Adsorption of Heavy Metal Ions from Multi-Ion Solutions Using Polysaccharide Hydrogels
Abstract
1. Introduction
2. Materials and Methods
2.1. Materials and Chemicals
2.2. Sorption Experiments
2.3. Desorption Experiments
2.4. Characterization of Hydrogel Beads
3. Results and Discussion
3.1. Sorption Yields of Hydrogel Beads
3.2. Solution Acidity Effect
3.3. Metal Desorption and Adsorbent Reuse
3.4. Comparison of Adsorption Using Different Polysaccharides
3.5. Sorption Yields and Selectivities with Binary and Quaternary Lanthanide Ion Solutions
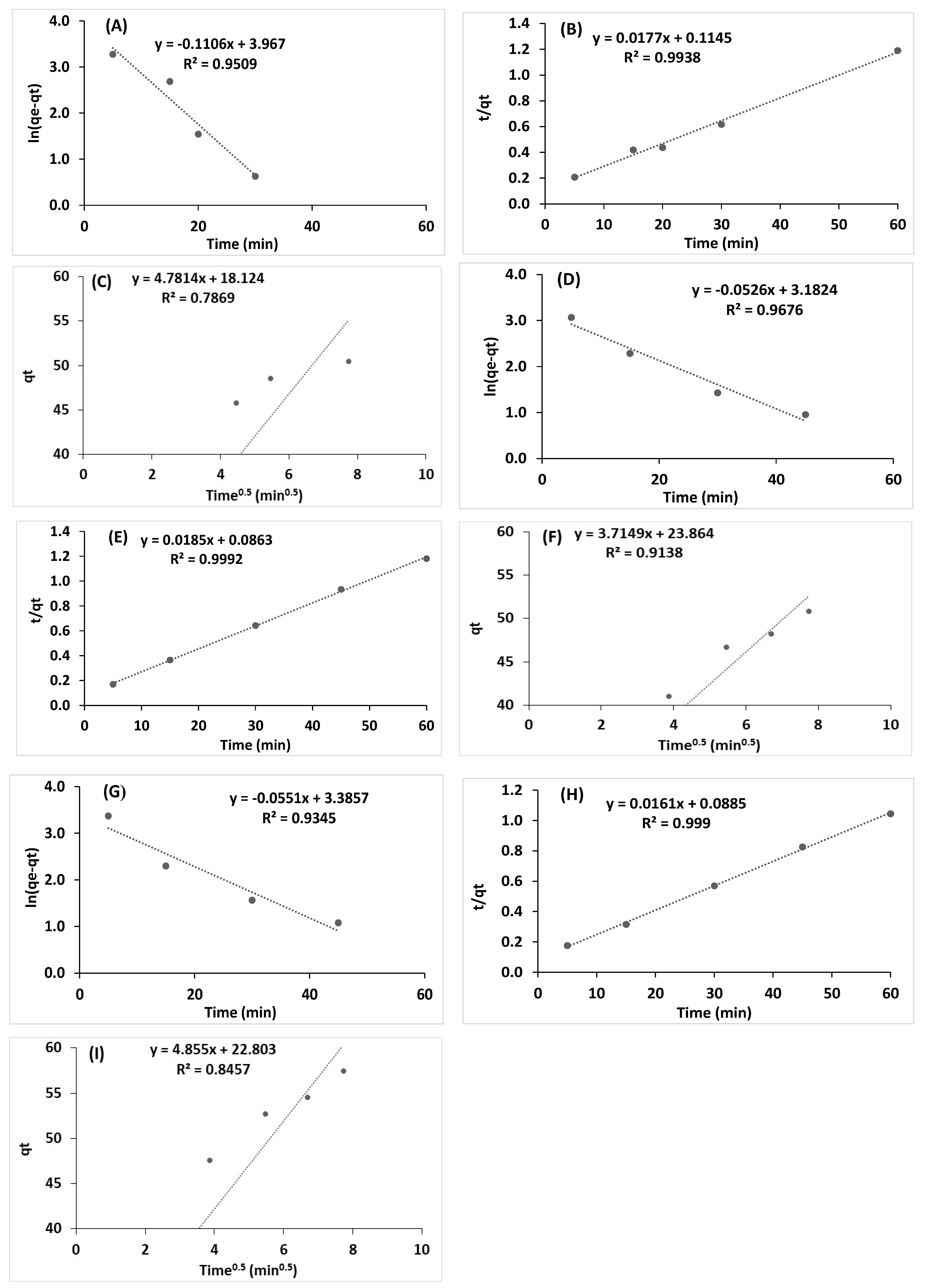
3.6. Kinetics
3.7. Hydrogel-Based Beads Characterization
4. Conclusions
Supplementary Materials
Author Contributions
Funding
Institutional Review Board Statement
Data Availability Statement
Conflicts of Interest
Abbreviations
| A | Alginate |
| DDW | Double-distilled water |
| DTG | Differential temperature |
| D-Y | Desorption yield |
| FTIR | Fourier transform infrared spectroscopy |
| HM | Heavy metal |
| I | Iota carrageenan |
| K | Kappa carrageenan |
| LM | Light metal |
| S | Sorption selectivity |
| SEM | Scanning electron microscope |
| TGA | Thermal gravimetric analysis |
| Y | Sorption yields |
References
- Hussain, A.; Madan, S.; Madan, R. Removal of heavy metals from wastewater by adsorption. In Heavy Metals—Their Environmental Impacts and Mitigation; IntechOpen: London, UK, 2021. [Google Scholar]
- Arora, R. Adsorption of heavy metals—A review. Mater. Today Proc. 2019, 18, 4745–4750. [Google Scholar] [CrossRef]
- Kadirvelu, K.; Thamaraiselvi, K.; Namasivayam, C. Removal of heavy metals from industrial wastewaters by adsorption onto activated carbon prepared from an agricultural solid waste. Bioresour. Technol. 2001, 76, 63–65. [Google Scholar] [CrossRef] [PubMed]
- Zamzow, M.J.; Eichbaum, B.R.; Sandgren, K.R.; Shanks, D.E. Removal of heavy metals and other cations from wastewater using zeolites. Sep. Sci. Technol. 1990, 25, 1555–1569. [Google Scholar] [CrossRef]
- Zhao, C.; Liu, G.; Tan, Q.; Gao, M.; Chen, G.; Huang, X.; Xu, D. Polysaccharide-based biopolymer hydrogels for heavy metal detection and adsorption. J. Adv. Res. 2023, 44, 53–70. [Google Scholar] [CrossRef]
- Mathew, B.B.; Jaishankar, M.; Biju, V.G.; Beeregowda, K.N. Role of bioadsorbents in reducing toxic metals. J. Toxicol. 2016, 2016, 4369604. [Google Scholar] [CrossRef]
