Hydrogen Bond Integration in Potato Microstructure: Effects of Water Removal, Thermal Treatment, and Cooking Techniques
Abstract
1. Introduction
2. Materials and Methods
2.1. Sample Preparation
2.2. Freeze Drying (Freeze-Drying)
2.3. Moisture Content
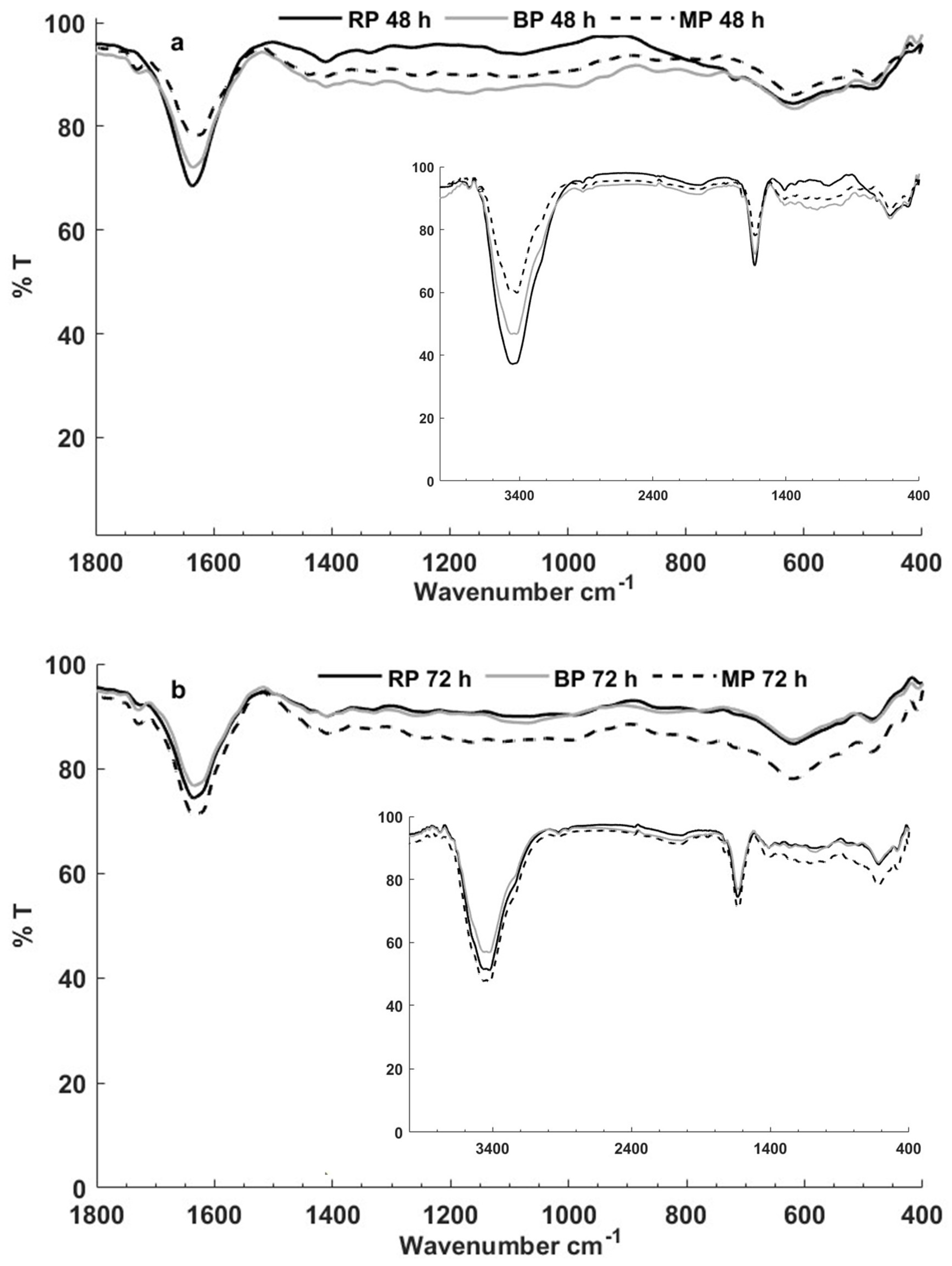
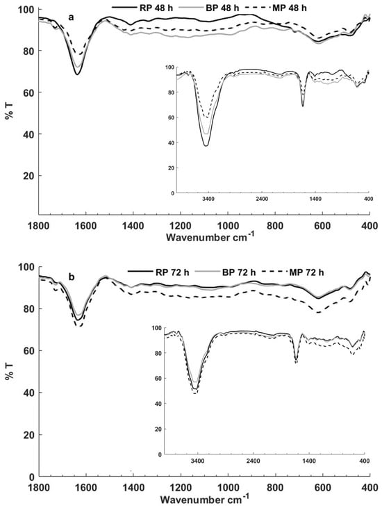
2.4. Fourier Transform Infrared Spectroscopy (FTIR)
2.5. Curve-Fitting Analysis
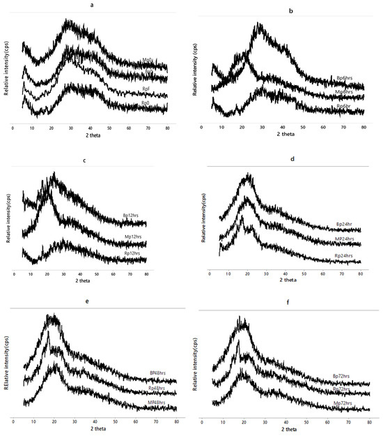
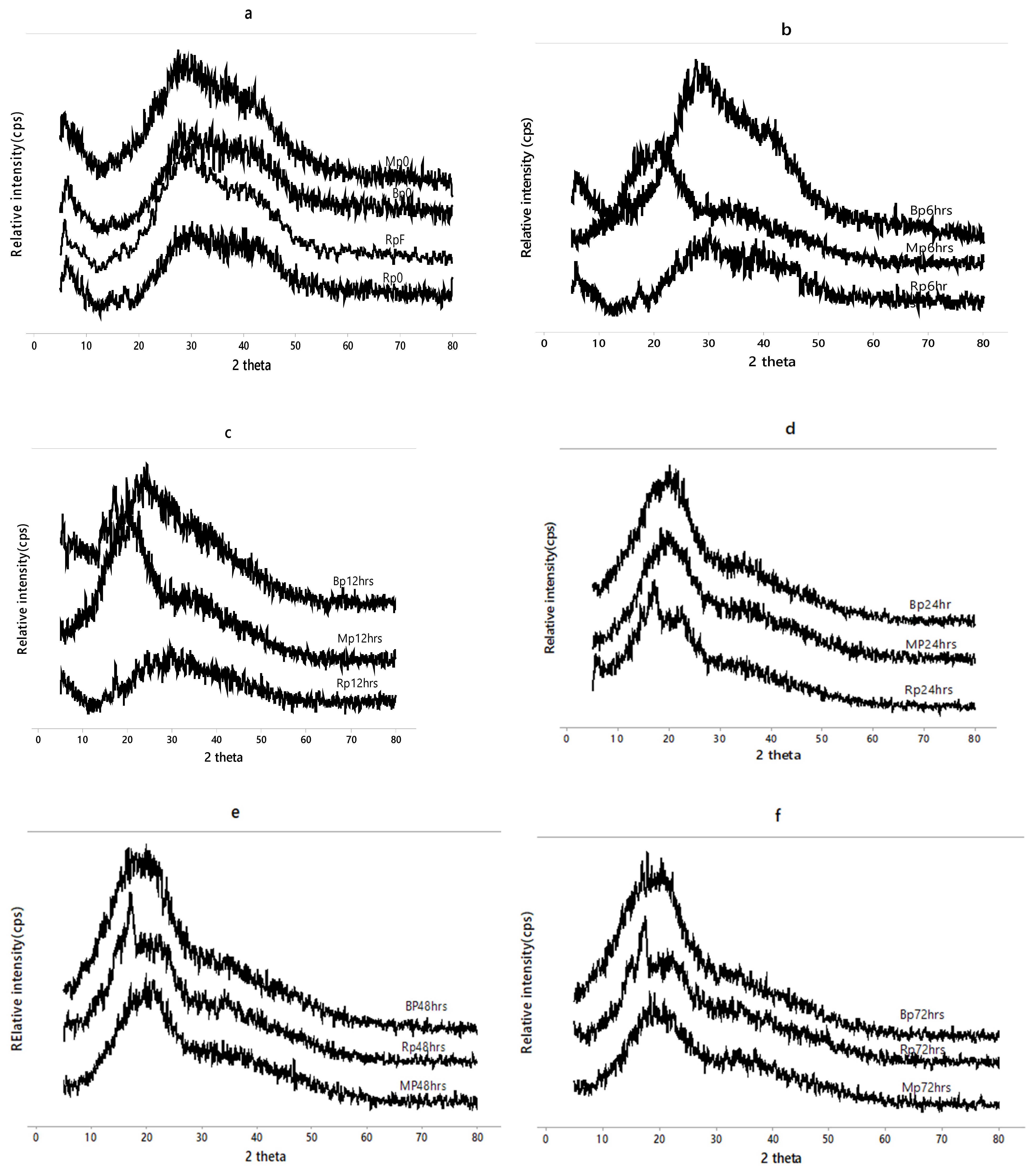
2.6. X-ray Diffraction (X-RD), Relative Crystallinity, and Crystallite Size
2.7. Scanning Electron Microscopy (SEM)
2.8. Statistical Analysis
3. Results and Discussion
3.1. Moisture Content
3.2. Scanning Electron Microscopy (SEM)
3.3. Fourier Transform Infrared Spectroscopy (FTIR)
3.3.1. Structural Analysis
3.3.2. Analysis of the Hydrogen Bond in Starch
3.4. X-ray Diffraction (XRD)
4. Conclusions
Author Contributions
Funding
Institutional Review Board Statement
Data Availability Statement
Conflicts of Interest
References
- Reyniers, S.; Ooms, N.; Gomand, S.V.; Delcour, J.A. What makes starch from potato (Solanum tuberosum L.) tubers unique: A review. Compr. Rev. Food Sci. Food Saf. 2020, 19, 2588–2612. [Google Scholar] [CrossRef] [PubMed]
- Dankar, I.; Haddarah, A.; Omar, F.E.; Pujolà, M.; Sepulcre, F. Characterization of food additive-potato starch complexes by FTIR and X-ray diffraction. Food Chem. 2018, 260, 7–12. [Google Scholar] [CrossRef] [PubMed]
- Eghbaljoo, H.; Sani, I.K.; Sani, M.A.; Rahati, S.; Mansouri, E.; Molaee-Aghaee, E.; Fatourehchi, N.; Kadi, A.; Arab, A.; Sarabandi, K.; et al. Advances in plant gum polysaccharides; Sources, techno-functional properties, and applications in the food industry—A review. Int. J. Biol. Macromol. 2022, 222, 2327–2340. [Google Scholar] [CrossRef] [PubMed]
