Abstract
Rice husk (RH) is a widely available lignocellulosic residue for biohydrogen production but requires effective pretreatment to overcome lignin-related recalcitrance. This study investigates the kinetics of lignin removal from RH using 3% sodium hydroxide (NaOH) and water pretreatments at high temperatures between 100 and 129 °C (25 °C control) with short reaction times (15–60 min) in an autoclave system. Biomass composition, solid yield, delignification efficiency, and enzymatic hydrolysis for glucose production were evaluated. NaOH pretreatment achieved up to 72.72% lignin removal at 129 °C after 60 min, significantly outperforming water pretreatment, which reached a maximum delignification of 20.24% under the same conditions. Kinetic analysis revealed first-order reaction behavior, with the kinetic rate constants varying between 5.14 × 10−5 and 4.31 × 10−3 with water pretreatment and from 3.73 × 10−4 to 2.46 × 10−2 with NaOH and activation energies of 42.61 kJ mol−1 K−1 and 39.31 kJ mol−1 K−1 for water and NaOH pretreatment, respectively. Enhanced lignin removal improved cellulose accessibility, resulting in glucose yields from enzymatic hydrolysis of up to 52.13 mg/g for NaOH-treated samples, double those obtained with water pretreatment (26.97 mg/g). While NaOH pretreatment achieved higher lignin removal efficiency and glucose yield, it exhibited significantly higher environmental impacts across multiple categories, including global warming potential and terrestrial ecotoxicity, based on the life cycle assessment (LCA). Even water-based pretreatment showed considerable burdens; thus, both pretreatment methods impose high life cycle impacts when applied to RH, which makes it an unsustainable feedstock for glucose production under the evaluated conditions. Alternative feedstocks or improved process integration strategies are required for environmentally viable biohydrogen production.
1. Introduction
Biomass has been receiving increasing attention as a potential bioenergy resource to mitigate climate change and the energy crisis. Because of its abundance on earth, biomass is gaining popularity in char, biochemicals, and biofuel production such as biohydrogen and bioethanol, as well as in heat and power generation as an alternative to fossil fuels [1,2,3,4]. Rice husk (RH), a byproduct of rice milling, constitutes a significant fraction of lignocellulosic agricultural waste. Accounting for approximately 20% of rice grain weight, RH poses disposal challenges, especially when incinerated or dumped in landfills. Its improper handling contributes to environmental pollution and public health concerns. However, its abundance, low cost, and rich lignocellulosic composition render it a promising raw material for sustainable bioenergy applications [5]. Increasingly, RHs are being valued as a renewable feedstock for biofuel production, reducing open field burning and its associated environmental footprint.
Biohydrogen generation, especially through dark fermentation, depends heavily on the supply of fermentable sugars such as glucose, xylose, and other hydrolysis-derived monomers. Because hydrogen-producing bacteria lack the enzymatic capacity to efficiently deconstruct raw lignocellulose, pretreatment and saccharification are crucial upstream steps [6,7]. As a non-food lignocellulosic feedstock, rice husk offers a sustainable alternative to first-generation resources, enabling the same released sugars to be used for biohydrogen production while minimizing competition with food supplies. Lignocellulosic biomass primarily consists of three biopolymers: cellulose, hemicellulose, and lignin. These components are interconnected by ether, ester, and carbon–carbon bonds, which form both internal and cross-linking connections, resulting in a complex and tightly bound matrix [8]. Lignin, constituting approximately 10–20% of lignocellulosic biomass, is the second most abundant natural polymer, primarily made up of phenolic monomers. It provides structural rigidity, hydrophobicity, and resistance to microbial attack within plant cell walls [9]. It is highly recalcitrant, posing a major barrier to the enzymatic saccharification of cellulose. While lignin can be effectively disrupted by pretreatment or depolymerization methods [10], its removal remains a critical step for enhancing downstream biofuel yields [11]. Efficient pretreatment is, therefore, essential, especially in integrated hydrogen systems where upstream sugar release governs downstream volumetric hydrogen productivity. Therefore, lignocellulosic biomass must be pretreated to degrade lignin before the extraction of glucose for biohydrogen production [12]. Additionally, lignin extraction is beneficial, as it improves biomass digestibility for higher sugar yields while providing a renewable source of valuable bioproducts, materials, and energy, thus enhancing overall biomass valorization and sustainability [13,14].
Among the available pretreatment methods, chemical pretreatment is widely employed due to its ability to significantly alter the structure of biomass using organic or inorganic reagents. Alkaline pretreatment has gained attention as an alternative to acidic or oxidative pretreatments. It utilizes milder and less corrosive chemicals such as sodium hydroxide, ammonia, and lime to selectively solubilize lignin while preserving the carbohydrate fractions. Unlike acidic pretreatment, which often leads to the degradation of sugars and formation of inhibitory byproducts such as furfural and hydroxymethylfurfural (HMF), alkaline pretreatment minimizes sugar loss. Moreover, it has been shown to be effective under relatively mild operating conditions, lower temperatures (typically 25–120 °C), and shorter residence times, which makes it more energy-efficient and cost-effective. This mildness also reduces equipment corrosion and the need for extensive detoxification prior to fermentation [15,16,17,18]. During alkaline pretreatment, the structure of lignin in biomass can be altered by decomposing the side chains of esters and glycosides, resulting in swelling as well as reducing the degree of polymerization and de-crystallization of cellulose and hemicellulose solvation [19,20]. The reactivity of the residual polysaccharides is improved by alkaline pretreatment that removes lignin. Sodium hydroxide (NaOH), potassium hydroxide (KOH), calcium hydroxide (Ca(OH)2), and ammonium salts (NH4OH) are the commonly applied alkaline reagents. Among these, NaOH has been widely recognized for its superior ability to disrupt the lignin and hemicellulose matrix of lignocellulosic biomass. Its strong alkalinity facilitates the cleavage of ester linkages between lignin and hemicellulose, as well as the breaking of carbon–carbon bonds within lignin structures, thereby enhancing the porosity of the biomass and improving cellulose accessibility [21]. Its widespread adoption in both laboratory and industrial settings is attributed to its strong alkalinity, cost-effectiveness, broad availability, and ease of handling. These characteristics make NaOH a practical and scalable option for large-scale biohydrogen production. Numerous studies have reported its high efficacy in improving biomass digestibility, enhancing enzymatic hydrolysis, and increasing fermentable sugar yields [5,16]. Nevertheless, NaOH pretreatment presents certain challenges. Higher reagent dosages are often required to improve delignification, leading to the generation of substantial volumes of black liquor, which complicates effluent management. Moreover, increased alkali concentrations can cause excessive hemicellulose degradation, thereby reducing the overall sugar yield and feedstock utilization efficiency [22].
Water pretreatment, on the other hand, is a cost-effective and environmentally friendly method because it avoids the need for costly and complex downstream processes such as neutralization and black liquor management that are associated with acidic and alkaline pretreatments. Moreover, it reduces the risk of chemical residues in the biomass, simplifying waste disposal and lowering the environmental impact. However, water pretreatment alone generally results in lower delignification and lower sugar yields unless applied at significantly high temperatures and prolonged reaction times, which can increase energy consumption and operational costs. Therefore, while water pretreatment offers simplicity and sustainability advantages, its efficiency often requires optimization or combination with other methods to achieve industrially relevant sugar-production levels [23].
Despite its abundance and potential as a feedstock for biohydrogen-oriented sugar production, rice husk has not been extensively investigated for its suitability in glucose-based biohydrogen production. Delignification is a critical step in releasing sugars from lignocellulosic biomass; thus, pretreatment is essential. Most studies employ long pretreatment times or high chemical loads or focus solely on sugar yield with little attention to the short-time kinetics of lignin removal that govern process efficiency. Furthermore, the environmental burdens associated with these pretreatment routes have not been assessed alongside their technical performance. This gap limits our understanding of whether effective lignin solubilization can be achieved without compromising environmental sustainability. This study compares the kinetics of lignin removal from rice husk using 3% NaOH and water pretreatments at high temperatures (100–129 °C; 25 °C control) and short reaction times (15–60 min), and evaluates how lignin removal efficiency influences glucose release during enzymatic hydrolysis, in contrast to conventional long-duration pretreatments. In addition, a comprehensive LCA is conducted to examine the broader environmental implications of each pretreatment method. Integrating lignin removal reaction kinetics with LCA provides a holistic basis for determining whether improvements in feedstock digestibility align with the goals of low-impact and economically viable biohydrogen production. This study is based on the following research questions:
- (i)
- How significantly does increasing the pretreatment temperature beyond 100 °C, compared to room temperature conditions, accelerate lignin removal from rice husk when using water and NaOH during short reaction periods?