- Thakur, A.K.; Singh, R.; Pullela, R.T.; Pundir, V. Green adsorbents for the removal of heavy metals from Wastewater: A review. Mater. Today Proc. 2022, 57, 1468–1472. [Google Scholar] [CrossRef]
- Minamisawa, M.; Minamisawa, H.; Yoshida, S.; Takai, N. Adsorption behavior of heavy metals on biomaterials. J. Agri. food chem. 2004, 52, 5606–5611. [Google Scholar] [CrossRef]
- Qi, X.; Tong, X.; Pan, W.; Zeng, Q.; You, S.; Shen, J. Recent advances in polysaccharide-based adsorbents for wastewater treatment. J. Clean. Prod. 2021, 315, 128221. [Google Scholar] [CrossRef]
- Na, Y.; Lee, J.; Lee, S.H.; Kumar, P.; Kim, J.H.; Patel, R. Removal of heavy metals by polysaccharide: A review. Polym. Plast. Technol. Mater. 2020, 59, 1770–1790. [Google Scholar] [CrossRef]
- Gupta, A.D.; Rawat, K.P.; Bhadauria, V.; Singh, H. Recent trends in the application of modified starch in the adsorption of heavy metals from water: A review. Carbohydr. Polym. 2021, 269, 117763. [Google Scholar] [CrossRef]
- Gao, X.; Guo, C.; Hao, J.; Zhao, Z.; Long, H.; Li, M. Adsorption of heavy metal ions by sodium alginate based adsorbent: A review and new perspectives. Int. J. Biol. Macromol. 2020, 164, 4423–4434. [Google Scholar] [CrossRef] [PubMed]
- Sewvandi, G.A.; Adikary, S.U. Removal of heavy metals from wastewater using chitosan. Soc. Soc. Manag. Syst. Internet J. 2011, 38, 1–6. [Google Scholar]
- Abdellatif, M.M.; Soliman, S.M.A.; El-Sayed, N.H.; Abdellatif, F.H.H. Iota-carrageenan based magnetic aerogels as an efficient adsorbent for heavy metals from aqueous solutions. J. Porous Mater. 2020, 27, 277–284. [Google Scholar] [CrossRef]
- Ho, Y.S.; McKay, G. Correlative biosorption equilibria model for a binary batch system. Chem. Eng. Sci. 2000, 55, 817–825. [Google Scholar] [CrossRef]
- Mehta, S.K.; Gaur, J.P. Characterization and optimization of Ni and Cu sorption from aqueous solution by Chlorella vulgaris. Ecol. Eng. 2001, 18, 1–13. [Google Scholar] [CrossRef]
- Mehta, S.K.; Singh, A.; Gaur, J.P. Kinetics of adsorption and uptake of Cu2+ by Chlorella vulgaris: Influence of pH, temperature, culture age, and cations. J. Environ. Sci. Health Part A 2002, 37, 399–414. [Google Scholar] [CrossRef]
- Rai, L.C.; Gaur, J.P.; Kumar, H.D. Phycology and heavy-metal pollution. Biol. Rev. Phil. Soc. 1981, 56, 99–151. [Google Scholar] [CrossRef]
- Mehta, S.K.; Gaur, J.P. Concurrent sorption of Ni2+ and Cu2+ by Chlorella vulgaris from a binary metal solution. Appl. Microbiol. Biotechnol. 2001, 55, 379–382. [Google Scholar] [CrossRef]
