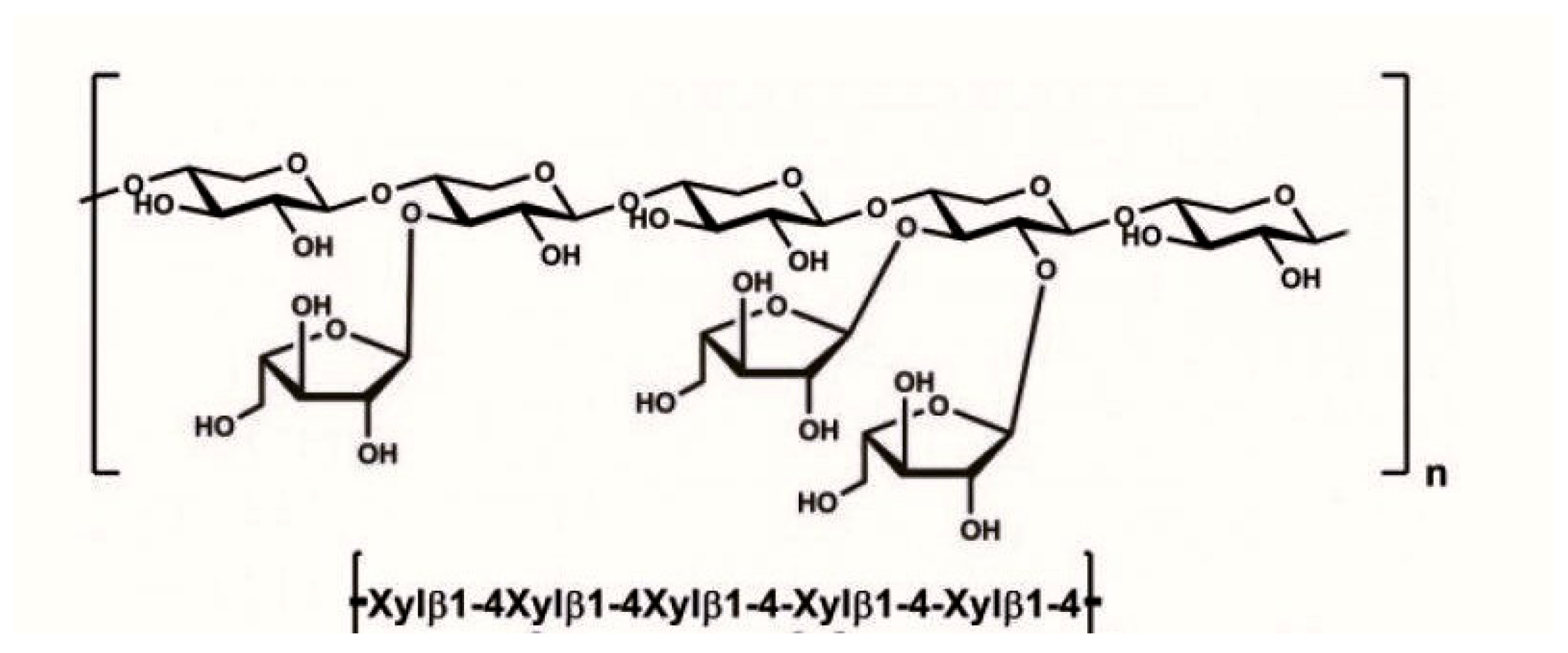
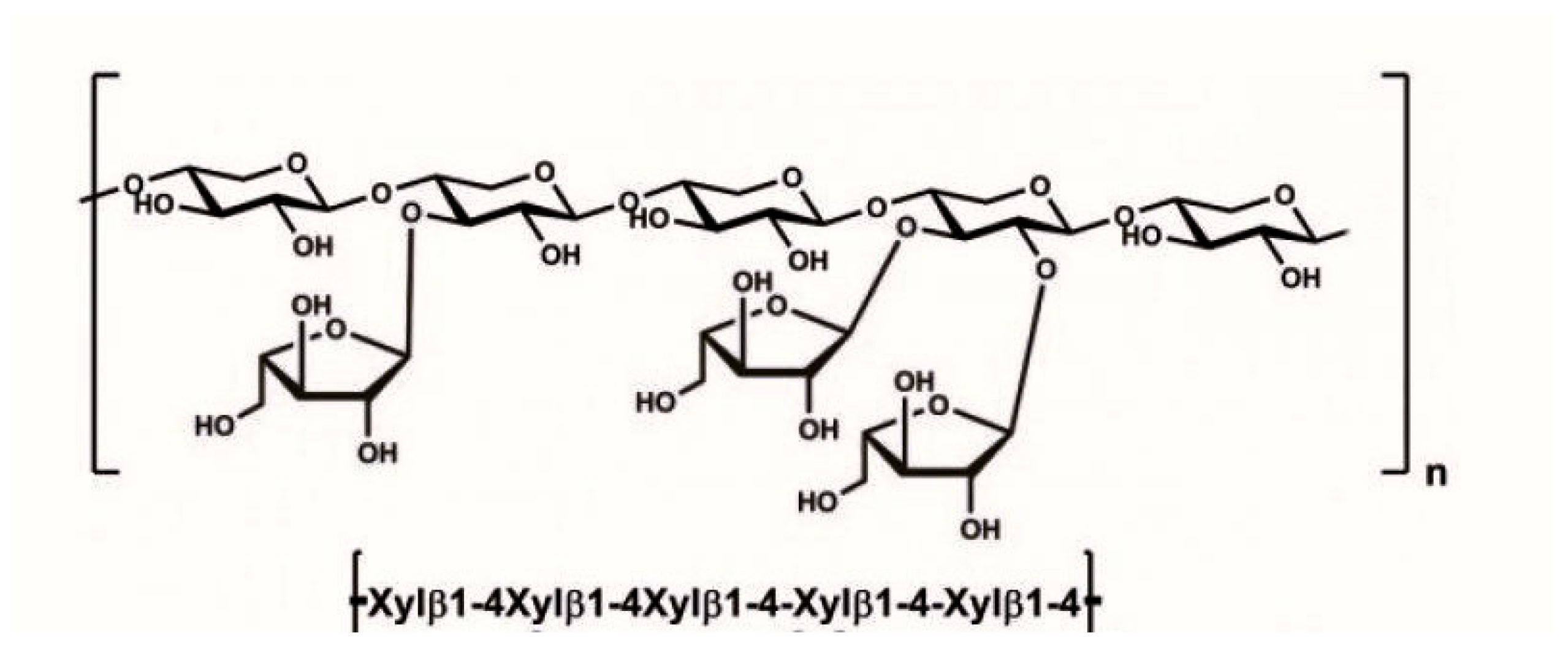
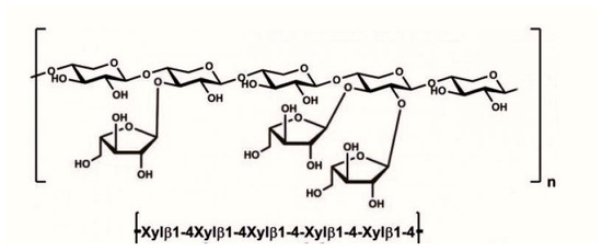
2.1. Arabinoxylans
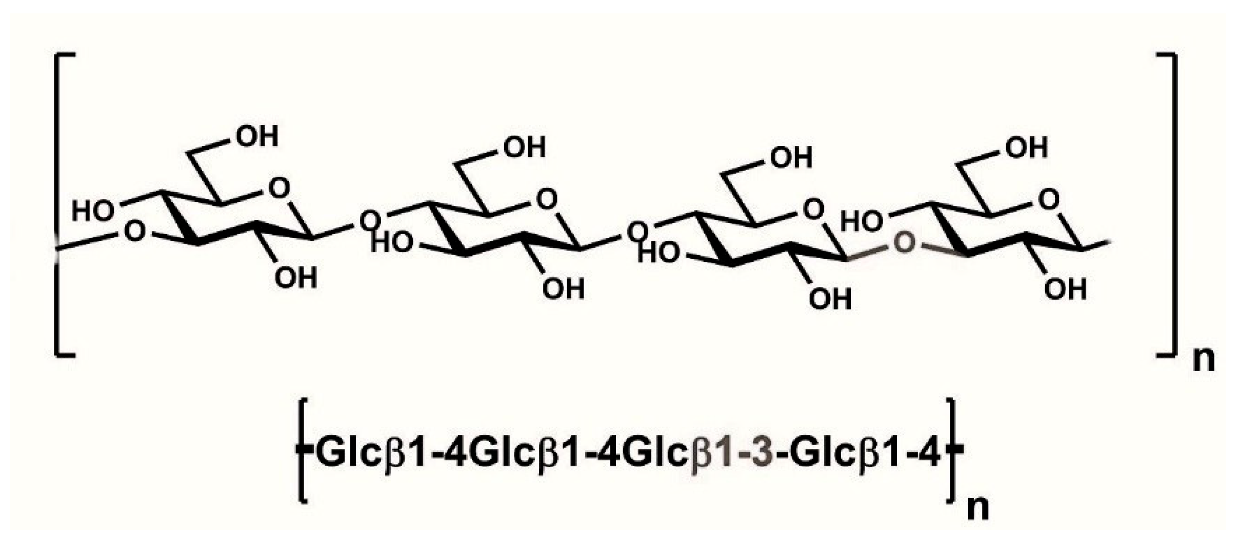
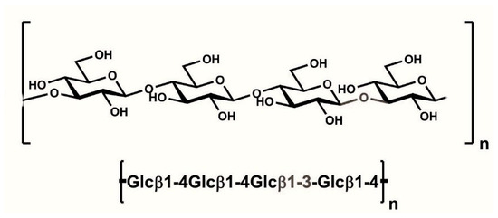
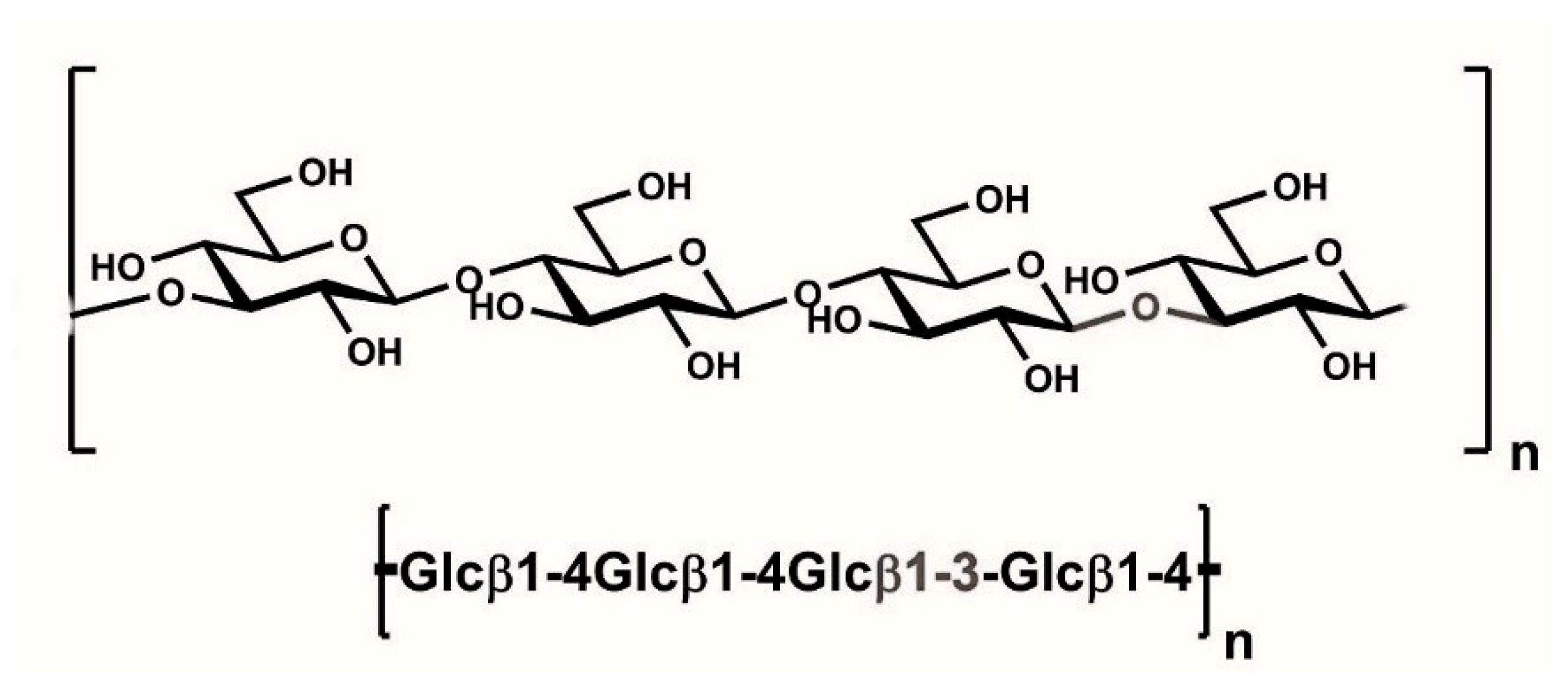
2.2. Glucans
3. Hydrocolloids in Malting and Brewing with Wheat
3.1. Effect of Pentosanes on Malting and Brewing
3.2. β-Glucans and AXs in Malting Wheat
3.3. β-Glucans and AXs in Brewing
4. Analytical Methods
4.1. Determination in Wheat and Wheat Flour
4.1.1. Extraction of AX
4.1.2. Water-Soluble AX
4.1.3. Water-Insoluble AX
4.1.4. Enzymatic Extraction of AX
4.1.5. Extraction of AX via Ultrasound
4.1.6. Quantification of AX
5. Hydrocolloids in Beer
6. Drawbacks and Scope of Improvements
7. Conclusions
Author Contributions
Funding
Data Availability Statement
Conflicts of Interest
Abbreviations
| AXs | arabinoxylans |
| WEAXs | water-extractable arabinoxylans |
| WEP | water-extractable pentosanes |
| WUP | water-insoluble pentosanes |
| AG | arabinogalactan |
| DEAE | diethylaminoethyl |
| WSAX | water-soluble arabinoxylans |
References
- Faltermaier, A.E. Fundamental Studies of the Application of Wheat for Malting and Brewing. Ph.D. Thesis, University College Cork, Cork, Ireland, 2015. [Google Scholar]
- Narziß, L. Zur Geschichte des Bayerischen Weizenbieres im Allgemeinen und des Weihenstephaner im Besonderen. Weihenstephaner 1995, 4, 234–236. [Google Scholar]
- Langos, L.; Granvogl, M.; Schieberle, P. Characterization of the Key Aroma Compounds in Two Bavarian Wheat Beers by Means of the Sensomics Approach. J. Agric. Food Chem. 2013, 61, 11303–11311. [Google Scholar] [CrossRef]
- Papazian, C. Beer Styles: Their Origins and Classification. In Handbook of Brewing, 3rd ed.; CRC Press: Boca Raton, FL, USA, 2018; pp. 35–53. [Google Scholar]
- Narziß, L. Abriss der Bierbrauerei, 7th ed.; Wiley-VCH Verlag GmbH&Co.KGaA: Weinheim, Germany, 2005. [Google Scholar]
- Titze, J.; Faltermaier, A.; Schnitzenbaumer, B. Theoretical Study on a Statistical Method for the Simple and Reliable Pre-Selection of Wheat Malt Types for Brewing Purposes based on Generally Accepted Quality Characteristics. J. Am. Soc. Brew. Chem. 2013, 71, 67–75. [Google Scholar] [CrossRef]
- Back, W. Ausgewählte Kapitel der Brautechnologie; Hans Carl GmbH: Nürnberg, Germany, 2008; pp. 249–254. ISBN 978-3-418-00910-0. [Google Scholar]
- Faltermaier, A.; Waters, D.; Becker, T.; Arendt, E.; Gastl, M. Common wheat (Triticum aestivum L.) and its use as a brewing cereal—A review. J. Inst. Brew. 2014, 120, 1–15. [Google Scholar] [CrossRef]
- Butt, M.S.; Tahir-Nadeem, M.; Ahmad, Z.; Tauseef Sultan, M. Xylanases in Baking Industry. Food Technol. Biotechnol. 2008, 46, 22–31. [Google Scholar]
- Biely, P. Microbial xylanolytic systems. Trends Biotechnol. 1985, 3, 286–290. [Google Scholar] [CrossRef]
- Whistler, R.L.; Richards, E.L. Hemicelluloses. In The Carbohydrates; Academic Press: New York, NY, USA, 1970; pp. 447–469. [Google Scholar]
- Faurot, A.-L.; Saulnier, L.; Bérot, S.; Ppineau, Y.; Petit, M.-D.; Rouau, X.; Thibault, J.-F. Large scale isolation of water-soluble and water-insoluble pentosans from wheat flour. LWT 1995, 28, 436–441. [Google Scholar] [CrossRef]
- Laidig, F.; Piepho, H.P.; Rentel, D.; Drobek, T.; Meyer, U.; Huesken, A. Breeding progress, environmental variation and correlation of winter wheat yield and quality traits in German official variety trials and on-farm during 1983–2014. Theor. Appl. Genet. 2017, 130, 223–245. [Google Scholar] [CrossRef]
- Sacher, B. Über den Einfluß von Sorte, Umwelt, Agronomischen Maßnahmen und Mälzungstechnologie Auf Die Wertbestimmenden Eigenschaften von Winterweizenmalzen. Ph.D Thesis, TU München, Munich, Germany, 1997. [Google Scholar]
- Krstanović, V.; Habschied, K.; Mastanjević, K. Research of Malting Procedures for Winter Hard Wheat Varieties—Part II. Foods 2021, 10, 147. [Google Scholar] [CrossRef]