- (ii)
- How do the reaction rate constants and activation energies of the optimal kinetic model differ across the various pretreatment conditions?
- (iii)
- How does the degree of lignin removal achieved through water and NaOH pretreatments affect glucose yield during enzymatic hydrolysis?
- (iv)
- Is there a direct relationship between pretreatment effectiveness in lignin solubilization and the magnitude of environmental impacts as measured through LCA?
This study is based on the hypothesis that NaOH pretreatment, owing to its higher delignification capability, will achieve substantially higher lignin removal than water under identical conditions, resulting in increased glucose yield and lower environmental impacts due to higher glucose production.
This study begins with Section 1 (Introduction), which presents the background, reviews the literature to identify knowledge gaps, and states the novelty and objectives of this study. Section 2 (Materials and Methods) outlines the pretreatment procedures, kinetic analysis, and compositional measurement techniques. Section 3 (Results) reports the outcomes of lignin removal, reaction rate evaluation, and glucose production. Section 4 (Life Cycle Assessment) analyzes the environmental impacts of the pretreatment processes across 18 impact categories. Section 5 (Discussion) interprets the results and compares them with previous studies. Finally, Section 6 (Conclusion) summarizes the key findings from this study.
2. Materials and Methods
2.1. Raw Material
The overall research framework is shown in Figure 1. RH was sourced from a local rice milling farm in Saijo, Higashi-Hiroshima, Japan, and used on a dry basis. It was thoroughly washed with distilled water to remove soil and surface impurities, then air-dried. The dried husk was ground using a mechanical grinder and sieved through a 2 mm mesh to ensure uniform particle size. The processed RH was stored in sealed plastic bags at room temperature to preserve its properties until further use. All reagents used were of analytical grade and were used without further purification. Sodium hydroxide (NaOH, ≥98%, pellets, anhydrous), sulfuric acid (H2SO4, 95–98%), and potassium sodium tartrate-4-hydrate (KNaC4H4O6.4H2O) were purchased from Sigma-Aldrich Inc. D-glucose (C6H12O6) was purchased from Nacalai Tesque, Inc., Kyoto, Japan. 3,5-Dinitrosalicyclic acid ((O2N)2C6H2(OH)COOH) was purchased from Fujifilm Wako Chemical Corporation, Osaka, Japan. High-purity water (Milli-Q Millipore 18.2 MΩ.cm) was used in all the experiments.
Figure 1.
Research methods.
2.2. RH Pretreatment
10 g of RH was soaked in 150 mL of either 3% NaOH or distilled water, maintaining a solid-to-liquid ratio of 1:15. Samples were then autoclaved at target temperatures of 100 °C, 115 °C, and 129 °C and target reaction times of 15, 30, 45, and 60 min. Reaction time was recorded only after the system reached the desired temperature from room temperature. Control experiments at 25 °C were conducted in glass flasks using a magnetic stirrer. After pretreatment, the mixture was filtered to recover the solid, which was thoroughly rinsed with distilled water until neutral pH, then dried at 80 °C for 24 h. The dried samples were subsequently analyzed for cellulose, hemicellulose, and lignin and used in enzymatic hydrolysis experiments.
2.3. Compositional Analysis
The compositional analysis of RH was evaluated according to the Chesson standard methodology [24,25,26]. The Chesson method used in this study relies on sequential hydrolysis, in which each treatment selectively dissolves a single biomass component. Hot water extraction removes soluble extractives, 0.5 M H2SO4 specifically hydrolyzes hemicellulose, and the combination of 72% H2SO4 and 0.5 M H2SO4 fully hydrolyzes cellulose, leaving acid-insoluble lignin. (a). 1 g of RH was refluxed with 150 mL of deionized water for 2 h at 100 °C to remove water-soluble extractives. This was filtered, rinsed with deionized water, dried in the oven at 80 °C, and weighed (b). The dried residue was then combined with 150 mL of 0.5 M of H2SO4 and refluxed for 2 h at 100 °C, filtered, rinsed with deionized water, and dried to a constant weight (c). The dried residue was soaked in 10 mL of 72% (v/v) H2SO4 at room temperature for 4 h; after 4 h, 150 mL of 0.5 M H2SO4 was added and refluxed at 100 °C for 2 h, filtered, rinsed, dried, and weighed (d). The residue was heated in a muffle furnace at 300 °C for 1 h. The lignocellulosic composition was then evaluated as shown in Equations (1)–(3).
2.4. Lignin Removal Kinetics
Delignification kinetics were assessed based on lignin removal from RH for each reaction time and temperature. The lignin solubilization ratio at any given time (t) is shown in Equation (4) [27]:
L(t) is the lignin removal ratio at time t, is the initial lignin content (wt.%) in the untreated RH, and is the lignin content (wt.%) in the pretreated RH at time t.
When biomass is treated with a pretreatment solution, the resulting reaction medium behaves as a pseudo homogeneous system, and the pretreatment can be described by first-order kinetics. Therefore, delignification by pretreatment is assumed to be a first-order reaction, and the reaction rate is expressed in Equation (5) [27]:
whereby k is the reaction rate constant.
By solving Equation (5) with initial conditions L = 0 at time t = 0, a time-dependent expression of lignin solubilization ratio (L) can be obtained.
The kinetic rate constants were calculated by the iteration of the abovementioned Equations (5) and (6) and determined by the least square of error (LSE) method in Microsoft Excel to minimize the objective function, which was the quadratic sum of difference between calculated and experimental data, as expressed in Equation (7), which gives the best fitting between the calculated and experimental values:
where [exp] = the experimental lignin ratio and [cal] = the calculated lignin ratio predicted by the set of kinetic parameters.
The temperature dependence of delignification allows a correlation between the rate constant and temperature to be established through the activation energy. This energy represents the minimum amount required for the molecules in the pretreatment solution to initiate the delignification process. The relationship between the rate constant and temperature follows the Arrhenius law shown in Equation (8) [28]:
where A = Arrhenius constant, = activation energy (kJ·mol−1), R = universal gas constant = 8.314 J·mol−1K−1, and T = absolute temperature (K). Assuming the RH biomass contains a single type of lignin and that each lignin fraction is kinetically uniform, the activation energy () for delignification can be estimated using the logarithmic form of the Arrhenius equation as expressed in Equation (9).
By plotting ln k against , the activation energy can be determined whereby the slope of the plot corresponds to and the intercept corresponds to ln A, which allows for the calculation of the Arrhenius constant.
2.5. Enzymatic Hydrolysis
Enzymatic hydrolysis was conducted as in a previous study by Tsai et al. [18], with minor modifications. For enzymatic hydrolysis, only RH pretreated under the conditions yielding the lowest and highest lignin removal ratios was chosen. Specifically, samples from water and NaOH pretreatment at 25 °C and 129 °C with reaction times of 15 and 60 min were selected. First, 1 g of pretreated RH was mixed with 19 mL of 0.05 mol/L citrate buffer (pH 4.8) to form a 5% slurry, autoclaved at 121 °C for 30 min, then cooled. Next, cellulase enzyme corresponding to the enzyme activity of 30 FPU/g was added, and the mixture was incubated at 50 °C in a water bath for 48 h with constant shaking at 120 rpm. Then, 200 µL samples were collected every 12 h in a 1 mL micro-centrifuge tube and centrifuged at 10,000 rpm to remove unreacted solid. The supernatant was diluted 10 times and stored at 4 °C until analyzed for glucose.
2.6. Reducing Sugar Analysis
The concentration of reducing sugar in the enzymatic hydrolysate was determined using the well-established 3,5-dinitrosalicylic acid (DNSA) colorimetric assay. In this procedure, 1 mL of hydrolysate sample from enzymatic hydrolysis was mixed with 1 mL of DNSA reagent. The mixture was then incubated in a boiling water bath at 100 °C for 15 min to facilitate the reduction of DNSA by the reducing sugars present in the sample, resulting in the formation of a colored complex (orange to reddish color). After heating, the sample tubes were immediately cooled to room temperature to stop further reaction. The absorbance of each sample was subsequently measured at a wavelength of 540 nm using a microplate reader (Multiskan™ Microplate Spectrophotometer, Thermo Fisher Scientific, Osaka, Japan). To quantify the reducing sugar concentration, a standard calibration curve was prepared using known concentration of D-glucose, which allowed for the conversion of absorbance values to glucose equivalents [29].