- Axtell, N.R.; Sternberg, S.P.; Claussen, K. Lead and nickel removal using Microspora and Lemna minor. Bioresour. Technol. 2003, 89, 8–41. [Google Scholar] [CrossRef]
- Adhya, J.; Cai, X.; Sayre, R.T.; Traina, S.J. Binding of aqueous cadmium by the lyophilized biomass of Chlamydomonas reinhardtti. Colloids Surf. A Physicochem. Eng. Asp. 2002, 210, 1–11. [Google Scholar] [CrossRef]
- Allen, S.J.; Brown, P.A. Isotherm analyses for single component and multi-component metal sorption onto lignite. J. Chem. Technol. Biotechnol. 1995, 62, 17–24. [Google Scholar] [CrossRef]
- Chang, J.; Hong, J. Estimation of kinetics of mercury detoxification from low-inoculum batch cultures of Pseudomonas aeruginosa PU21 (Rip64). Biotechnol. Bioeng. 1994, 42, 85–90. [Google Scholar] [CrossRef] [PubMed]
- Chiban, M.; Soudani, A.; Sinan, F.; Persin, M. Single, binary and multi-component adsorption of some anions and heavy metals on environmentally friendly Carpobrotus edulis plant. Colloids Surf. B Biointerfaces 2011, 82, 267–276. [Google Scholar] [CrossRef] [PubMed]
- Albayati, T.M.; Sabri, A.A.; Abed, D.B. Adsorption of binary and multi heavy metals ions from aqueous solution by amine functionalized SBA-15 mesoporous adsorbent in a batch system. Desalination Water Treat. 2009, 151, 315–321. [Google Scholar] [CrossRef]
- Visa, M.; Bogatu, C.; Duta, A. Simultaneous adsorption of dyes and heavy metals from multicomponent solutions using fly ash. Appl. Surf. Sci. 2010, 256, 5486–5491. [Google Scholar] [CrossRef]
- Huang, S.; Jin, S.; Wang, Y.; Liu, J.; Yu, J.; Liu, D.; Chi, R. Selective adsorption of heavy metal ions from aqueous solution by modified bagasse. Chem. Ecol. 2020, 36, 839–854. [Google Scholar] [CrossRef]
- Dong, C.; Zhang, F.; Pang, Z.; Yang, G. Efficient and selective adsorption of multi-metal ions using sulfonated cellulose as adsorbent. Carbohydr. Polym. 2016, 151, 230–236. [Google Scholar] [CrossRef]
- Levy-Ontman, O.; Yanay, C.; Paz-Tal, O.; Wolfson, A. Iota-carrageenan as sustainable bio-adsorbent for the removal of europium ions from aqueous solutions. Mater. Today Commun. 2022, 32, 104111. [Google Scholar] [CrossRef]
- Levy-Ontman, O.; Yanay, C.; Paz-Tal, O.; Wolfson, A. Red Algae Sulfur-Based Polysaccharides as Bioadsorbents for Europium Removal from Aqueous Solutions. J. Polym. Environ. 2023, 31, 2321–2333. [Google Scholar] [CrossRef]
