Modeling the Influence of Non-Constant Poisson’s Ratio on Crack Formation Under Uniaxial Compression of Rocks and Concrete
Abstract
1. Introduction
2. Methodology and Results
2.1. Introductory Remarks on Research Methodology
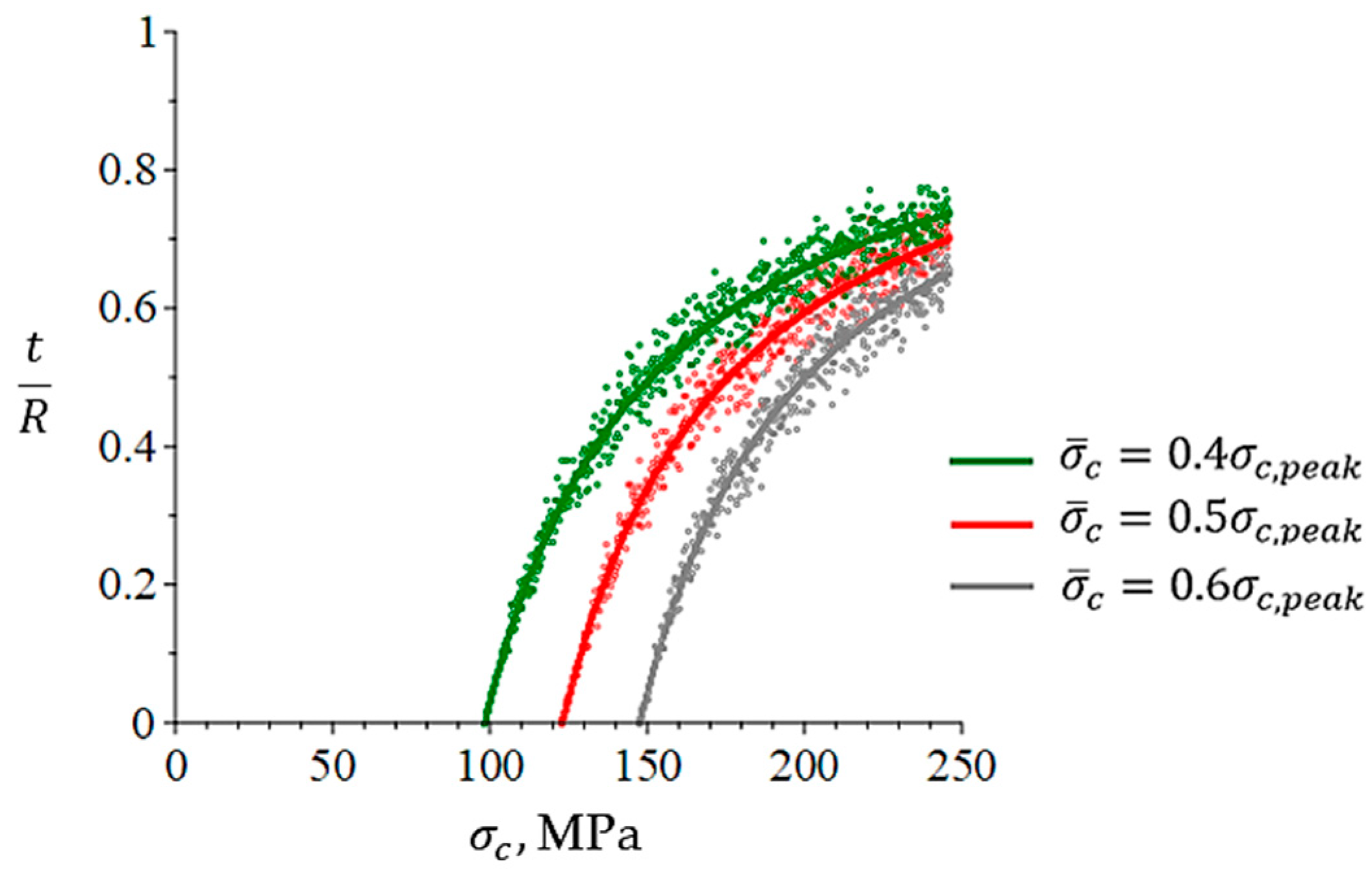
2.2. Verification Case: Comparison with a Known Solution
2.3. Effect of Poisson’s Ratio Variations on Cracked Layer Thickness
2.4. Constant Poisson’s Ratio: Comparison with a Known Solution
2.5. Example: Non-Constant Poisson Ratio
2.6. Comparison of Models: Conclusions for Practice
2.7. Example: Random Deviations of Poisson’s Ratio from a Constant Mean Value
2.8. Example: Random Deviations of Poisson’s Ratio from a Non-Constant Mean Value
2.9. Root Mean Square Deviation of the Relative Cracked Layer Thickness
2.10. Lateral Pressure Effect
2.10.1. Model with Constant Poisson’s Ratio
2.10.2. Model with Variable Poisson’s Ratio
- ▪
- With lateral pressure equal to 5% of axial compressive stress, Models 1 and 2 predict a reduction in fractured layer thickness from 100% to 83% (17% decrease) and from 108% to 95% (13% decrease), respectively;
- ▪
- Doubling the lateral pressure reduces the layer thickness from 100% to 65% (35% decrease) and from 108% to 82% (26% decrease), respectively.
3. Discussion
- ▪
- At lateral pressure equal to 5% of axial compressive stress, Models 1 and 2 predict reductions in fractured layer thickness by 17% and 13%, respectively.
- ▪
- Doubling the lateral pressure reduces the thickness by 35% and 26%, respectively.
4. Conclusions
Author Contributions
Funding
Institutional Review Board Statement
Informed Consent Statement
Data Availability Statement
Conflicts of Interest
Abbreviations
| Poisson’s ratio | |
| Standard deviation of Poisson’s ratio | |
| Transverse deformation | |
| Longitudinal deformation | |
| Peak stress, MPa | |
| Axial compressive stress, MPa | |
| Tensile stress, MPa | |
| Peak tensile stress, MPa | |
| Peak compressive stress, MPa | |
| Crack formation threshold, MPa | |
| Coefficient in the relationship between axial stress and lateral pressure | |
| R | Radius of cross-section of specimen, m |
| Thickness of the cracked layer (crack depth) |
References