- Krstanović, V.; Habschied, K.; Dvojković, K.; Mastanjević, K. Research of Malting Procedures for Winter Hard Wheat Varieties—Part I. Foods 2021, 10, 52. [Google Scholar] [CrossRef]
- Krstanović, V.; Habschied, K.; Lukinac, J.; Jukić, M.; Mastanjević, K. The Influence of partial substitution of malt with unmalted wheat in grist on quality parameters of Lager beer. Beverages 2020, 6, 7. [Google Scholar] [CrossRef]
- Mares, D.J.; Stone, B.A. Studies on wheat endosperm. 1. Chemical compositions and ultrastructure of cell-walls. Aust. J. Biol. Sci. 1973, 26, 793–812. [Google Scholar]
- Houben, R.; De Ruijter, C.F.; Brunt, K. Determination of the Pentosan Content of Wheat Products by Hydrolysis, Glucose Oxidase Treatment and Analysis by HPAEC/PAD. J. Cereal Sci. 1997, 26, 37–46. [Google Scholar] [CrossRef]
- Kornbrust, B.A.; Forman, T.; Matveeva, I. Applications of enzymes in breadmaking. In Breadmaking Improving Quality, 3rd ed.; Woodhead Publishing Limited: Sawston, UK, 2012; pp. 415–440. [Google Scholar]
- Delcour, J.A.; VanWin, H.; Grobet, P.J. Distribution and structural variation of arabinoxylans in common wheat mill streams. J. Agric. Food Chem. 1999, 47, 271–275. [Google Scholar] [CrossRef]
- Lazaridou, A.; Chornick, T.; Biliaderis, C.G.; Izydorczyk, M.S. Sequential solvent extraction and structural characterization of polysaccharides from the endosperm cell walls of barley grown in different environments. Carbohydr. Polym. 2008, 73, 621–639. [Google Scholar] [CrossRef] [PubMed]
- Rosentrater, K.A.; Evers, A.D. Chemical components and nutrition. In Kent’s Technology of Cereals, 5th ed.; Woodhead Publishing Limited: Sawston, UK, 2018; pp. 267–368. [Google Scholar]
- Medcalf, D.G.; D’Appolonia, B.L.; Gills, K.A. Comparison of chemical composition and properties between hard red spring and durum wheat endosperm pentosan. Cereal Chem. 1968, 45, 539. [Google Scholar]
- Steiner, J.; Kupetz, M.; Becker, T. Advancing Quantification of Water-Extractable Arabinoxylan in Beer: A High-Throughput Approach. Polymers 2023, 15, 3959. [Google Scholar] [CrossRef]
- Hartmann, G.; Piber, M.; Koehler, P. Isolation and chemical characterisation of water-extractable arabinoxylans from wheat and rye during breadmaking. Eur. Food Res. Technol. 2005, 221, 487–492. [Google Scholar] [CrossRef]
- Kulp, K.; Bechtel, W.G. Effect of Water-insoluble pentosane fraction of wheat endosperm on the quality of white bread. Cereal Chem. 1963, 66, 369–373. [Google Scholar]
- Bailey, G.H. The Constituents of Wheat and Wheat Products; Reinhold: New York, NY, USA, 1944; p. 146. [Google Scholar]
- Arif, S.; Ali, T.M.; ul Afzal, Q.; Ahmed, M.; Siddiqui, A.J.; Hasnain, A. Effect of pentosans addition on pasting properties of flours of eight hard white spring wheat cultivars. J. Food Sci. Technol. 2014, 51, 1066–1075. [Google Scholar] [CrossRef]
- El-Wakeil, F.A.; Abdel-Akher, M.; Awad, A.A.; Morad, M.M. Wheat proteins and pentosans, their isolation and their effect on the rheological properties of dough and bread. I. identification of wheat flour pentosans and their effect on dough rheology. Deut Lebensm-Rundsch. 1976, 71, 317–320. [Google Scholar]
- Kim, S.K.; D’Appolonia, B.L. Effect of pentosans on the retrogradation of wheat starch gels. Cereal Chem. 1977, 54, 150–160. [Google Scholar]
- Tao, R.P.; Pomeranz, Y. Water-soluble pentosans in flours varying widely in bread-making potential. J. Food Sci. 1967, 32, 162–168. [Google Scholar] [CrossRef]
- Singh, S.; Gupta, A.K.; Gupta, S.K.; Kaur, N. Effect of sowing time on protein quality and starch pasting characteristics in wheat (Triticum aestivum L.) genotypes grown under irrigated and rain-fed conditions. Food Chem. 2010, 122, 559–565. [Google Scholar] [CrossRef]
- Singh, S.; Singh, N.; MacRitchie, F. Relationship of polymeric proteins with pasting, gel dynamic and dough empirical-rheology in different Indian wheat varieties. Food Hydrocolloid. 2011, 25, 19–24. [Google Scholar] [CrossRef]