- Levy-Ontman, O.; Nagar, S.; Paz-Tal, O.; Wolfson, A. Cation Effect in Polysaccharide-Based Hydrogel Beads Produced for Europium Adsorption from Aqueous Solutions. J. Polym. Environ. 2024, 32, 4017–4034. [Google Scholar] [CrossRef]
- Levy-Ontman, O.; Nagar, S.; Paz-Tal, O.; Wolfson, A. Iota-carrageenan as a regenerating system for Eu3+ recovery: Adsorption/desorption cycles. Environ. Technol. 2024, 46, 1730–1743. [Google Scholar] [CrossRef] [PubMed]
- Levy-Ontman, O.; Paz-Tal, O.; Alfi, Y.; Wolfson, A. Biosorption of uranyl ions from aqueous solutions by soluble renewable polysaccharides. RSC Adv. 2023, 13, 35831–35840. [Google Scholar] [CrossRef] [PubMed]
- Levy-Ontman, O.; Yanay, C.; Alfi, Y.; Paz-Tal, O.; Wolfson, A. Selective Sorption of Heavy Metals by Renewable Polysaccharides. Polymers 2023, 15, 4457. [Google Scholar] [CrossRef] [PubMed]
- Kang, S.W.; Park, C.M.; Kim, I.K.; Lee, J.M. Studies on the Spectrophotometric Determination, Electrochemical Behavior of Heavy Lanthanide ions in Nonaqueous System and Heavy Chelates Complexes with Bidendate Ligands (II) Electrochemical Behavior of Heavy Lanthanide Ions in Acetonitrile. J. Korean Chem. Soc. 1993, 37, 483–490. [Google Scholar]
- Negrea, A.; Gabor, A.; Davidescu, C.M.; Ciopec, M.; Negrea, P.; Duteanu, N.; Barbulescu, A. Rare earth elements removal from water using natural polymers. Sci. Rep. 2018, 8, 316. [Google Scholar] [CrossRef]
- Young, R.N.; McDonald, G.; Randall, J.M. Effect of light metal ions on the sorption of heavy metal ions on natural polymers. J. Appl. Polym. Sci. 1979, 23, 1027–1035. [Google Scholar] [CrossRef]
- Pawlik, B.; Skowroński, T. Transport and toxicity of cadmium: Its regulation in the cyanobacterium Synechocystis aquatilis. Environ. Exp. Bot. 1994, 34, 225–233. [Google Scholar] [CrossRef]
- Greene, B.; McPherson, R.; Darnall, D. Algal sorbents for selective metal ion recovery. In Metals Speciation, Separation, and Recovery; Lewis Publishers: Chelsea, MI, USA, 1987; pp. 315–332. [Google Scholar]
- Ramelow, G.J.; Fralick, D.; Zhao, Y.F. Factors affecting the uptake of aqueous metal ions by dried seaweed biomass. Microbios 1992, 72, 81–93. [Google Scholar]
- Mehta, S.K.; Gaur, J.P. Use of algae for removing heavy metal ions from wastewater: Progress and prospects. Crit. Rev. Biotechnol. 2005, 25, 113–152. [Google Scholar] [CrossRef]