- Jayanty, S.S.; Diganta, K.; Raven, B. Effects of Cooking Methods on Nutritional Content in Potato Tubers. Am. J. Potato Res. 2019, 96, 183–194. [Google Scholar] [CrossRef]
- Romano, A.; D’Amelia, V.; Gallo, V.; Palomba, S.; Carputo, D.; Masi, P. Relationships between composition, microstructure and cooking performances of six potato varieties. Food Res. Int. 2018, 114, 10–19. [Google Scholar] [CrossRef]
- Oyeyinka, S.A.; Akintayo, O.A.; Adebo, O.A.; Kayitesi, E.; Njobeh, P.B. A review on the physicochemical properties of starches modified by microwave alone and in combination with other methods. Int. J. Biol. Macromol. 2021, 176, 87–95. [Google Scholar] [CrossRef]
- Yang, Y.; Achaerandio, I.; Pujolà, M. Effect of the intensity of cooking methods on the nutritional and physical properties of potato tubers. Food Chem. 2016, 197, 1301–1310. [Google Scholar] [CrossRef]
- Ormerod, A.; Ralfs, J.; Jobling, S.; Gidley, M. The influence of starch swelling on the material properties of cooked potatoes. J. Mater. Sci. 2002, 7, 1667–1673. [Google Scholar] [CrossRef]
- Singh, N.; Kaur, L.; Ezekiel, R.; Guraya, H.S. Microstructural, cooking and textural characteristics of potato (Solanum tuberosum L) tubers in relation to physicochemical and functional properties of their flours. J. Sci. Food Agric. 2005, 85, 1275–1284. [Google Scholar] [CrossRef]
- Fedec, P.; Ooraikul, B.; Hadziyev, D. Microstructure of Raw and Granulated Potatoes. Can. Inst. Food Sci. Technol. J. 1977, 10, 295–306. [Google Scholar] [CrossRef]