- Narimani, S.; Davarpanah, S.M.; Vásárhelyi, B. Estimation of the Poisson’s Ratio of the Rock Mass. Period. Polytech. Civ. Eng. 2024, 68, 274–288. [Google Scholar] [CrossRef]
- Lógó, B.A.; Vásárhelyi, B. Estimation of the Poisson’s rate of the intact rock in the function of the rigidity. Period. Polytech. Civ. Eng. 2019, 63, 1030–1037. [Google Scholar] [CrossRef]
- Lógó, B.A.; Vásárhelyi, B. Theoretical Relationship between the Confining Pressure and Poisson’s Ratio of Intact Rock. Period. Polytech. Civ. Eng. 2022, 66, 1114–1121. [Google Scholar] [CrossRef]
- Narimani, S.; Kovács, L.; Vásárhelyi, B. An innovative method to determine the stress-dependency of Poisson’s ratio of granitic rocks. Sci. Rep. 2025, 15, 16111. [Google Scholar] [CrossRef]
- Eberhardt, E.; Stead, D.; Stimpson, B.; Read, R.S. Identifying crack initiation and propagation thresholds in brittle rock. Can. Geotech. J. 1998, 35, 222–233. [Google Scholar] [CrossRef]
- Dong, L.; Xu, H.; Fan, P.; Wu, Z. On the Experimental Determination of Poisson’s Ratio for Intact Rocks and Its Variation as Deformation Develops. Adv. Civ. Eng. 2021, 2021, 8843056. [Google Scholar] [CrossRef]
- Hoek, E.; Martin, C.D. Fracture initiation and propagation in intact rock—A review. J. Rock Mech. Geotech. Eng. 2014, 6, 287–300. [Google Scholar] [CrossRef]
- Bieniawski, Z.T. Mechanism of brittle fracture of rock: Part II—Experimental studies. Int. J. Rock Mech. Min. Sci. Geomech. Abstr. 1967, 4, 407–423. [Google Scholar] [CrossRef]
- Cai, M.; Kaiser, P.K.; Tasaka, Y.; Maejima, T.; Morioka, H.; Minami, M. Generalized crack initiation and crack damage stress thresholds of brittle rock masses near underground excavations. Int. J. Rock Mech. Min. Sci. 2004, 41, 833–847. [Google Scholar] [CrossRef]
- Zhang, G.K.; Li, H.B.; Wang, M.Y.; Li, X.F. Crack initiation of granite under uniaxial compression tests: A comparison study. J. Rock Mech. Geotech. Eng. 2020, 12, 656–666. [Google Scholar] [CrossRef]
- Zhai, M.Y.; Xu, C.; Lei, X.; Dong, J.Y. Loading rate dependence of staged damage behaviors of granite under uniaxial compression: Insights from acoustic emission characteristics. Theor. Appl. Fract. Mech. 2022, 122, 103633. [Google Scholar] [CrossRef]