- Fuks, L.; Herdzik-Koniecko, I.; Polkowska-Motrenko, H.; Oszczak, A. Novel procedure for removal of the radioactive metals from aqueous wastes by the magnetic calcium alginate. Int. J. Environ. Sci. Technol. 2018, 15, 2657–2668. [Google Scholar] [CrossRef]
- Al-Wakeel, K.Z.; Abd El Monem, H.; Khalil, M.M. Removal of divalent manganese from aqueous solution using glycine modified chitosan resin. J. Environ. Chem. Eng. 2015, 3, 179–186. [Google Scholar] [CrossRef]
- Esposito, A.; Reverberi, A.P. Copper adsorption on calcium alginate beads: Equilibrium pH-related models. Hydrometallurgy 2002, 65, 43–57. [Google Scholar]
- Chatterjee, A.; Abraham, J. Desorption of heavy metals from metal loaded sorbents and e-wastes: A review. Biotechnol. Lett. 2019, 41, 319–333. [Google Scholar] [CrossRef]
- Tan, L.; Bai, X.; Yao, R.; Fu, Z.; Wang, J.; Wang, Y.; Lin, T.; Hao, Y.; Yang, H.; Sai, H. A sulfonic-functionalized cellulose adsorbent for the rapid removal of cerium (III) from aqueous solutions. Fibers Polym. 2024, 25, 1713–1725. [Google Scholar] [CrossRef]
- Serunting, M.A.; Rusnadi, R.; Setyorini, D.A.; Ramadan, B.S. An effective cerium (III) ions removal method using sodium alginate-coated magnetite (Alg-Fe3O4) nanoparticles. J. Water Supply Res. Technol. AQUA 2018, 67, 754–765. [Google Scholar] [CrossRef]
- Chaibou Yacouba, A.R.; Oral, A.E.; Sert, S.; Kaptanoglu, I.G.; Natatou, I.; Yusan, S.; Aytas, S. Removal of lanthanum and cerium from aqueous solution using chitosan-functionalized magnetite-pectin. Discov. Water 2024, 4, 1. [Google Scholar] [CrossRef]
- Khotimchenko, M.Y.; Kolenchenko, E.A.; Khotimchenko, Y.S.; Khozhaenko, E.V.; Kovalev, V.V. Cerium binding activity of different pectin compounds in aqueous solutions. Colloids Surf. B Biointerfaces 2010, 77, 104–110. [Google Scholar] [CrossRef]
- Texier, A.C.; Andrès, Y.; Le Cloirec, P. Selective biosorption of lanthanide (La, Eu, Yb) ions by Pseudomonas aeruginosa. Environ. Sci. Technol. 1999, 33, 489–495. [Google Scholar] [CrossRef]
- Jiang, W.; Hu, Y.; Zhu, Z. Biosorption Characteristic and Cytoprotective Effect of Pb2+, Cu2+ and Cd2+ by a Novel Polysaccharide from Zingiber strioatum. Molecules 2022, 27, 8036. [Google Scholar] [CrossRef]
- Ungureanu, E.; Fortună, M.E.; Țopa, D.C.; Brezuleanu, C.O.; Ungureanu, V.I.; Chiruță, C.; Rotaru, R.; Tofanica, B.M.; Popa, V.I.; Jităreanu, D.C. Comparison Adsorption of Cd (II) onto Lignin and Polysaccharide-Based Polymers. Polymers 2023, 15, 3794. [Google Scholar] [CrossRef]