- Wang, B.; Chen, S.; Huang, C.; Lin, Y.; Liang, Y.; Xiong, W.; Zhang, B.; Liu, R.; Ding, L. Comparative study on the structural and in vitro digestion properties of starch within potato parenchyma cells under different cooking methods. Int. J. Biol. Macromol. 2022, 223, 1443–1449. [Google Scholar] [CrossRef] [PubMed]
- Cameron, D.K.; Wang, Y.-J. A Better Understanding of Factors That Affect the Hardness and Stickiness of Long-Grain Rice. Cereal Chem. 2005, 82, 113–119. [Google Scholar] [CrossRef]
- Van Soest, J.J.; Hulleman, S.H.D.; De Wit, D.; Vliegenthart, J.F.G. Crystallinity in strach bioplastics. Ind. Crop. Prod. 1996, 5, 11–22. [Google Scholar] [CrossRef]
- Yang, S.; Dhital, S.; Shan, C.S.; Zhang, M.N.; Chen, Z.G. Ordered structural changes of retrograded starch gel over long-term storage in wet starch noodles. Carbohydr. Polym. 2021, 270, 118367. [Google Scholar] [CrossRef]
- Olad, A.; Doustdar, F.; Gharekhani, H. Fabrication and characterization of a starch-based superabsorbent hydrogel composite reinforced with cellulose nanocrystals from potato peel waste. Colloids Surf. A Physicochem. Eng. Asp. 2020, 601, 124962. [Google Scholar] [CrossRef]
- Kaláb, M.; Allan-Wojtas, P.; Miller, S.S. Microscopy and other imaging techniques in food structure analysis. Trends Food Sci. Technol. 1995, 6, 177–186. [Google Scholar] [CrossRef]
- Flores-Morales, A.; Jiménez-Estrada, M.; Mora-Escobedo, R. Determination of the structural changes by FT-IR, Raman, and CP/MAS 13C NMR spectroscopy on retrograded starch of maize tortillas. Carbohydr. Polym. 2012, 87, 61–68. [Google Scholar] [CrossRef]
- Zhang, N.; Liu, X.; Yu, L.; Shanks, R.; Petinaks, E.; Liu, H. Phase composition and interface of starch–gelatin blends studied by synchrotron FTIR micro-spectroscopy. Carbohydr. Polym. 2013, 95, 649–653. [Google Scholar] [CrossRef]