- Massaux, C.; Sindic, M.; Lenartz, J.; Sinnaeve, G.; Bodson, B.; Falisse, A.; Dardenne, P.; Deroanne, C. Variation in physicochemical and functional properties of starches extracted from European soft wheat (Triticum aestivum L.): The importance to preserve the varital identity. Carbohydr. Polym. 2008, 71, 32–41. [Google Scholar] [CrossRef]
- Bhattacharya, M.; Jafari-Shabestari, J.; Qualset, C.O.; Corke, H. Diversity of starch pasting properties in Iranian hexapoloid wheat landraces. Cereal Chem. 1997, 74, 417–423. [Google Scholar] [CrossRef]
- Hong, B.H.; Rubenthaler, G.L.; Allan, R.E. Wheat Pentosans. I. Cultivar Variation and Relationship to Kernel Hardness. Cereal Chem. 1989, 40, 493–504. [Google Scholar]
- Jelaca, S.L.; Hlynka, I. Water-binding capacity of wheat flour crude pentosans and their relation to mixing characteristics of dough. Cereal Chem. 1971, 48, 211. [Google Scholar]
- Hoseney, R.C. Functional properties of pentosans in baked goods. Food Technol. 1984, 1, 114. [Google Scholar]
- Amado, R.; Neukom, H. Minor constituents of wheat flour: The pentosans. In New Approaches to Research on Cereal Carbohydrates; Hill, R.D., Munck, I., Eds.; Elsevier Science Publishers B.V.: Amsterdam, The Netherlands, 1985; p. 249. [Google Scholar]
- Neukom, H. Chemistry and properties of the non-starch polysaccharides (NSP) of wheat flour. Lebensm. Wiss. Technol. 1976, 9, 143. [Google Scholar]
- Hashimoto, S.; Shogren, M.D.; Bolte, L.C.; Pomeranz, Y. Cereal Pentosans: Their Estimation and Significance. III. Pentosans in Abraded Grains and Milling By-Products. Am. Assoc. Cereal Chem. 1987, 64, 39–41. [Google Scholar]
- Adams, G.A. Constitution of a hemicellulose from bran. Canad. J. Chem. 1955, 33, 56–67. [Google Scholar] [CrossRef]
- Ring, S.G.; Selvendran, R.R. Isolation and analysis of cell wall material from beeswing wheat bran (Triticum aestivum). Phytochemistry 1980, 19, 1723–1730. [Google Scholar] [CrossRef]
- Smith, M.M.; Hartley, R.D. Occurrence and nature of ferulic acid substitution of cell-wall polysaccharides in graminaceous plants. Carbohydr. Res. 1983, 118, 65–80. [Google Scholar] [CrossRef]
- Izydorczyk, M.S.; Biliaderis, C.G. Cereal arabinoxylans: Advances in structure and physicochemical properties. Carbohydr. Polym. 1995, 28, 33–48. [Google Scholar] [CrossRef]
- Shi, Z.; Zhang, Y.; Phillips, G.O.; Yang, G. Utilization of bacterial cellulose in food. Food Hydrocol. 2014, 35, 539–545. [Google Scholar] [CrossRef]
- Izydorczyk, M.S.; Biliaderis, C.G. Structural and functional aspects of cereal arabinoxylans and β-glucans. In Novel Macromolecules in Food Systems; Doxastakis, G., Kiosseoglou, V., Eds.; Elsevier Science BV: Amsterdam, The Netherlands, 2000; pp. 361–384. [Google Scholar]
- Lewis, M.J.; Tom, W.Y. Brewing; Kluwer Academic/Plenum Publishers: New York, NY, USA, 2001. [Google Scholar]
- Debyser, W.; Delvaux, F.; Delcour, J.A. Activity of arabinoxylan hydrolyzing enzymes during mashing with barley malt or barley malt and unmalted wheat. J. Agric. Food Chem. 1998, 46, 4836–4841. [Google Scholar] [CrossRef]
- Han, J.Y.; Schwarz, P.B. Arabinoxylan composition in barley, malt, and beer. J. Am. Soc. Brew. Chem. 2018, 54, 216–220. [Google Scholar] [CrossRef]
- Krahl, M.; Müller, S.; Zarnkow, M.; Back, W.; Becker, T. Arabinoxylan and fructan in the malting and brewing process. Qual. Assur. Saf. Crop Foods 2009, 1, 246–255. [Google Scholar] [CrossRef]
- Langenaeken, N.A.; De Schepper, C.F.; De Schutter, D.P.; Courtin, C.M. Carbohydrate content and structure during malting and brewing: A mass balance study. J. Inst. Brew. 2020, 126, 253–262. [Google Scholar] [CrossRef]
- Li, Y.; Lu, J.; Gu, G. Control of arabinoxylan solubilization and hydrolysis in mashing. Food Chem. 2005, 90, 101–108. [Google Scholar] [CrossRef]
- Pomeranz, Y. Wheat: Chemistry and Technology; American Association of Cereal Chemists: St. Paul, MN, USA, 1998. [Google Scholar]
- Fangel, J.U.; Eiken, J.; Sierksma, A.; Schols, H.A.; Willats, W.; Harholt, J. Tracking polydaccharides through the brewing process. Carbohydr. Polym. 2018, 196, 465–473. [Google Scholar] [CrossRef]