3. Results
3.1. Solid Yield
The solid yield was evaluated to quantify the biomass loss under each pretreatment condition. As shown in Figure 2, with water pretreatment, the solid yield remained consistently high (0.85–0.95) across all temperatures and reaction times, showing minimal degradation or removal of solid matter. Even at the highest temperature of 129 °C and the longest reaction time of 60 min, the yield dropped only marginally compared to the 25 °C condition. Although hot water can disrupt the physical structure of the biomass through swelling, hemicellulose solubilization, and partial ester bond hydrolysis, the absence of reactive catalytic species limits the breakdown of the major lignin carbohydrate complex, resulting in lower solid degradation compared to alkaline pretreatment, especially at lower temperatures [30]. By contrast, NaOH pretreatment significantly reduced the solid yield as both the temperature and time increased. At 25 °C, the yield remained high (>0.85), indicating minimal degradation at room temperature. At the temperature range of 100 °C to 129 °C, there was a significant decline in the solid yield across all reaction times; specifically, at 129 °C and 60 min, the solid yield decreased to approximately 0.52, indicating that over half the biomass was solubilized, showcasing the synergistic effect of heat and NaOH on biomass disruption. The solid yield decreased consistently from 15 to 60 min at each temperature, supporting a time-driven depolymerization mechanism. Thermal hydrolysis facilitates the breakdown of complex organic polymers such as proteins, carbohydrates, and lipids that form the cell wall into smaller, soluble molecules like amino acids, sugars, and fatty acids [31]. As these components dissolve or degrade during pretreatment, the solid material content decreases accordingly.
Figure 2.
Solid yield. (a) Water treatment. (b) NaOH pretreatment.
3.2. Lignocellulose Composition and Effect of Temperature and Time
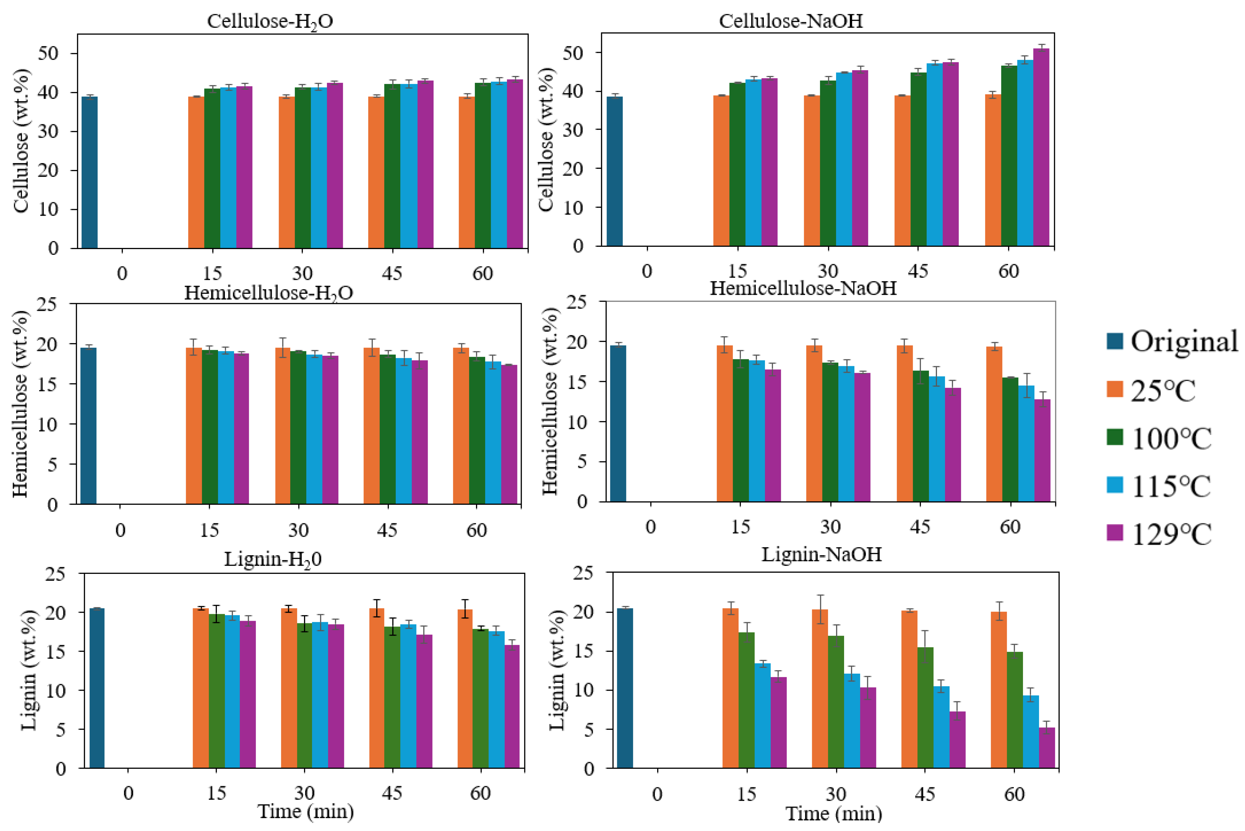
The pretreatment of biomass is known to cause major changes in the composition of the biomass. After pretreatment with water and NaOH, major changes in the composition of the RH were observed for both reagents. Figure 3 shows the lignocellulosic composition of RH after pretreatment. The results are presented as the means of three replicates of independent experiments. Raw, untreated RH has high cellulose and hemicellulose content, comprising 38.74 wt.% of cellulose and 19.58 wt.% of hemicellulose. The high compositions of cellulose and hemicellulose are an indication that RH has the potential to reduce sugar production, therefore making it a potential biomass for biohydrogen production. Equally, the lignin composition is quite high in RH, also at an estimated 20.49 wt.%, which can act as an inhibitor during the enzymatic hydrolysis process.
Figure 3.
Change in lignocellulosic composition of RH with temperature and time.
Following pretreatment, RH exhibited substantial changes in its lignocellulosic composition. After water pretreatment, the cellulose content increased to 43.37 wt.% (1.12-fold) at 129 °C after 60 min, while with NaOH pretreatment, the cellulose content increased to 51.17 wt.% (1.32-fold). By contrast, the hemicellulose composition decreased progressively with an increase in both temperature and time. Water pretreatment reduced hemicellulose to 17.35 wt.% (0.89-fold), whereas NaOH pretreatment caused a sharper decline to 12.74 wt.% (0.65-fold). Similarly, the lignin content declined with both treatments, reaching 15.82 wt.% (0.77-fold) with water and 5.18 wt.% (0.25-fold) with NaOH at 129 °C after 60 min. The removal of lignin and hemicellulose during pretreatment enhances the accessibility of cellulose, thereby facilitating its enzymatic hydrolysis for fermentable sugar production. It is important to emphasize that pretreatment does not generate additional cellulose; rather, it increases the relative proportion of cellulose in the biomass by selectively degrading the hemicellulose and lignin components. The observed increase in cellulose content corresponds with a reduction in lignin, indicating that pretreatment with water and NaOH at elevated temperatures is effective in removing lignin and preserving the glucan (cellulosic) fraction of RH.
3.3. Lignin Removal
Lignin removal is strongly influenced by thermal pretreatment conditions, with its efficiency varying according to the biomass properties and the chemical agents applied. In this study, the extent of lignin removal (Figure 4) served as the primary indicator of pretreatment effectiveness. At 25 °C, the delignification efficiency was minimal, ranging from 0.04 to 0.38% for water and 0.28 to 2.11% for NaOH. By contrast, at 129 °C, the lignin removal efficiency increased substantially to 7.12–20.24% with water and 42.94–72.72% with NaOH. Temperature had a more pronounced impact than time, as the changes in lignin removal were greater across temperature conditions than across reaction times. NaOH proved more effective than water due to its reactivity of hydroxide ions, which promotes the saponification of ester linkages, cleavage of dominant β-O-4 ether bonds within lignin, and deacetylation and solubilization of hemicellulose. These alkaline-driven reactions collectively depolymerize and dissolve the lignin carbohydrate complex, resulting in significantly greater lignin removal compared to the water pretreatment [32], consistent with prior findings that NaOH is more efficient than acids or other alkalis such as hydrogen peroxide and ammonia [16,17].