- Ma, Y.; Chen, Z.; Wang, Z.; Chen, R.; Zhang, S. Molecular interactions between apigenin and starch with different amyl ose/amylopectin ratios revealed by X-ray diffraction, FT-IR and solid-state NMR. Carbohydr. Polym. 2023, 310, 120737. [Google Scholar] [CrossRef]
- Battistel, M.D.; Pendrill, R.; Widmalm, G.; Freedberg, D.I. Direct evidence for hydrogen bonding in glycans: A combined NMR and molecular dynamics study. J. Phys. Chem. B 2013, 117, 4860–4869. [Google Scholar] [CrossRef]
- Kumar, Y.; Singh, L.; Sharanagat, V.S.; Patel, A.; Kumar, K. Effect of microwave treatment (low power and varying time) on potato starch: Microstructure, thermo-functional, pasting and rheological properties. Int. J. Biol. Macromol. 2020, 155, 27–35. [Google Scholar] [CrossRef] [PubMed]
- Van Soest, J.J.; Hulleman, S.H.D.; De Wit, D.; Vliegenthart, J.F.G. Changes in the mechanical properties of thermoplastic potato starch in relation with changes in B-type crystallinity. Carbohydr. Polym. 1996, 29, 225–232. [Google Scholar] [CrossRef]
- AACC. Approved Methods of Analysis; Method 44-15.02: Moisture–Air-Oven Methods. Available online: https://www.bing.com/ck/a?!&&p=9568e7a101cc1a9aJmltdHM9MTcyODA4NjQwMCZpZ3VpZD0wMDkzMzc4Yy03MThhLTZlOTctMjFiMy0yNjgzNzA0YTZmZWUmaW5zaWQ9NTE4NA&ptn=3&ver=2&hsh=3&fclid=0093378c-718a-6e97-21b3-2683704a6fee&psq=AACC.+Approved+Methods+of+Analysis%3b+Moisture%e2%80%93Air-Oven+Methods+for+moisture+content.+references&u=a1aHR0cHM6Ly93d3cuY2VyZWFsc2dyYWlucy5vcmcvcmVzb3VyY2VzL01ldGhvZHMvUGFnZXMvZGVmYXVsdC5hc3B4&ntb=1 (accessed on 5 October 2024).
