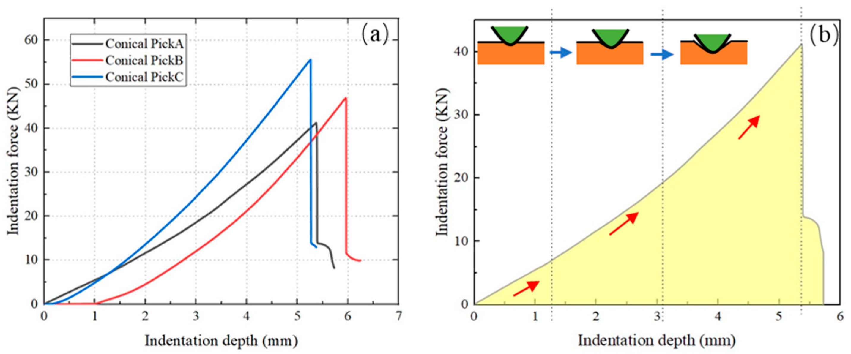
The Influence Mechanism of Conical Pick Wear on Rock Breaking Efficiency Based on Indentation Tests
Abstract
Share and Cite
Xia, Y.; Yuan, Y.; Wang, H.; Lyu, L. The Influence Mechanism of Conical Pick Wear on Rock Breaking Efficiency Based on Indentation Tests. Eng 2026, 7, 20. https://doi.org/10.3390/eng7010020
Xia Y, Yuan Y, Wang H, Lyu L. The Influence Mechanism of Conical Pick Wear on Rock Breaking Efficiency Based on Indentation Tests. Eng. 2026; 7(1):20. https://doi.org/10.3390/eng7010020
Chicago/Turabian StyleXia, Yunfei, Youlu Yuan, Hongchao Wang, and Lei Lyu. 2026. "The Influence Mechanism of Conical Pick Wear on Rock Breaking Efficiency Based on Indentation Tests" Eng 7, no. 1: 20. https://doi.org/10.3390/eng7010020
APA StyleXia, Y., Yuan, Y., Wang, H., & Lyu, L. (2026). The Influence Mechanism of Conical Pick Wear on Rock Breaking Efficiency Based on Indentation Tests. Eng, 7(1), 20. https://doi.org/10.3390/eng7010020