- Cyran, M.R.; Ceglinska, A. Genetic variation in the extract viscosity of rye (Secale cereale L.) bread made from endosperm and wholemeal flour: Impact of high-molecular weight AXs, starch and protein. J. Sci. Food Agric. 2011, 91, 469–479. [Google Scholar] [CrossRef] [PubMed]
- Li, J.; Du, J. Molecular Characterization of Arabinoxylan from Wheat Beer, Beer Foam and Defoamed Beer. Molecules 2019, 24, 1230. [Google Scholar] [CrossRef] [PubMed]
- Shaluk, D.; Bazin, S.; Chepurna, A.; Izydorczyk, M.S. Effects of variable grain hydration during steeping on the content and physicochemical properties of non-starch polysaccharides in malt and wort. Food Res. Int. 2019, 116, 430–440. [Google Scholar] [CrossRef] [PubMed]
- Alfeo, V.; De Francesco, G.; Sileoni, V.; Blangiforti, S.; Palmeri, R.; Aerts, G.; Perretti, G.; Todaro, A. Physicochemical properties, sugar profile, and non-starch polysaccharides characterization of old wheat malt landraces. J. Food Comp. Anal. 2021, 102, 103997. [Google Scholar] [CrossRef]
- Guo, M.M.; Du, J.H.; Zhang, K.L.; Jin, Y.H. Content and molecular weight of water-extractable arabinoxylans in wheat malt and wheat malt-based wort with different kolbach indices. J. Sci. Food Agric. 2014, 94, 2794–2800. [Google Scholar] [CrossRef]
- Lu, J.; Li, Y. Effects of AX solubilization on wort viscosity and filtration when mashing with grist containing wheat and wheat malt. Food Chem. 2006, 98, 164–170. [Google Scholar] [CrossRef]
- Li, J.; Du, J.H.; Wu, X.Y.; Zhang, Z.A.; Zhang, K.L. Changes in crude AX during cloudy wheat beer brewing on a production scale. J. Inst. Brew. 2017, 123, 192–198. [Google Scholar] [CrossRef]
- He, Z.; Xu, F.; Wu, P. Arabinoxylans in cereal grain and beer brewing. J. Food Technol. Pres. 2021, 5, 1–14. [Google Scholar]
- Steiner, W.; Lafferty, R.; Gomes, I.; Esterbauer, H. Studies on a wild strain of Schizophyllum commune: Cellulase and xylanase production and formation of the extracellular polysaccharide schizophyllan. Biotechnol. Bioeng. 1987, 30, 169–178. [Google Scholar] [CrossRef]
- Viëtor, V.A.; Angelino, S. Composition of non-starch polysaccharides in wort and spent grain from brewing trials with malt from a good malting quality barley and a feed barley. J. Inst. Brew. 1993, 99, 243–248. [Google Scholar] [CrossRef]
- Viëtor, V.A.; Angelino, S.; Pilnik, W. Non-starch polysaccharides in barley and malt a mass balance of flour fractionation. J. Cereal Sci. 1991, 14, 73–83. [Google Scholar] [CrossRef]
- Lee, A.G.; Greig, R.; Dunn, C.; Stuart, M. The effect of (1→ 3, 1→ 4)-β-glucan and Arabinoxylans on malt quality and brewhouse performance. In Proceedings of the 25th Convention of the Institute of Brewing, Pacific Section, Perth, Australia, 26–30 March 1989; Institute of Brewing: London, UK, 1998; pp. 33–37. [Google Scholar]
- Debyser, W.; Schooneveld, M.; Derdelinckx, G. Nuclear magnetic resonance and methylation analysis-derived structural features of water-extractable Arabinoxylans from barley (Hordeum vulgare L.) malts. Agric. Food Chem. 1997, 45, 2914–2918. [Google Scholar] [CrossRef]
- Leclercq, C.; Dervilly, G.; Saulnier, L.; Dallies, N.; Zimmermann, D.; Roue, C. Barley and malt pentosans: Structure and functionalities in the brewing industry. EBC 1999, 27, 429–436. [Google Scholar]
- Dervilly, G.; Leclercq, C.; Zimmermann, D. Isolation and characterization of high molar mass water-soluble Arabinoxylans from barley and barley malt. Carbohydr. Polym. 2002, 47, 143–149. [Google Scholar] [CrossRef]
- Ducroo, P.; Frelon, P.G. Improvement of beer production by the use of β-glucanase- pentosanase from Disporotrichum dimorphosporum. In European Brewery Convention; Oxford University Press, Inc.: New York, NY, USA, 1989. [Google Scholar]
- Debyser, W.; Derdelinckx, G.; Delcour, J. Arabinoxylans and Arabinoxylans hydrolysing activities in barley malts and worts derived from them. J. Cereal Sci. 1997, 26, 67–74. [Google Scholar] [CrossRef]