Figure 4.
Lignin removal of RH by (a) water pretreatment, (b) NaOH pretreatment.
3.4. Delignification Kinetics
The delignification behavior of RH under both water and NaOH pretreatments was analyzed and modeled to evaluate reaction rates and the efficiency of lignin solubilization at various temperatures and reaction times. The experimentally observed lignin removal ratios under both water and NaOH pretreatments closely align with the trends predicted by the first-order kinetic model across all tested temperatures, as illustrated in Figure 5. The kinetic model fits are supported by high R2 values, ranging from 0.97 to 0.99 for water pretreatment and 0.90 to 0.99 for NaOH pretreatment (Table 1), confirming that the kinetic model applied accounts for 90–99% of the variations in the experimental data. The strong validation of the model data supports its use for kinetic evaluation and process optimization.
Figure 5.
Lignin removal ratio; predicted and experimental results.
Table 1.
Summary of the kinetic parameters.
Table 1 summarizes the reaction kinetics for the delignification of RH obtained under different temperature conditions for each pretreatment, whereas Table 2 summarizes the comparison of the activation energies of different pretreatments from previous similar studies. The reaction rate increases with temperature for both reagents. This trend aligns with the fundamental principles of chemical kinetics, where higher temperatures provide reactant molecules with greater vibrational and kinetic energy, increasing collision frequency and the likelihood of overcoming activation energy barriers, thus accelerating the reaction rate [27,33]. NaOH pretreatment exhibited reaction rates approximately 2 to 7 times higher than those observed for water pretreatment across the temperature range from 25 °C to 129 °C, which showcases the superior chemical effectiveness of alkaline conditions in disrupting lignin structures. The reaction rate constant for the water pretreatment ranged from 5.14 × 10−5 at 25 °C to 4.13 × 10−3 at 129 °C, whereas those for NaOH varied from 3.73 × 10−4 to 2.46 × 10−2 over the same temperature range. The Arrhenius plots are shown in Figure 6.
Table 2.
Comparison of activation energies of different pretreatments.
Figure 6.
Arrhenius plot.
3.5. Enzymatic Hydrolysis: Effect of Hydrolysis Time and Pretreatment
RH residues pretreated with water and NaOH at 25 °C and 129 °C were subjected to 48 h of enzymatic hydrolysis (Figure 7). The total reducing sugar yield in terms of glucose equivalent from enzymatic hydrolysis varied significantly with pretreatment method and temperature. NaOH pretreatment consistently resulted in higher glucose production compared to water treatment at both temperatures. The maximum glucose yield of 52.13 mg/g was achieved using 3% NaOH at 129 °C. By contrast, water pretreatment at 129 °C produced a lower glucose yield of 26.97 mg/g and resulted in the lowest yield of <12.00 mg/g at 25 °C, indicating poor delignification. At room temperature, NaOH pretreatment still outperformed water pretreatment, yielding 32.00 mg/g, which showcases its superior efficacy as an alkaline pretreatment reagent. These confirm that both alkali addition and thermal intensification are critical for improving the enzymatic digestibility of RH, with NaOH at high temperature offering the most effective hydrolysis conditions. A strong correlation has been observed between effective lignin removal and increased glucose yield during enzymatic hydrolysis. This relationship is primarily attributed to the reduction in non-productive enzyme adsorption onto lignin surfaces. Lignin tends to bind irreversibly with cellulolytic enzymes, forming lignin enzyme complexes that significantly impair enzymatic efficiency. By reducing lignin content through NaOH pretreatment, the availability of active enzymes for cellulose hydrolysis is enhanced [36], leading to improved saccharification and higher glucose concentrations. The enhanced glucose release from NaOH-pretreated rice husk directly boosts dark fermentation, as sugar concentration is the key determinant of hydrogen productivity. With typical yields of 1.5–2.8 mol H2/mol hexose, the observed 52 mg/g biomass glucose could theoretically produce 0.14–0.25 L H2/g biomass via acidogenic metabolism by hydrogen-producing bacteria such as Clostridium butyricum, Clostridium thermolacticum, etc. [37,38]. The demonstrated effectiveness of thermally assisted NaOH pretreatment in this study shows its high potential for overcoming the recalcitrance of RH, supporting the dual application of the resulting hydrolysate for both second-generation bioethanol production and dark-fermentative biohydrogen generation.
Figure 7.
Glucose content.
4. Life Cycle Assessment
4.1. Life Cycle Inventory Analysis
Life cycle assessment (LCA) is a widely used and effective tool for evaluating the environmental, energy, and material impacts associated with any production process. It is commonly adopted across various industries to assess process performance, compare alternative pathways, and identify potential environmental trade-offs [39]. Standard system boundary approaches in LCA include “cradle-to-gate” and “cradle-to-grave.” Because this study focuses on evaluating the environmental impacts of the RH pretreatment and conversion process up to the production of glucose, the “cradle-to-gate” boundary is considered appropriate and sufficient for the analysis.
In this study, LCA was conducted to assess and compare the environmental impacts of RH pretreatment using 3% NaOH and water. The analysis was performed using OpenLCA software, version 2.2. The upstream data for RH cultivation, including water usage, fertilizer, and pesticide application and transport, was obtained from previous studies [40,41,42,43,44,45,46]. The data for the pretreatment processes, enzymatic hydrolysis, and waste treatment are based on the experimental inputs from the current study, while the background data needed for the calculations were from the Ecoinvent 3.11 database, which was imported into the OpenLCA software. The background data was not set to a specific location but rather was set as global data so that the results obtained are not location-dependent. The life cycle impact assessment (LCIA) method used was the Recipe 2016 midpoint (I). The assessment method considers the following 18 categories: fine particulate matter formation, fossil resource scarcity, freshwater ecotoxicity, freshwater eutrophication, global warming, human carcinogenic toxicity, human non-carcinogenic toxicity, ionizing radiation, land use, marine ecotoxicity, marine eutrophication, mineral resource scarcity, ozone formation human health, ozone formation terrestrial ecosystems, stratospheric ozone depletion, terrestrial acidification, terrestrial ecotoxicity, and water consumption. The system boundary, illustrated in Figure 8, shows four main stages: (1) RH production, (2) pretreatment, (3) enzymatic hydrolysis, and (4) waste treatment. To ensure meaningful comparisons, the environmental impacts are assessed based on the production of 1 kg of glucose. The life cycle inventory for each pretreatment to produce 1 kg of glucose is provided in Table 3 and Table 4.
Figure 8.
Cradle-to-gate LCA system boundary.
Table 3.
Input and output flows for water pretreatment.
Table 4.
Input and output flows for NaOH pretreatment.
4.2. Life Cycle Impact Assessment
A comparative LCIA was conducted to evaluate the relative environmental impacts of the two pretreatment methods. The results, summarized in Table 5, cover 18 impact categories. The life cycle assessment results revealed that NaOH pretreatment consistently exhibited higher environmental impacts compared to water pretreatment across all impact categories. In terms of fossil resource scarcity, NaOH pretreatment required approximately 323.28 kg oil eq, which is about 35% higher than the 240.04 kg oil eq for water pretreatment. Similarly, the global warming potential was elevated by around 35%, increasing from 1056.73 kg CO2 eq for water pretreatment to 1423.64 kg CO2 eq for NaOH pretreatment. Mineral resource scarcity impacts rose by about 41%, while terrestrial acidification showed one of the largest relative increases at 154% (10.20 kg SO2 eq for NaOH compared to 4.01 kg SO2 eq for water). Land use also increased from 1.01 × 10−1 m2a crop eq for H2O to 1.35 × 10−1 m2a crop eq for NaOH pretreatment, reflecting additional upstream agricultural or industrial processes associated with chemical manufacturing. Water consumption was 2.09 m3 for water pretreatment and 2.66 m3 for NaOH pretreatment, which can be attributed to the additional washing steps required for chemical removal and potential upstream water use. While NaOH pretreatment achieves higher delignification efficiency and sugar yield, its overall environmental impacts are substantially great. The water-based process also exhibits considerably large environmental burdens. Both pretreatment pathways impose disproportionately high environmental impacts when applied to RH, surpassing those reported for comparable processes involving other lignocellulosic biomasses.
Table 5.
Impact assessment.