- Schmidt, D.A.; Miki, K. Structural Correlations in Liquid Water: A New Interpretation of IR Spectroscopy. J. Phys. Chem. A 2007, 111, 10119–10122. [Google Scholar] [CrossRef] [PubMed]
- Nara, S.; Komiya, T. Studies on the Relationship between Water-saturated State and Crystallinity by the Diffraction Method for Moistened Potato Starch. Starch Stärke 1983, 35, 407–410. [Google Scholar] [CrossRef]
- de Oliveira Krauser, M.; de Souza Oliveira, H.H.; Cebim, M.A.; Davolos, M.R. Relationship between scintillation properties and crystallite sizes in Y2O3:Eu3+. J. Lumin. 2018, 203, 100–104. [Google Scholar] [CrossRef]
- Decker, E.A.; Ferruzzi, M.G. Innovations in food chemistry and processing to enhance the nutrient profile of the white potato in all forms. Adv. Nutr. 2013, 4, 345S–350S. [Google Scholar] [CrossRef]
- Andersson, A.; Gekas, V.; Lind, I.; Oliveira, F.; Öste, R.; Aguilfra, J.M. Effect of Preheating on Potato Texture. Crit. Rev. Food Sci. Nutr. 1994, 34, 229–251. [Google Scholar] [CrossRef]
- Szymońska, J.; Krok, F.; Komorowska-Czepirska, E.; Rebilas, K. Modification of granular potato starch by multiple deep-freezing and thawing. Carbohydr. Polym. 2003, 52, 1–10. [Google Scholar] [CrossRef]
- Yadav, A.R.; Guha, M.; Tharanathan, R.N.; Ramteke, R.S. Changes in characteristics of sweet potato flour prepared by different drying techniques. LWT Food Sci. Technol. 2006, 39, 20–26. [Google Scholar] [CrossRef]
- Zhang, B.; Wang, K.; Hasjim, J.; Li, E.; Flanagan, B.M.; Gidley, M.J.; Dhital, S. Freeze-drying changes the structure and digestibility of B-polymorphic starches. J. Agric. Food Chem. 2014, 62, 1482–1491. [Google Scholar] [CrossRef]
- Bouchon, P.; Aguilera, J.M. Microstructural analysis of frying potatoes. Int. J. Food Sci. Technol. 2001, 36, 669–676. [Google Scholar] [CrossRef]
- Xie, Y.; Yan, M.; Yuan, S.; Sun, S.; Huo, Q. Effect of microwave treatment on the physicochemical properties of potato starch granules. Chem. Cent. J. 2013, 7, 1–7. [Google Scholar] [CrossRef] [PubMed]
- Wang, R.; Chen, C.; Guo, S. Effects of drying methods on starch crystallinity of gelatinized foxtail millet (α-millet) and its eating quality. J. Food Eng. 2017, 207, 81–89. [Google Scholar] [CrossRef]
- Chen, X.; Li, X.; Mao, X.; Huang, H.; Wang, T.; Qu, Z.; Miao, J.; Gao, W. Effects of drying processes on starch-related physicochemical properties, bioactive components and antioxidant properties of yam flours. Food Chem. 2017, 224, 224–232. [Google Scholar] [CrossRef] [PubMed]
- Fan, D.; Ma, W.; Wang, L.; Huang, J.; Zhao, J.; Zhang, H.; Chen, W. Determination of structural changes in microwaved rice starch using Fourier transform infrared and Raman spectroscopy. Starch Stärke 2012, 64, 598–606. [Google Scholar] [CrossRef]
- Zhang, J.; Chen, F.; Liu, F.; Wang, Z.W. Study on structural changes of microwave heat-moisture treated resistant Canna edulis Ker starch during digestion in vitro. Food Hydrocoll. 2010, 24, 27–34. [Google Scholar] [CrossRef]
- Olsson, A.M.; Salmén, L. The association of water to cellulose and hemicellulose in paper examined by FTIR spectroscopy. Carbohydr. Res. 2004, 339, 813–818. [Google Scholar] [CrossRef]
- Kačuráková, M.; Mathlouthi, M. FTIR and laser-Raman spectra of oligosaccharides in water: Characterization of the glycosidic bond. Carbohydr. Res. 1996, 284, 145–157. [Google Scholar] [CrossRef]