- Schwarz, P.; Han, J. Arabinoxylans content of commercial beers. ASBC 1995, 53, 157–159. [Google Scholar] [CrossRef]
- Han, J.Y.; Schwarz, P. Arabinoxylans composition in barley malt and beer. J. ASBC 1996, 54, 216–220. [Google Scholar] [CrossRef]
- Aaman, P.; Hesselman, K. Analysis of starch and other main constituents of cereal grains. J. Agric. Res. 1984, 14, 135–139. [Google Scholar]
- Kunze, W. Brewing Malting; VLB: Berlin, Germany, 2004; pp. 18–52. [Google Scholar]
- Stewart, D.C.; Hawthorne, D.; Evans, D. Cold sterile filtration: A small scale filtration test and investigation of membrane plugging. J. Inst. Brew. 1998, 104, 321–326. [Google Scholar] [CrossRef]
- Sadosky, P.; Schwarz, P.B.; Horsley, R. Effect of Arabinoxylans, β -glucans, and dextrins on the viscosity and membrane filterability of a beer model solution. ASBC 2002, 60, 153162. [Google Scholar] [CrossRef]
- Narziss, L.; Reicheneder, E.; Edney, M. Studying beer filtration with an accurate beta-glucan assay. Monatsschrift Brauwiss. 1989, 42, 277–285. [Google Scholar]
- Elbegzaya, N.; Hollmann, J.; Lindhauer, M.G.; Pawelzik, E. Einfluss von Ultraschall auf Extrahierbarkeit und Struktur von Glukuronrarabinoxylanen aus Roggenkleie. Cereal Technol. 2010, 64, 162–175. [Google Scholar]
- Döring, C.; Jekle, M.; Becker, T. Technological and Analytical Methods for Arabinoxylan Quantification from Cereals. Crit. Rev. Food Sci. Nutr. 2015, 56, 999–1011. [Google Scholar] [CrossRef]
- Cleemput, G.; Booij, C.; Hessing, M.; Gruppen, H.; Delcour, J.A. Solubilisation and Changes in Molecular Weight Distribution of Arabinoxylans and Protein in Wheat Flours During Bread-Making, and the Effects of Endogenous Arabinoxylan Hydrolysing Enzymes. J. Cereal Sci. 1997, 26, 55–66. [Google Scholar] [CrossRef]
- Fincher, G.B.; Stone, B.A. Chemistry of Nonstarch Polysaccharides. In Encyclopedia of Grain Science; Elsevier Academic Press: Amsterdam, The Netherlands, 2004; pp. 206–222. [Google Scholar]
- Courtin, C.M.; Delcour, J.A. Physicochemical and bread-making properties of low molecular weight wheat-derived arabinoxylans. J. Agric. Food Chem. 1998, 46, 4066–4073. [Google Scholar] [CrossRef]
- Vansteenkiste, E.; Babot, C.; Rouau, X.; Micard, V. Oxidative gelation of feruloylated arabinoxylan as affected by protein. Influence on protein enzymatic hydrolysis. Food Hydrocol. 2004, 18, 557–564. [Google Scholar] [CrossRef]
- Dervilly-Pinel, G.; Rimsten, L.; Saulnier, L.; Andersson, R.; Åman, P. Water-extractable Arabinoxylan from Pearled Flours of Wheat, Barley, Rye and Triticale. Evidence for the Presence of Ferulic Acid Dimers and their Involvement in Gel Formation. J. Cereal Sci. 2001, 34, 207–214. [Google Scholar] [CrossRef]
- Nilsson, M.; Saulnier, L.; Andersson, R.; Åman, P. Water unextractable polysaccharides from three milling fractions of rye grain. Carbohydr. Polym. 1996, 30, 229–237. [Google Scholar] [CrossRef]
- Hansen, H.B.; Rasmussen, C.V.; Knudsen, K.E.B.; Hansen, Å. Effects of genotype and harvest year on content and composition of dietary fibre in rye (Secale cereale L.) grain. J. Sci. Food Agric. 2003, 83, 76–85. [Google Scholar] [CrossRef]
- Lempereur, I.; Rouau, X.; Abecassis, J. Genetic and Agronomic Variation in Arabinoxylan and Ferulic Acid Contents of Durum Wheat (Triticum durum L.) Grain and Its Milling Fractions. J. Cereal Sci. 1997, 25, 103–110. [Google Scholar] [CrossRef]
- Cleemput, G.; Roels, S.P.; Van Oort, M.; Grobet, P.J.; Delcour, J.A. Heterogeneity In The Structure of Water-Soluble Arabinoxylans in European Wheat Flours of Variable Bread-Making Quality. Cereal Chem. 1993, 70, 324–329. [Google Scholar]
- Rattan, O.; Izydorczyk, M.S.; Biliaderis, C.G. Structure and Rheological Behavior of Arabinoxylans from Canadian Bread Wheat Flours. Food Sci. Technol.-Lebensm.-Wiss. Technol. 1994, 27, 550–555. [Google Scholar] [CrossRef]