4.3. Process Contributions
By assessing the relative impacts of cultivation, pretreatment, enzymatic hydrolysis, and waste treatment, the LCA process contribution helps identify the stages that contribute most to resource use, emissions, and waste generation. This allows for a clearer evaluation of where process optimization such as improving efficiency, recovering chemicals, or reducing waste can most effectively lower environmental impacts. Figure 9 presents the percentage contribution of each stage for RH up to glucose production, highlighting those with the highest impacts.
Figure 9.
Process contributions. (a) Water pretreatment. (b) NaOH pretreatment.
The results show that enzymatic hydrolysis is the dominant contributor to environmental impacts in the water pretreatment scenario, accounting for 33–58% of the total impacts across most categories. This aligns with previous LCA studies on lignocellulosic biomass, which consistently identify enzyme production and use as a major hotspot [47,48]. For example, Roy et al. [48] reported that enzymatic hydrolysis dominated the environmental burden in high-gravity biofuel production from spruce wood, contributing over 60% in multiple impact categories. The pretreatment stage also contributes significantly, particularly affecting freshwater eutrophication, resource depletion, and particulate matter formation. This is consistent with other LCAs of lignocellulosic biomass, where pretreatment processes, due to their energy and chemical requirements, are identified as key contributors to environmental impacts [49]. In the NaOH pretreatment scenario, waste treatment emerged as the dominant contributor (38–67%), particularly for terrestrial acidification, reflecting the environmental burden of handling alkaline effluents and residual biomass. While waste treatment is less-often reported as the top contributor in other studies, its dominance in chemically intensive pretreatments like NaOH is plausible and highlights a specific environmental hotspot in such processes, providing a useful insight for process optimization. Cultivation/feedstock production, by contrast, contributed relatively little in our study (<10% in most categories except water use), whereas many other studies report higher burdens from feedstock production due to intensive fertilization, irrigation, and land use [50]. The lower contribution in this study is likely due to the choice of rice husk as a byproduct feedstock and system boundary assumptions, which reduce upstream impacts relative to the downstream stages.
5. Discussion
The results of this study provide new insights into the kinetic behavior, environmental implications, and technical feasibility of rice husk pretreatment for biohydrogen-oriented glucose production.
The lignocellulosic composition of RH was within comparable ranges to other lignocellulosic biomasses from previous studies such as corn stover (31.5 wt.% cellulose, 15.4 wt.% hemicellulose, and 14.1 wt.% lignin) [51], poplar sawdust (46.2 wt.% cellulose, 19.3 wt.% hemicellulose, and 26.15 wt.% lignin) [52], and RH (35 wt.% cellulose, 25 wt.% hemicellulose, and 20 wt.% lignin) [53]. The significant reduction in hemicellulose and lignin under NaOH conditions indicates the reagent’s efficiency in improving the digestibility of the biomass. Under alkaline conditions, the ester bonds connecting hemicellulose and lignin molecules, as well as the ether bonds within the lignin structure, are cleaved and carboxyl groups are introduced in the structural frame of lignin. Eventually, the dissolution of the lignin and a portion of the hemicellulose takes place [54].
Although previous studies often required extended pretreatment durations of up to 48 h [24], this study demonstrates that short reaction times (≤ 60 min), when combined with high temperature and pressure, can result in effective lignin removal of up to 70% with NaOH and up to 20% with water. Another important mechanism contributing to lignin removal at elevated temperatures and extended reaction times is hydrothermal depolymerization facilitated by the auto-ionization of water under subcritical or superheated conditions. At high temperatures, water partially dissociates into hydronium and hydroxide ions, enabling the acid- and base-catalyzed cleavage of lignin carbohydrate complexes. This process promotes the breakdown of dominant ether linkages such as β-O-4 bonds, resulting in lignin depolymerization and solubilization [55]. Longer reaction times improve diffusion and solvent penetration, allowing greater disruption of the biomass matrix and the migration of solubilized lignin to the liquid phase. However, prolonged pretreatment can promote lignin recondensation through the repolymerization of reactive intermediates such as quinone methides, phenoxy radicals, benzylic carbocations, and phenolic fragments generated during β-O-4 cleavage, which readily form new C-C and C-O linkages, producing more condensed lignin structures and ultimately decreasing delignification efficiency even at high temperature [56].
The activation energy (Ea) obtained from the Arrhenius plots (Figure 6) (42.61 kJ mol−1 K−1 for water and 39.31 kJ mol−1 K−1 for NaOH) fall within the reported range for lignocellulosic biomass pretreatment (8.18–76.40 kJ mol−1 K−1) (Table 2). The slightly higher values obtained in the current study are attributed to the elevated temperature conditions. The higher Ea obtained for water pretreatment indicates that more thermal energy is required to initiate lignin removal compared to NaOH pretreatment.
The glucose yields observed in this study align with the trends reported in the literature but differ in their exact values due to a combination of factors including variations in biomass composition, pretreatment severity, enzyme loading, and the inherent structural recalcitrance of the feedstock. The efficiency of enzymatic hydrolysis depends heavily on how effectively pretreatment can disrupt the complex lignocellulosic matrix to expose cellulose fibers for enzyme action. Different pretreatment methods alter the biomass structure to varying degrees, which results in a wide range of total reducing sugar (TRS) yields reported for RH. For example, Novia et al. [24] reported a relatively low maximum glucose yield of 6.00 g/L following 25 h of enzymatic hydrolysis on RH pretreated with a hydrogen peroxide–ammonia mixture. By contrast, other studies employing hydrothermal alkaline pretreatment with 1.5% NaOH achieved higher glucose concentrations of about 18.00 g/L [57]. However, pretreatments involving choline chloride–urea deep eutectic solvents at 80 °C have shown much lower TRS concentrations, approximately 0.67 mg/mL [58], which indicates that not all pretreatment agents or conditions are equally effective for RH. When comparing RH with other lignocellulosic biomass types, the TRS yields from RH tend to be lower. Napier grass, for instance, when pretreated with NaOH, has been reported to yield TRS concentrations as high as 146.90 mg/g with NaOH pretreatment and 80.00–90.00 mg/g with H2SO4 pretreatment [16], while King grass produced 268.00 mg/g with NaOH and 50.00 mg/g using hydrogen peroxide pretreatment [59]. Cotton stalk pretreated with 3% NaOH at 125 °C for 40 min has shown TRS yields of approximately 0.29 mg/g [60]. The differences in sugar yield are primarily attributed to the distinct chemical and physical composition of the different biomasses. Grasses like Napier and King grass generally contain higher cellulose content, which directly contributes to fermentable sugar availability, and lower silica content, which reduces the physical barriers to enzyme penetration. RH, by contrast, possesses a dense silica-rich outer layer that acts as a physical barrier, limiting the penetration of chemical reagents during pretreatment and restricting enzymatic access during hydrolysis. Additionally, RH contains a higher lignin content compared to many other grasses, which further impedes enzyme binding and activity. These limitations influence downstream dark fermentation, as hydrogen-producing bacteria depend on readily available glucose to drive pathways such as the butyrate and acetate routes [6], which are key to achieving high hydrogen yields.
Previous studies showed that chemical pretreatments, including alkali/NaOH, generally impose higher environmental burdens than milder physical or water-based methods. The elevated impacts arise mainly from upstream chemical production, greater energy and water use, and additional wastewater management. Comparative LCAs have consistently reported that chemical pretreatments substantially increase global warming potential, fossil resource use, and toxicity indicators compared to water- or steam-based methods, largely due to pretreatment and waste-treatment stages [61]. For example, Prasad et al. [61] reported that, for corn stover biomass, dilute acid pretreatment resulted in 385 kg CO2 eq, while steam explosion, organosolvent, and liquid hot water pretreatments generated 14.30, 9.23, and 0.94 kg CO2 eq, respectively; values that are considerably lower than those observed in the present study for rice husk. In contrast, Abu-Bakar et al. [47] estimated 794.27–962.44 kg CO2 eq for rice milling waste conversion to glucose, which is comparable to the values obtained in the current study. Agricultural residues like corn stover and wheat straw generally show lower life cycle impacts than rice husk, largely because RH’s high silica and ash content increases the chemical and energy requirements for delignification and washing, generates greater wastewater burdens, and delivers lower sugar yields, intensifying impacts such as freshwater eutrophication, acidification, and fossil resource scarcity [62]. Experimental and LCA studies of RH pretreatments further confirm that while NaOH enhances delignification and sugar yield, it also increases chemical use, effluent generation, and waste management impacts. Unless alkali recovery, water recycling, renewable energy inputs, or residue valorization are applied, NaOH-based pathways exhibit far greater environmental impacts [63]. This study demonstrates that although NaOH pretreatment yields higher glucose concentrations, faster reaction rates, and lower activation energy than water pretreatment, it also generates much higher environmental impacts. Both pretreatment routes showed considerable burdens under the tested conditions, which suggests that rice husk is less suitable for glucose-based biohydrogen production compared to other lignocellulosic feedstocks. Overall, the findings highlight a mismatch between high delignification efficiency and environmental sustainability, indicating that despite its technical effectiveness, low-severity NaOH pretreatment is not a practical pathway for sustainable biohydrogen production. Mitigation strategies should, therefore, focus on improving enzyme efficiency, implementing alkali recovery and wastewater treatment systems, and adopting suitable feedstocks to minimize resource use and emissions.