- Chiou, M.S.; Li, H.Y. Equilibrium and kinetic modeling of adsorption of reactive dye on cross-linked chitosan beads. J. Hazard. Mater. 2002, 93, 233–248. [Google Scholar] [CrossRef] [PubMed]
- Wang, J.; Guo, X. Rethinking of the intraparticle diffusion adsorption kinetics model: Interpretation, solving methods and applications. Chemosphere 2022, 309, 136732. [Google Scholar] [CrossRef] [PubMed]
- Chitra, R.; Sathya, P.; Selvasekarapandian, S.; Meyvel, S. Synthesis and characterization of iota-carrageenan biopolymer electrolyte with lithium perchlorate and succinonitrile (plasticizer). Polym. Bull. 2020, 77, 1555–1579. [Google Scholar] [CrossRef]
- Gómez-Ordóñez, E.; Rupérez, P. FTIR-ATR spectroscopy as a tool for polysaccharide identification in edible brown and red seaweeds. Food Hydrocoll. 2011, 25, 1514–1520. [Google Scholar] [CrossRef]
- Vincekovic, M.; Pustak, A.; Tusek-Bozic, L.; Liu, F.; Ungar, G.; Bujan, M.; Smit, I.; Filipovic-Vincekovic, N. Structural and thermal study of mesomorphic dodecylammonium carrageenates. J. Colloid Interf. Sci. 2010, 341, 117–123. [Google Scholar] [CrossRef]
- Ma, S.; Chen, L.; Liu, X.; Li, D.; Ye, N.; Wang, L. Thermal behavior of carrageenan: Kinetic and characteristic studies. Int. J. Green Energy 2012, 9, 13–21. [Google Scholar] [CrossRef]








| Polysaccharide-Based Beads | K | I | A | |||
|---|---|---|---|---|---|---|
| Lanthanide + HM | Y (%) | S- Lantanide (%) | Y (%) | S- Lantanide (%) | Y (%) | S- Lantanide (%) |
| Ce3+ + Rh3+ | 47 ± 1.5 | 45 ± 1.7 | 66 ± 1.6 | 51 ± 2.2 | 68 ± 1.2 | 44 ± 1.4 |
| Ce3+ + Ru3+ | 57 ± 1.1 | 28 ± 0.9 | 69 ± 1.8 | 40 ± 1.1 | 69 ± 1.2 | 40 ± 0.7 |
| Eu3+ + Rh3+ | 50 ± 1.1 | 38 ± 1.9 | 57 ± 1.6 | 53 ± 1.6 | 63 ± 1.9 | 39 ± 3.6 |
| Eu3+ + Ru3+ | 49 ± 2.5 | 24 ± 1.0 | 61 ± 1.1 | 33 ± 1.8 | 66 ± 3.2 | 43 ± 2.5 |
| Step | I | ||
| Onset Temp (°C) | DTG (°C) | Wt Loss (%) | |
| step 1 | 75.8 | 11.5 | |
| step 2 | 115.3 | 172.3 | 13.6 |
| step 3 | 197.0 | 211.3 | 14.2 |
| step 4 | 349.3 | 443.6 | 13.7 |
| step 5 | 550.1 | 657.2 | 14.1 |
| step 6 | 799.2 | 5.9 | |
| residue | 27.0 | ||
| step | I-Ce | ||
| onset Temp (°C) | DTG (°C) | Wt loss (%) | |
| step 1 | 78.9 | 15.3 | |
| step 2 | 139.1 | 158.9 | 12.8 |
| step 3 | 178.1 | 207.8 | 16.3 |
| step 4 | 349.8 | 409.5 | 7.9 |
| step 5 | 528.8 | 595.7 | 14.5 |
| step 6 | 798.1 | 2.4 | |
| residue | 30.8 | ||
| step | I-Ru | ||
| onset Temp (°C) | DTG (°C) | Wt loss (%) | |
| step 1 | 57.9 | 13.3 | |
| step 2 | 150.0 | 193.4 | 17.8 |