- Loosveld, A.M.A.; Grobet, P.J.; Delcour, J.A. Contents and structural features of water-extractable arabinogalactan in wheat flour fractions. J. Agric. Food Chem. 1997, 45, 1998–2002. [Google Scholar] [CrossRef]
- Vinkx, C.J.A.; Stevens, I.; Gruppen, H.; Grobet, P.J.; Delcour, J.A. Physicochemical and Functionalproperties of Rye Nonstarch Polysaccharides. 5. Variability in The Structure of Water-Soluble Arabinoxylans. Cereal Chem. 1993, 70, 311–317. [Google Scholar]
- Ragaee, S.M.; Campbell, G.L.; Scoles, G.J.; McLeod, J.G.; Tyler, R.T. Studies on rye (Secale cereale L.) lines exhibiting a range of extract viscosities. 1. Composition, molecular weight distribution of water extracts, and biochemical characteristics of purified water-extractable arabinoxylan. J. Agric. Food Chem. 2001, 49, 2437–2445. [Google Scholar] [CrossRef]
- Cleemput, G.; van Oort, M.; Hessing, M.; Bergmans, M.E.F.; Gruppen, H.; Grobe, P.J.; Delcour, J.A. Variation in the degree of D-Xylose substitution in arabinoxylans extracted from a European wheat flour. J. Cereal Sci. 1995, 22, 73–84. [Google Scholar] [CrossRef]
- Nilsson, M.; Andersson, R.; Andersson, R.E.; Autio, K.; Åman, P. Heterogeneity in a water-extractable rye arabinoxylan with a low degree of disubstitution. Carbohydr. Polym. 2000, 41, 397–405. [Google Scholar] [CrossRef]
- Shiiba, K.; Yamada, H.; Hara, H.; Okada, K.; Nagao, S. Purification And Characterization Of 2 Arabinoxylans From Wheat Bran. Cereal Chem. 1993, 70, 209–214. [Google Scholar]
- Gruppen, H.; Hamer, R.J.; Voragen, A.G.J. Barium hydroxide as a tool to extract pure arabinoxylans from water-insoluble cell wall material of wheat flour. J. Cereal Sci. 1991, 13, 275–290. [Google Scholar] [CrossRef]
- Bergmans, M.E.F.; Beldman, G.; Gruppen, H.; Voragen, A.G.J. Optimisation of the Selective Extraction of (Glucurono)arabinoxylans from Wheat Bran: Use of Barium and Calcium Hydroxide Solution at Elevated Temperatures. J. Cereal Sci. 1996, 23, 235–245. [Google Scholar] [CrossRef]
- Bataillon, M.; Mathaly, P.; Nunes Cardinali, A.-P.; Duchiron, F. Extraction and purification of arabinoxylan from destarched wheat bran in a pilot scale. Ind. Crops Prod. 1998, 8, 37–43. [Google Scholar] [CrossRef]
- Benamrouche, S.; Crônier, D.; Debeire, P.; Chabbert, B. A Chemical and Histological Study on the Effect of (1→4)-[beta]-endo-xylanase Treatment on Wheat Bran. J. Cereal Sci. 2002, 36, 253–260. [Google Scholar] [CrossRef]
- Dornez, E.; Gebruers, K.; Delcour, J.A.; Courtin, C.M. Grain-associated xylanases: Occurrence, variability, and implications for cereal processing. Trends Food Sci. Technol. 2009, 20, 495–510. [Google Scholar] [CrossRef]
- Petit-Benvegnen, M.D.; Saulnier, L.; Rouau, X. Solubilization of arabinoxylans from isolated water-unextractable pentosans and wheat flour doughs by cell-wall-degrading enzymes. Cereal Chem. 1998, 75, 551–556. [Google Scholar] [CrossRef]
- Courtin, C.M.; Delcour, J.A. Arabinoxylans and Endoxylanases in Wheat Flour Bread-making. J. Cereal Sci. 2002, 35, 225–243. [Google Scholar] [CrossRef]
- Beaugrand, J.; Reis, D.; Guillon, F.; Debeire, P.; Chabbert, B. Xylanase-Mediated Hydrolysis of Wheat Bran: Evidence for Subcellular Heterogeneity of Cell Walls. Int. J. Plant Sci. 2004, 165, 553–563. [Google Scholar] [CrossRef]
- Lequart, C.; Nuzillard, J.-M.; Kurek, B.; Debeire, P. Hydrolysis of wheat bran and straw by an endoxylanase: Production and structural characterization of cinnamoyl-oligosaccharides. Carbohydr. Res. 1990, 319, 102–111. [Google Scholar] [CrossRef] [PubMed]
- Dervilly-Pinel, G.; Tran, V.; Saulnier, L. Investigation of the distribution of arabinose residues on the xylan backbone of water-soluble arabinoxylans from wheat flour. Carbohydr. Polym. 2004, 55, 171–177. [Google Scholar] [CrossRef]
- Izydorczyk, M.; Biliaderis, C.G.; Bushuk, W. Comparison of the Structure and Composition of Water-Soluble Pentosans from Different Wheat Varieties. Cereal Chem. 1991, 68, 139–144. [Google Scholar]