- Cael, J.J.; Gardner, K.H.; Koenig, J.L.; Blackwell, J. Infrared and Raman spectroscopy of carbohydrates. Paper V. Normal coordinate analysis of cellulose I. J. Chem. Phys. 1975, 62, 1145–1153. [Google Scholar] [CrossRef]
- Siemion, P.; Jabłońska, J.; Kapuśniak, J.; Kozioł, J.J. Solid State Reactions of Potato Starch with Urea and Biuret. J. Polym. Environ. 2004, 12, 247–255. [Google Scholar] [CrossRef]
- Kizil, R.; Irudayaraj, J.; Seetharaman, K. Characterization of irradiated starches by using FT-Raman and FTIR spectroscopy. J. Agric. Food Chem. 2002, 50, 3912–3918. [Google Scholar] [CrossRef] [PubMed]
- Baianu, I.C.; Yakubu, P.I.; Ozu, E. Structural and hydration studies of waxy and mealy potato starch cultivars by deuterium, carbon-13 CP-MAS/MASS NMR, and electron microscopy. Macromol. Symp. 1999, 140, 187–195. [Google Scholar] [CrossRef]
- Richardson, S.J.; Baianu, I.C.; Steinberg, M.P. Mobility of Water in Corn Starch Suspensions Determined by Nuclear Magnetic Resonance. Starch Stärke 1987, 39, 79–83. [Google Scholar] [CrossRef]
- Hoover, R. Composition, molecular structure, and physicochemical properties of tuber and root starches: A review. Carbohydr. Polym. 2001, 45, 253–267. [Google Scholar] [CrossRef]
- Liu, H.; Xie, F.; Yu, L.; Chen, L.; Li, L. Thermal processing of starch-based polymers. Prog. Polym. Sci. 2009, 34, 1348–1368. [Google Scholar] [CrossRef]
- Zobel, H.F. Starch Crystal Transformations and Their Industrial Importance. Starch Stärke 1988, 40, 1–7. [Google Scholar] [CrossRef]
- Jane, J. Structure of Starch Granules. J. Appl. Glycosci. 2007, 54, 31–36. [Google Scholar] [CrossRef]
- Bogracheva, T.Y.; Morris, V.J.; Ring, S.G.; Hedley, C.L. The granular structure of C-type pea starch and its role in gelatinization. Biopolymers 1998, 45, 323–332. [Google Scholar] [CrossRef]
- Srikanlaya, C.; Therdthai, N.; Ritthiruangdej, P.; Zhou, W. Effect of butter content and baking condition on characteristics of the gluten-free dough and bread. Int. J. Food Sci. Technol. 2017, 52, 1904–1913. [Google Scholar] [CrossRef]
- Wang, L.; Wang, M.; Zhou, Y.; Wu, Y.; Ouyang, J. Influence of ultrasound and microwave treatments on the structural and thermal properties of normal maize starch and potato starch: A comparative study. Food Chem. 2022, 377, 131990. [Google Scholar] [CrossRef]
- Dome, K.; Podgorbunskikh, E.; Bychkov, A.; Lomovsky, O. Changes in the crystallinity degree of starch having different types of crystal structure after mechanical pretreatment. Polymers 2020, 12, 641. [Google Scholar] [CrossRef] [PubMed]
- Han, Z.; Li, Y.; Luo, D.H.; Zhao, Q.; Cheng, J.H.; Wang, J.H. Structural variations of rice starch affected by constant power microwave treatment. Food Chem. 2021, 359, 129887. [Google Scholar] [CrossRef] [PubMed]
- Capron, I.; Robert, P.; Colonna, P.; Brogly, M.; Planchot, V. Starch in rubbery and glassy states by FTIR spectroscopy. Carbohydr. Polym. 2007, 68, 249–259. [Google Scholar] [CrossRef]
- Chen, X.; Mao, X.; Jiang, Q.; Wang, T.; Li, X.; Gao, W. Study on the physicochemical properties and in vitro digestibility of starch from yam with different drying methods. Int. J. Food Sci. Technol. 2016, 51, 1787–1792. [Google Scholar] [CrossRef]