6. Conclusions
This study comparatively evaluated water and 3% NaOH pretreatments for the delignification of rice husk (RH) under short reaction times and elevated temperatures (15–60 min, 100–129 °C, 25 °C control) to determine whether delignification directly enhances glucose production for biofuels, specifically for biohydrogen-oriented conversion, and whether such productivity gains can be achieved without disproportionately high environmental impacts using life cycle assessment (LCA). NaOH pretreatment achieved markedly higher delignification (72.72% at 129 °C versus 12.44% at 25 °C after 60 min) than water pretreatment (20.24% at 129 °C versus 4.53% at 25 °C after 60 min). Lignin removal followed first-order reaction kinetics, with NaOH pretreatment resulting in faster reaction kinetics with rate constants ranging between 3.73 × 10−4 and 2.46 × 10−2 compared to those for water treatment, which ranged between 5.14 × 10−5 and 4.31 × 10−3. Kinetic model reliability was high for both pretreatments, with R2 values of 0.90–0.99. Higher delignification enhanced cellulose accessibility and glucose release during enzymatic hydrolysis, yielding 52.13 mg/g and 26.97 mg/g for NaOH and water pretreatment, respectively, at 129 °C. However, despite NaOH pretreatment achieving higher delignification and higher glucose content compared to water pretreatment, the LCA results revealed that NaOH pretreatment incurred substantially higher environmental burdens, especially in global warming potential (1423.64 kg CO2 eq), stemming from categories related to chemical use and wastewater treatment; even water pretreatment exhibited high environmental impacts comparable to NaOH. Therefore, the findings partially validate this study’s hypothesis: while NaOH pretreatment delivers superior delignification, faster reaction kinetics, and a higher glucose yield, its environmental trade-offs hinder a direct link between efficiency and sustainability. Overall, this study demonstrates that while NaOH is more effective for lignin removal and glucose production, rice husk is an environmentally challenging feedstock for biohydrogen production under the tested conditions. Future research should focus on integrating alkali recovery and water recycling to minimize environmental burdens or, alternatively, prioritize low-impact feedstocks such as corn stover or wheat straw for sustainable biofuel production.
Author Contributions
L.P.J.: Conceptualization, Methodology, Experiments, Data analysis, Writing—original draft, Visualization. N.V.T.: Supervision, Experiments, Resources, Writing—reviewing and editing, Visualization, Validation. M.S.H.: Experiments, Data analysis, Visualization. N.T.H.A.: Experiments, Analysis. T.D.X.: Raw material acquisition, Resources, Supervision, Validation, Writing—reviewing and editing. All authors have read and agreed to the published version of the manuscript.
Funding
This research received no external funding.
Data Availability Statement
The data used in this study are available from the corresponding author upon reasonable request.
Acknowledgments
The authors would like to acknowledge and express their gratitude to the Japanese government for its financial support through the MEXT scholarship granted to Lovisa Panduleni Johannes.
Conflicts of Interest
The authors declare no conflicts of interest.
Abbreviations
The following abbreviations are used in this manuscript:
| RH | Rice husk |
| LCA | Life cycle assessment |
| NaOH | Sodium hydroxide |
| H2O | Water |
| Ea | Activation energy |
References
- Ghosh, S.; Roy, S.; Das, P. Beyond Waste: Waste Rice Husk to Value-Added Products Using Sonic Waves and Chemical Treatment and Principal Component Analysis of Extraction. Biomass Convers. Biorefinery 2024, 15, 11217–11229. [Google Scholar] [CrossRef]
- Johannes, L.P.; Minh, T.T.N.; Van Son, N.; Tung, D.T.; Viet, T.D.; Xuan, T.D. Agronomic and Utilization Potential of Three Elephant Grass Cultivars for Energy, Forage, and Soil Improvement in Vietnam. Crops 2025, 5, 70. [Google Scholar] [CrossRef]
- Minami, E.; Miyamoto, T.; Kawamoto, H. Decomposition of Saccharides and Alcohols in Solution Plasma for Hydrogen Production. Hydrogen 2022, 3, 333–347. [Google Scholar] [CrossRef]
- Meena, P.K.; Patane, P.M. Biohydrogen: Advancing a Sustainable Transition from Fossil Fuels to Renewable Energy. Int. J. Hydrogen Energy 2025, 100, 955–970. [Google Scholar] [CrossRef]
- Aziz, N.; Sukri, S.; Yaacob, W. The Optimization of Sodium Hydroxide (NaOH) Pre-Treatment for Reducing Sugar Production from Rice Husk Using Response Surface Methodology (RSM). ESTEEM Acad. J. 2024, 20, 36–44. [Google Scholar] [CrossRef]
- Ghasemi, A.; Nikafshan Rad, H.; Akrami, M. Biomass-to-Green Hydrogen: A Review of Techno-Economic-Enviro Assessment of Various Production Methods. Hydrogen 2024, 5, 474–493. [Google Scholar] [CrossRef]
- Yukesh Kannah, R.; Kavitha, S.; Sivashanmugham, P.; Kumar, G.; Nguyen, D.D.; Chang, S.W.; Rajesh Banu, J. Biohydrogen Production from Rice Straw: Effect of Combinative Pretreatment, Modelling Assessment and Energy Balance Consideration. Int. J. Hydrogen Energy 2019, 44, 2203–2215. [Google Scholar] [CrossRef]
- Tanis, M.H.; Wallberg, O.; Galbe, M.; Al-Rudainy, B. Lignin Extraction by Using Two-Step Fractionation: A Review. Molecules 2024, 29, 98. [Google Scholar] [CrossRef]
- Watkins, D.; Nuruddin, M.; Hosur, M.; Tcherbi-Narteh, A.; Jeelani, S. Extraction and Characterization of Lignin from Different Biomass Resources. J. Mater. Res. Technol. 2015, 4, 26–32. [Google Scholar] [CrossRef]
- Alam, M.M.; Greco, A.; Rajabimashhadi, Z.; Esposito Corcione, C. Efficient and Environmentally Friendly Techniques for Extracting Lignin from Lignocellulose Biomass and Subsequent Uses: A Review. Clean. Mater. 2024, 13, 100253. [Google Scholar] [CrossRef]
- Chen, W.H.; Nižetić, S.; Sirohi, R.; Huang, Z.; Luque, R.; Papadopoulos, A.M.; Sakthivel, R.; Phuong Nguyen, X.; Tuan Hoang, A. Liquid Hot Water as Sustainable Biomass Pretreatment Technique for Bioenergy Production: A Review. Bioresour. Technol. 2022, 344, 126207. [Google Scholar] [CrossRef] [PubMed]
- Saha, R.; Bhattacharya, D.; Mukhopadhyay, M. Enhanced Production of Biohydrogen from Lignocellulosic Feedstocks Using Microorganisms: A Comprehensive Review. Energy Convers. Manag. X 2022, 13, 100153. [Google Scholar] [CrossRef]
- Sjulander, N.; Kikas, T. Two-Step Pretreatment of Lignocellulosic Biomass for High-Sugar Recovery from the Structural Plant Polymers Cellulose and Hemicellulose. Energies 2022, 15, 8898. [Google Scholar] [CrossRef]