- Rantanen, H.; Virkki, L.; Tuomainen, P.; Kabel, M.; Schols, H.; Tenkanen, M. Preparation of arabinoxylobiose from rye xylan using family 10 Aspergillus aculeatus endo-1,4-beta-D-xylanase. Carbohydr. Polym. 2007, 68, 350–359. [Google Scholar] [CrossRef]
- Englyst, H.N.; Cummings, J.H. Simplified method for the measurement of total non-starch polysaccharides by gas-liquid chromatography of constituent sugars as alditol acetates. Analyst 1984, 109, 937–942. [Google Scholar] [CrossRef]
- Douglas, S.G. A rapid method for the determination of pentosans in wheat flour. Food Chem. 1981, 7, 139–145. [Google Scholar] [CrossRef]
- Bettge, A.D.; Morris, C.F. Oxidative gelation measurement and influence on soft wheat batter viscosity and end-use quality. Cereal Chem. 2007, 84, 237–242. [Google Scholar] [CrossRef]
- Bettge, A.D.; Morris, C.F. Relationships among grain hardness, pentosan fractions, and end-use quality of wheat. Cereal Chem. 2000, 77, 241–247. [Google Scholar] [CrossRef]
- Finnie, S.M.; Bettge, A.D.; Morris, C.F. Influence of cultivar and environment on water-soluble and water-insoluble arabinoxylans in soft wheat. Cereal Chem. 2006, 83, 617–623. [Google Scholar] [CrossRef]
- Izydorczyk, M.S.; Dexter, J.E. Barley _-glucans and arabinoxylans: Molecular structure, physicochemical properties, and uses in food products—A Review. Food Res. Int. 2008, 41, 850–868. [Google Scholar] [CrossRef]
- Izydorczyk, M.S.; Jacobs, M.; Dexter, J.E. Distribution and structural variation of nonstarch polysaccharides in milling fractions of hull-less barley with variable amylose content. Cereal Chem. 2003, 80, 645–653. [Google Scholar] [CrossRef]
- Reid, J.E.S.J.; Yakubov, G.E.; Lawrence, S.J. Non-starch polysaccharides in beer and brewing: A review of their occurrence and significance. Crit. Rev. Food Sci. Nutr. 2022, 64, 837–851. [Google Scholar] [CrossRef] [PubMed]
- Li, M.; Du, J.; Zhang, K. Profiling of carbohydrates in commercial beers and their influence on beer quality. J. Sci. Food Agric. 2020, 100, 3062–3070. [Google Scholar] [CrossRef] [PubMed]
- Li, M.; Du, J.; Zheng, Y. Non-starch polysaccharides in wheat beers and barley malt beers: A comparative study. Foods 2020, 9, 131. [Google Scholar] [CrossRef] [PubMed]



| Operation | Purpose of Operation | Application | Source |
|---|---|---|---|
| Milling | To inactivate the samples’ endogenous enzymes | Grain | [83] |
| Heat treatment | Flour; bread | [26] | |
| Reflux with 90% (v/v) Ethanol for 30 min | Dough | ||
| 80% ethanol | Removal of proteins | Wheat Flour | [84] |
| Addition of clay | Removal of proteins | Wheat pentosan concentrate | [85] |
| Clay treatment: the samples were thermally purified at 100 °C for 20 min | Enzyme Inactivation | Crude wheat WEAX | [86] |
| Cooking in ethanol (80%) before extraction | Removal of proteins | Flours | [87] |
| Centrifugation and separation of proteins and α-amylases and Glucosidases addition | Degrade starch and saccharides | [88] | |
| α-amylase at 100 °C for 1 h Degradation by amyloglucosidase | [89] |
| Operation | Purpose of Operation | Matrix | Source |
|---|---|---|---|
| centrifugation | to gain supernatant, | [21,42,90] | |
| purification heat (approx. 90 °C) | precipitating soluble proteins were removed by filtration, adsorbed with ammonium sulfate, with clay, or by centrifugation | supernatant | [91,92,93] |
| addition of α-amylase and/or amyloglucosidase centrifugation and filtration of supernatant with Celite or enzyme inactivation by heating the solution for 30–60 min at 85–95 °C | hydrolyzed residual starches and other polysaccharides | wheat flour | [92,94] |
| dialyzed with water | supernatant | [92] | |
| centrifugation precipitation with ammonium sulfate solution or with ethanol (80–90%) drying in an oven for 24 h at 45 °C, 7 h at 40 °C | supernatants | [91,93,95,96,97] | |
| adsorption of water-soluble hemicelluloses with tris-HCl buffer on a diethylaminoethyl (DEAE)-Sepharose (CL-6B) column freezing immediately | separation of AXs | [98] | |