| step 3 | 250.0 | 357.44 477.4 | 16.8 |
| step 4 | 550.0 | 686.9 748.2 | 20.6 |
| step 5 | 800.0 | - | 5.6 |
| residue | 25.9 | ||
| step | I-Ru+Ce | ||
| onset Temp (°C) | DTG (°C) | Wt loss (%) | |
| step 1 | 69.5 | 14.3 | |
| step 2 | 150.0 | 165.1 | 22.0 |
| step 3 | 275.0 | 375.9 | 13.2 |
| step 4 | 525.0 | 674.1 | 18.3 |
| step 5 | 750.0 | 4.5 | |
| residue | 27.8 | ||
| step | K | ||
| onset Temp (°C) | DTG (°C) | Wt loss (%) | |
| step 1 | 69.2 | 9.3 | |
| step 2 | 146.6 | 259.4 | 22.4 |
| step 3 | 277.7 | 321.9 | 23.1 |
| step 4 | 500.6 | 747.9 | 12.6 |
| step 5 | 800.2 | 4.4 | |
| residue | 28.2 | ||
| step | K-Ru+Ce | ||
| onset Temp (°C) | DTG (°C) | Wt loss (%) | |
| step 1 | 69.5 | 14.0 | |
| step 2 | 125.0 | 168.0 | 18.2 |
| step 3 | 250.0 | 368.8 | 17.9 |
| step 4 | 500.0 | 666.5 | 16.7 |
| step 5 | 750.0 | 838.3 | 5.7 |
| residue | 27.5 | ||
Disclaimer/Publisher’s Note: The statements, opinions and data contained in all publications are solely those of the individual author(s) and contributor(s) and not of MDPI and/or the editor(s). MDPI and/or the editor(s) disclaim responsibility for any injury to people or property resulting from any ideas, methods, instructions or products referred to in the content. |
© 2025 by the authors. Licensee MDPI, Basel, Switzerland. This article is an open access article distributed under the terms and conditions of the Creative Commons Attribution (CC BY) license (https://creativecommons.org/licenses/by/4.0/).
Share and Cite
Levy-Ontman, O.; Dayan, S.; Paz-Tal, O.; Wolfson, A. Adsorption of Heavy Metal Ions from Multi-Ion Solutions Using Polysaccharide Hydrogels. Polysaccharides 2025, 6, 42. https://doi.org/10.3390/polysaccharides6020042
Levy-Ontman O, Dayan S, Paz-Tal O, Wolfson A. Adsorption of Heavy Metal Ions from Multi-Ion Solutions Using Polysaccharide Hydrogels. Polysaccharides. 2025; 6(2):42. https://doi.org/10.3390/polysaccharides6020042
Chicago/Turabian StyleLevy-Ontman, Oshrat, Shir Dayan, Ofra Paz-Tal, and Adi Wolfson. 2025. "Adsorption of Heavy Metal Ions from Multi-Ion Solutions Using Polysaccharide Hydrogels" Polysaccharides 6, no. 2: 42. https://doi.org/10.3390/polysaccharides6020042
APA StyleLevy-Ontman, O., Dayan, S., Paz-Tal, O., & Wolfson, A. (2025). Adsorption of Heavy Metal Ions from Multi-Ion Solutions Using Polysaccharide Hydrogels. Polysaccharides, 6(2), 42. https://doi.org/10.3390/polysaccharides6020042