- Gui, C.; Wang, L.; Liu, G.; Ogunbiyi, A.T.; Li, W. The Catalytic Valorization of Lignin from Biomass for the Production of Liquid Fuels. Energies 2025, 18, 1478. [Google Scholar] [CrossRef]
- Xu, J.; Wang, Z.; Sharma-Shivappa, R.; Cheng, J. Enzymatic Hydrolysis of Switchgrass and Coastal Bermuda Grass Pretreated Using Different Chemical Methods. Bioresources 2011, 6, 2990–3003. [Google Scholar] [CrossRef]
- Eliana, C.; Jorge, R.; Juan, P.; Luis, R. Effects of the Pretreatment Method on Enzymatic Hydrolysis and Ethanol Fermentability of the Cellulosic Fraction from Elephant Grass. Fuel 2014, 118, 41–47. [Google Scholar] [CrossRef]
- Johannes, L.P.; Xuan, T.D. Comparative Analysis of Acidic and Alkaline Pretreatment Techniques for Bioethanol Production from Perennial Grasses. Energies 2024, 17, 1048. [Google Scholar] [CrossRef]
- Tsai, M.H.; Lee, W.C.; Kuan, W.C.; Sirisansaneeyakul, S.; Savarajara, A. Evaluation of Different Pretreatments of Napier Grass for Enzymatic Saccharification and Ethanol Production. Energy Sci. Eng. 2018, 6, 683–692. [Google Scholar] [CrossRef]
- Oriez, V.; Peydecastaing, J.; Pontalier, P.Y. Lignocellulosic Biomass Mild Alkaline Fractionation and Resulting Extract Purification Processes: Conditions, Yields, and Purities. Clean Technol. 2020, 2, 91–115. [Google Scholar] [CrossRef]
- Hernández-Beltrán, J.U.; Hernández-De Lira, I.O.; Cruz-Santos, M.M.; Saucedo-Luevanos, A.; Hernández-Terán, F.; Balagurusamy, N. Insight into Pretreatment Methods of Lignocellulosic Biomass to Increase Biogas Yield: Current State, Challenges, and Opportunities. Appl. Sci. 2019, 9, 3721. [Google Scholar] [CrossRef]
- Kim, J.S.; Lee, Y.Y.; Kim, T.H. A Review on Alkaline Pretreatment Technology for Bioconversion of Lignocellulosic Biomass. Bioresour. Technol. 2016, 199, 42–48. [Google Scholar] [CrossRef] [PubMed]
- Yan, X.; Cheng, J.-R.; Wang, Y.T.; Zhu, M.J. Enhanced Lignin Removal and Enzymolysis Efficiency of Grass Waste by Hydrogen Peroxide Synergized Dilute Alkali Pretreatment. Bioresour. Technol. 2020, 301, 122756. [Google Scholar] [CrossRef] [PubMed]
- Hossain, M.S.; Therasme, O.; Volk, T.A.; Kumar, V.; Kumar, D. Optimization of Combined Hydrothermal and Mechanical Refining Pretreatment of Forest Residue Biomass for Maximum Sugar Release during Enzymatic Hydrolysis. Energies 2024, 17, 4929. [Google Scholar] [CrossRef]
- Novia, N.; Hasanudin, H.; Hermansyah, H.; Fudholi, A. Kinetics of Lignin Removal from Rice Husk Using Hydrogen Peroxide and Combined Hydrogen Peroxide and Combined Hydrogen Peroxide–Aqueous Ammonia Pretreatments. Fermentation 2022, 8, 157. [Google Scholar] [CrossRef]
- Hermansyah, H.; Cahyadi, H.; Fatma, F.; Miksusanti, M.; Kasmiarti, G.; Panagan, A.T. Delignification of Lignocellulosic Biomass Sugarcane Bagasse by Using Ozone as Initial Step to Produce Bioethanol. Pol. J. Environ. Stud. 2021, 30, 4405–4411. [Google Scholar] [CrossRef]
- Datta, R. Acidogenic Fermentation of Lignocellulose–Acid Yield and Conversion of Components. Biotechnol. Bioeng. 1981, 23, 2167–2170. [Google Scholar] [CrossRef]
- Baksi, S.; Sarkar, U.; Saha, S.; Ball, A.K.; Chandra Kuniyal, J.; Wentzel, A.; Birgen, C.; Preisig, H.A.; Wittgens, B.; Markussen, S. Studies on Delignification and Inhibitory Enzyme Kinetics of Alkaline Peroxide Pre-Treated Pine and Deodar Saw Dust. Chem. Eng. Process.—Process Intensif. 2019, 143, 107607. [Google Scholar] [CrossRef]
- Ayeni, A.O.; Omoleye, J.A.; Hymore, F.K.; Pandey, R.A. Effective Alkaline Peroxide Oxidation Pretreatment of Shea Tree Sawdust for the Production of Biofuels: Kinetics of Delignification and Enzymatic Conversion to Sugar and Subsequent Production of Ethanol by Fermentation Using Saccharomyces cerevisiae. Braz. J. Chem. Eng. 2016, 33, 33–45. [Google Scholar] [CrossRef]
- Mondal, S.; Neogi, S.; Chakraborty, S. Experimental and Kinetic Analyses of Delignification of Lignocellulosic Grass with Minimal Holocellulose Loss during Pretreatment. Bioresour. Technol. Rep. 2023, 23, 101549. [Google Scholar] [CrossRef]
- Zhang, Z.; Zhao, X.; Huang, C.; Lai, C.; Yong, Q. Liquid Hot Water Pretreatment Technology: Opening a New Chapter in the Green Transformation and High-Value Utilization of Biomass Resources. Biomass Bioenergy 2025, 203, 108278. [Google Scholar] [CrossRef]
- Hmeekong, A.; Chuenchom, L.; Charnnok, B.; Chaiprapat, S. Sustainable Valorization of Grass Biomass via Hydrothermal Pretreatment for Biogas and Biofuel Co-Production. J. Environ. Manag. 2025, 389, 126109. [Google Scholar] [CrossRef] [PubMed]
- Vergara, P.; Ladero, M.; García-Ochoa, F.; Villar, J.C. Pre-Treatment of Corn Stover, Cynara Cardunculus L. Stems and Wheat Straw by Ethanol-Water and Diluted Sulfuric Acid: Comparison under Different Energy Input Conditions. Bioresour. Technol. 2018, 270, 449–456. [Google Scholar] [CrossRef]
- Lai, C.; Yang, C.; Zhao, Y.; Jia, Y.; Chen, L.; Zhou, C.; Yong, Q. Promoting Enzymatic Saccharification of Organosolv-Pretreated Poplar Sawdust by Saponin-Rich Tea Seed Waste. Bioprocess Biosyst. Eng. 2020, 43, 1999–2007. [Google Scholar] [CrossRef] [PubMed]
- Nguyen, N.T.; Tran, N.T.; Phan, T.P.; Nguyen, A.T.; Nguyen, M.X.T.; Nguyen, N.N.; Ko, Y.H.; Nguyen, D.H.; Van, T.T.T.; Hoang, D. The Extraction of Lignocelluloses and Silica from Rice Husk Using a Single Biorefinery Process and Their Characteristics. J. Ind. Eng. Chem. 2022, 108, 150–158. [Google Scholar] [CrossRef]
- Shahabazuddin, M.; Sarat Chandra, T.; Meena, S.; Sukumaran, R.K.; Shetty, N.P.; Mudliar, S.N. Thermal Assisted Alkaline Pretreatment of Rice Husk for Enhanced Biomass Deconstruction and Enzymatic Saccharification: Physico-Chemical and Structural Characterization. Bioresour. Technol. 2018, 263, 199–206. [Google Scholar] [CrossRef]
- Modenbach, A.A.; Nokes, S. Effects of Sodium Hydroxide Pretreatment on Structural Components of Biomass. Trans. ASABE 2014, 57, 1187–1198. [Google Scholar] [CrossRef]
- Lui, Y.W.; Tao, Q.; Akien, G.R.; Yuen, A.K.L.; Montoya, A.; Chan, B.; Lui, M.Y. Hydrothermal Depolymerization of Different Lignins: Insights into Structures and Reactivities. Int. J. Biol. Macromol. 2025, 314, 144293. [Google Scholar] [CrossRef]
- Sannigrahi, P.; Pu, Y.; Ragauskas, A. Cellulosic Biorefineries—Unleashing Lignin Opportunities. Curr. Opin. Environ. Sustain. 2010, 2, 383–393. [Google Scholar] [CrossRef]
- Qin, C.; Zeng, H.; Liu, B.; Zhu, J.; Wang, F.; Wang, S.; Liang, C.; Huang, C.; Ma, J.; Yao, S. Efficient Removal of Residual Lignin from Eucalyptus Pulp via High-Concentration Chlorine Dioxide Treatment and Its Effect on the Properties of Residual Solids. Bioresour. Technol. 2022, 360, 127621. [Google Scholar] [CrossRef]