| DEAE-cellulose column activation with sodium borate AX-extract application on the column and elucidation by distilled water dialyzed against dist. water and freeze-dried | fractionation of a crude AX extract | [97] | |
| freeze-dried, milled, and analyzed | isolation of WEAX | dough or bread | [26,83] |
| Operation | Purpose of Operation | Application | Source |
|---|---|---|---|
| Dimethylsulfoxide (DMSO), urea, hydroxylamine hydrochloride (NH2OH-HCl) in phosphate buffer and sodium hydroxide (NaOH) stirring for 16 h at 20 °C centrifugation dilution with water and centrifuged again The pH value was adjusted to 7.0 and finally dialyzed with distilled water and sodium carbonate (Na2CO3) solution, extracted for 16 h at 4 °C, centrifuged, neutralized, dialyzed with deionized water, analyzed, re-suspended in sodium carbonate and sodium borhydride, extracted for 3 h at 20 °C, centrifuged, re-extracted with solvent, water, and analyzed. | To gain supernatant | wheat flour and wheat bran | [99] |
| Saturated barium hydroxide (Ba(OH)2) solution was extracted with this solvent for 16 h at 20 °C. After centrifugation, the residues were re-extracted with the solvent. Supernatants were combined, neutralized, and dialyzed against sodium acetate buffer and water, and centrifuged again, treated with acetic acid, and extracted with water. Centrifugation, the supernatants were combined, dialyzed with water, and analyzed. | To gain supernatant | ||
| Ba(OH)2 | To gain supernatant | wheat bran | [100] |
| NaOH 10, 20, 40, or 80% corresponding of NaOH/starting bran) and temperatures (20, 40, 60, and 80 °C) for 6 h after removing lignin with sodium chlorite. After centrifugation, the supernatants were cooled, the pH was adjusted to 4.8, cooled down and centrifuged acidic supernatants were purified by microfiltration and spray-dried | To gain supernatant | wheat bran | [101] |
| Operation | Method | Treatment | Source |
|---|---|---|---|
| hydrolysis of AX | high-performance anion exchange chromatography (HPAEC) | sodium acetate and acetic acid or tris(hydroxymethyl)-amino-methane and hydrochloric acid (HCl)), treated with HCl and hydrolyzed | [19] |
| HPLC | trifluoroacetic acid | [98] | |
| HPLC | sulfuric acid | [26,92,105,106] | |
| hydrolyzed with 2 M HCl for 4 h at 100 °C and neutralized with 4 M NaOH (2 mL) | [109] | ||
| GC | alditol acetates | [91,98,110] | |
| colorimetry |
Disclaimer/Publisher’s Note: The statements, opinions and data contained in all publications are solely those of the individual author(s) and contributor(s) and not of MDPI and/or the editor(s). MDPI and/or the editor(s) disclaim responsibility for any injury to people or property resulting from any ideas, methods, instructions or products referred to in the content. |
© 2025 by the authors. Licensee MDPI, Basel, Switzerland. This article is an open access article distributed under the terms and conditions of the Creative Commons Attribution (CC BY) license (https://creativecommons.org/licenses/by/4.0/).
Share and Cite
Habschied, K.; Babić, M.K.; Horvat, D.; Dvojković, K.; Krstanović, V.; Mastanjević, K. Wheat Hydrocolloids and Their Importance for Brewing. Polysaccharides 2025, 6, 94. https://doi.org/10.3390/polysaccharides6040094
Habschied K, Babić MK, Horvat D, Dvojković K, Krstanović V, Mastanjević K. Wheat Hydrocolloids and Their Importance for Brewing. Polysaccharides. 2025; 6(4):94. https://doi.org/10.3390/polysaccharides6040094
Chicago/Turabian StyleHabschied, Kristina, Marija Kovačević Babić, Daniela Horvat, Krešimir Dvojković, Vinko Krstanović, and Krešimir Mastanjević. 2025. "Wheat Hydrocolloids and Their Importance for Brewing" Polysaccharides 6, no. 4: 94. https://doi.org/10.3390/polysaccharides6040094
APA StyleHabschied, K., Babić, M. K., Horvat, D., Dvojković, K., Krstanović, V., & Mastanjević, K. (2025). Wheat Hydrocolloids and Their Importance for Brewing. Polysaccharides, 6(4), 94. https://doi.org/10.3390/polysaccharides6040094