| Samples | |||||||||
|---|---|---|---|---|---|---|---|---|---|
| RP | BP | MP | |||||||
| Freeze Drying Time (h) | cm−1 | % ν(OH) | R2 | cm−1 | % ν(OH) | R2 | cm−1 | % ν(OH) | R2 |
| 0 | 3618 3414 3180 | 19.8 60.6 19.6 | 0.9972 | 3600 3457 3242 | 15.33 47.95 36.72 | 0.9982 | 3596 3448 3237 | 15.90 52.40 31.70 | 0.9976 |
| 6 | 3588 3447 3239 | 15.2 50.5 34.3 | 0.9986 | 3533 3412 3270 | 34.26 41.75 23.99 | 0.9989 | 3508 3399 3262 | 57.09 22.14 20.76 | 0.9974 |
| 12 | 3578 3445 3258 | 16.2 57.9 25.9 | 0.9996 | 3527 3398 3247 | 43.53 41.35 15.11 | 0.9990 | 3566 3438 3265 | 21.15 56.15 22.70 | 0.9994 |
| 24 | 3548 3424 3271 | 30.1 45.0 24.9 | 0.9995 | 3555 3427 3270 | 28.40 44.90 26.70 | 0.9993 | 3571 3432 3236 | 15.93 72.04 12.03 | 0.9996 |
| 48 | 3559 3426 3262 | 27.8 47.6 24.6 | 0.9996 | 3564 3431 3256 | 23.30 55.40 21.30 | 0.9994 | 3549 3421 3256 | 30.09 50.56 19.35 | 0.9991 |
| 72 | 3555 3430 3267 | 25.0 49.33 25.63 | 0.9994 | 3533 3412 3263 | 39.20 38.70 22.10 | 0.9993 | 3548 3421 3268 | 33.22 41.19 25.59 | 0.9992 |
| The Average Crystallite Size (nm) | |||
|---|---|---|---|
| Lyophilization Time (h) | (RP) | (MP) | (BP) |
| 0 | 1.602 ± 0.158 b | 1.32 ± 0.035 b,c,d | 0.856 ± 0.024 e,f,g |
| 6 | 1.077 ± 0.064 c,d,e | 0.550 ± 0.022 g,h,i | 0.740 ± 0.016 f,g,h |
| 12 | 2.570 ± 0.238 a | 0.595 ± 0.038 f,g,h,i | 0.388 ± 0.031 i |
| 24 | 1.190 ± 0.267 b,c | 0.523 ± 0.01 h,i | 0.383 ± 0.015 i |
| 48 | 0.946 ± 0.099 d,e | 0.522 ± 0.013 h,i | 0.389 ± 0.024 i |
| 72 | 0.928 ± 0.162 e,f | 0.545 ± 0.011 g,h,i | 0.388 ± 0.017 i |
Disclaimer/Publisher’s Note: The statements, opinions and data contained in all publications are solely those of the individual author(s) and contributor(s) and not of MDPI and/or the editor(s). MDPI and/or the editor(s) disclaim responsibility for any injury to people or property resulting from any ideas, methods, instructions or products referred to in the content. |
© 2024 by the authors. Licensee MDPI, Basel, Switzerland. This article is an open access article distributed under the terms and conditions of the Creative Commons Attribution (CC BY) license (https://creativecommons.org/licenses/by/4.0/).
Share and Cite
Dankar, I.; Haddarah, A.; Pujolà, M.; Sepulcre, F. Hydrogen Bond Integration in Potato Microstructure: Effects of Water Removal, Thermal Treatment, and Cooking Techniques. Polysaccharides 2024, 5, 609-629. https://doi.org/10.3390/polysaccharides5040039
Dankar I, Haddarah A, Pujolà M, Sepulcre F. Hydrogen Bond Integration in Potato Microstructure: Effects of Water Removal, Thermal Treatment, and Cooking Techniques. Polysaccharides. 2024; 5(4):609-629. https://doi.org/10.3390/polysaccharides5040039
Chicago/Turabian StyleDankar, Iman, Amira Haddarah, Montserrat Pujolà, and Francesc Sepulcre. 2024. "Hydrogen Bond Integration in Potato Microstructure: Effects of Water Removal, Thermal Treatment, and Cooking Techniques" Polysaccharides 5, no. 4: 609-629. https://doi.org/10.3390/polysaccharides5040039
APA StyleDankar, I., Haddarah, A., Pujolà, M., & Sepulcre, F. (2024). Hydrogen Bond Integration in Potato Microstructure: Effects of Water Removal, Thermal Treatment, and Cooking Techniques. Polysaccharides, 5(4), 609-629. https://doi.org/10.3390/polysaccharides5040039