- Dagnino, E.P.; Felissia, F.E.; Chamorro, E.; Area, M.C. Studies on Lignin Extraction from Rice Husk by a Soda-Ethanol Treatment: Kinetics, Separation, and Characterization of Products. Chem. Eng. Res. Des. 2018, 129, 209–216. [Google Scholar] [CrossRef]
- Gao, J.; Yang, X.; Wan, J.; He, Y.; Chang, C.; Ma, X.; Bai, J. Delignification Kinetics of Corn Stover with Aqueous Ammonia Soaking Pretreatment. Bioresources 2016, 11, 2403–2416. [Google Scholar] [CrossRef]
- Shen, X.J.; Wen, J.L.; Mei, Q.-Q.; Chen, X.; Sun, D.; Yuan, T.-Q.; Sun, R.-C. Facile Fractionation of Lignocelluloses by Biomass-Derived Deep Eutectic Solvent (DES) Pretreatment for Cellulose Enzymatic Hydrolysis and Lignin Valorization. Green Chem. 2019, 21, 275–283. [Google Scholar] [CrossRef]
- Damiri, A.P.; Stamatakis, E.; Bellas, S.; Zoulias, M.; Mitkidis, G.; Anastasiadis, A.G.; Karellas, S.; Tzamalis, G.; Stubos, A.; Tsoutsos, T. A Review of Alternative Processes for Green Hydrogen Production Focused on Generating Hydrogen from Biomass. Hydrogen 2024, 5, 163–184. [Google Scholar] [CrossRef]
- Litti, Y.V.; Kovalev, A.A.; Kovalev, D.A.; Katraeva, I.V.; Parshina, S.N.; Zhuravleva, E.A.; Botchkova, E.A. Characteristics of the Process of Biohydrogen Production from Simple and Complex Substrates with Different Biopolymer Composition. Int. J. Hydrogen Energy 2021, 46, 26289–26297. [Google Scholar] [CrossRef]
- Ayala-Armijos, J.; Lapo, B.; Beltrán, C.; Sigüenza, J.; Madrid, B.; Chérrez, E.; Bravo, V.; Sanmartín, D. Effect of Alkaline and Hydrothermal Pretreatments in Sugars and Ethanol Production from Rice Husk Waste. Resources 2024, 13, 128. [Google Scholar] [CrossRef]
- Anuradha, A.; Sampath, M.K. Process Optimization for the Pretreatment of Rice Husk with Deep Eutectic Solvent for Efficient Sugar Production. Environ. Technol. 2024, 45, 3807–3815. [Google Scholar] [CrossRef]
- Cardona, E.; Rios, J.; Peña, J.; Peñuela, M.; Rios, L. King Grass: A Very Promising Material for the Production of Second Generation Ethanol in Tropical Countries. Biomass Bioenergy 2016, 95, 206–213. [Google Scholar] [CrossRef]
- Du, S.; Zhu, X.; Wang, H.; Zhou, D.; Yang, W.; Xu, H. High Pressure Assist-Alkali Pretreatment of Cotton Stalk and Physiochemical Characterization of Biomass. Bioresour. Technol. 2013, 148, 494–500. [Google Scholar] [CrossRef]
- Da Silva, D.P.M.; Capaz, R.S. A Review of the Life Cycle Assessment of the Carbon–Water–Energy Nexus of Hydrogen Production Pathways. Hydrogen 2025, 6, 34. [Google Scholar] [CrossRef]
- Ming, H.; Yuan, Z.; Li, X.; Wu, M.; Zhang, L.; Jiang, H.; Zhang, X.; Wang, Z. Application of Pretreatment Methods and Life Cycle Assessment in the Production of Wood Vinegar Substitutes via Hydrothermal Oxidation of Cotton Stalks. Ind. Crops Prod. 2025, 232, 121238. [Google Scholar] [CrossRef]
- Van Hung, N.; Migo, M.V.; Quilloy, R.; Chivenge, P.; Gummert, M. Life Cycle Assessment Applied in Rice Production and Residue Management. In Sustainable Rice Straw Management; Gummert, M., Van Hung, N., Chivenge, P., Douthwaite, B., Eds.; Springer International Publishing: Cham, Switzerland, 2020; pp. 161–174. ISBN 978-3-030-32373-8. [Google Scholar]
- Blengini, G.A.; Busto, M. The Life Cycle of Rice: LCA of Alternative Agri-Food Chain Management Systems in Vercelli (Italy). J. Environ. Manag. 2009, 90, 1512–1522. [Google Scholar] [CrossRef] [PubMed]
- Alhashim, R.; Deepa, R.; Anandhi, A. Environmental Impact Assessment of Agricultural Production Using LCA: A Review. Climate 2021, 9, 164. [Google Scholar] [CrossRef]
- Gu, S.; Yang, L.; Liang, X.; Zhou, J. Utilizing Life Cycle Assessment to Optimize Processes and Identify Emission Reduction Potential in Rice Husk-Derived Nanosilica Production. Processes 2025, 13, 483. [Google Scholar] [CrossRef]
- Yin, T.; Huhe, T.; Li, X.; Wang, Q.; Lei, T.; Zhou, Z. Research on Life Cycle Assessment and Performance Comparison of Bioethanol Production from Various Biomass Feedstocks. Sustainability 2024, 16, 1788. [Google Scholar] [CrossRef]
- Abdul Rahman, M.H.; Chen, S.S.; Abdul Razak, P.R.; Abu Bakar, N.A.; Shahrun, M.S.; Zin Zawawi, N.; Muhamad Mujab, A.A.; Abdullah, F.; Jumat, F.; Kamaruzaman, R.; et al. Life Cycle Assessment in Conventional Rice Farming System: Estimation of Greenhouse Gas Emissions Using Cradle-to-Gate Approach. J. Clean. Prod. 2019, 212, 1526–1535. [Google Scholar] [CrossRef]
- Prasad, A.; Sotenko, M.; Blenkinsopp, T.; Coles, S.R. Life Cycle Assessment of Lignocellulosic Biomass Pretreatment Methods in Biofuel Production. Int. J. Life Cycle Assess. 2016, 21, 44–50. [Google Scholar] [CrossRef]
- Abu-Bakar, N.A.; Roslan, A.M.; Hassan, M.A.; Rahman, M.H.A.; Ibrahim, K.N.; Abd Rahman, M.D.; Mohamad, R. Environmental Impact Assessment of Rice Mill Waste Valorisation to Glucose through Biorefinery Platform. Sci. Rep. 2023, 13, 14767. [Google Scholar] [CrossRef]
- Sajid, K.; Rehan, M.; Nizami, A.-S. Optimizing Bioethanol Production by Comparative Environmental and Economic Assessments of Multiple Agricultural Feedstocks. Processes 2025, 13, 1027. [Google Scholar] [CrossRef]
- Madu, J.O.; Agboola, B.O. Bioethanol Production from Rice Husk Using Different Pretreatments and Fermentation Conditions. 3 Biotech 2017, 8, 15. [Google Scholar] [CrossRef]
- Roy, P.; Tokuyasu, K.; Orisaka, T.; Nakamura, N.; Shina, T. A Review of Life Cycle Assessment (LCA) of Bioethanol from Lignocellulosic Biomass. Jpn. Agric. Res. Q. JARQ 2012, 46, 41–57. [Google Scholar] [CrossRef]
- Janssen, M.; Xiros, C.; Tillman, A.-M. Life Cycle Impacts of Ethanol Production from Spruce Wood Chips under High-Gravity Conditions. Biotechnol. Biofuels 2016, 9, 53. [Google Scholar] [CrossRef]
- Blanco, J.; Iglesias, J.; Morales, G.; Melero, J.A.; Moreno, J. Comparative Life Cycle Assessment of Glucose Production from Maize Starch and Woody Biomass Residues as a Feedstock. Appl. Sci. 2020, 10, 2946. [Google Scholar] [CrossRef]
Disclaimer/Publisher’s Note: The statements, opinions and data contained in all publications are solely those of the individual author(s) and contributor(s) and not of MDPI and/or the editor(s). MDPI and/or the editor(s) disclaim responsibility for any injury to people or property resulting from any ideas, methods, instructions or products referred to in the content. |
© 2025 by the authors. Licensee MDPI, Basel, Switzerland. This article is an open access article distributed under the terms and conditions of the Creative Commons Attribution (CC BY) license (https://creativecommons.org/licenses/by/4.0/).