- Hu, B.; Hu, X.; Lin, C.; Du, G.; Ma, T.; Li, K. Evolution of Physical and Mechanical Properties of Granite after Thermal Treatment under Cyclic Uniaxial Compression. Sustainability 2023, 15, 13676. [Google Scholar] [CrossRef]
- Liu, J.; Zhang, T.; Li, Q.; Wang, F.; Wang, H.; Li, Y. Research on orthotropic anisotropy characteristics of thick bedded limestone based on in situ deformation tests. Discov. Appl. Sci. 2024, 6, 569. [Google Scholar] [CrossRef]
- Hu, X.; Xie, N.; Zhu, Q.; Chen, L.; Li, P. Modeling Damage Evolution in Heterogeneous Granite Using Digital Image-Based Grain-Based Model. Rock Mech. Rock Eng. 2020, 53, 4925–4945. [Google Scholar] [CrossRef]
- Eberhardt, E.; Stead, D.; Stimpson, B. Quantifying progressive pre-peak brittle fracture damage in rock during uniaxial compression. Int. J. Rock Mech. Min. Sci. 1999, 36, 361–380. [Google Scholar] [CrossRef]
- Diederichs, M.S.; Kaiser, P.K.; Eberhardt, E. Damage initiation and propagation in hard rock during tunnelling and the influence of near-face stress rotation. Int. J. Rock Mech. Min. Sci. 2004, 41, 785–812. [Google Scholar] [CrossRef]
- Tang, C.; Liu, H.; Lee, P.; Tsui, Y.; Tham, L. Numerical studies of the influence of microstructure on rock failure in uniaxial compression—Part I: Effect of heterogeneity. Int. J. Rock Mech. Min. Sci. 2000, 37, 555–569. [Google Scholar] [CrossRef]
- Kalashnik, A.I. Effect of water inflows on the strength characteristics of the Lovozero rare-metal deposit rocks. Min. Sci. Technol. Russ. 2024, 9, 387–394. [Google Scholar] [CrossRef]
- Gercek, H. Poisson’s ratio values for rocks. Int. J. Rock Mech. Min. Sci. 2007, 44, 1–13. [Google Scholar] [CrossRef]
- Wang, Y.; Li, C.; Hu, Y. X-ray computed tomography (CT) observations of crack damage evolution in soil-rock mixture during uniaxial deformation. Arab. J. Geosci. 2018, 11, 199. [Google Scholar] [CrossRef]
- Liu, G.; Wang, W.; Li, X.; Chen, W.; Zhou, Y.; Wang, Y.; Ren, S. Analysis of the Effect of Loading Rate on Mechanical Properties of Fissured Rock Materials and Acoustic Emission Characteristic Parameters. Buildings 2024, 14, 1579. [Google Scholar] [CrossRef]
- Boukhelkhal, A.; Benabed, B.; Abousnina, R.; Vimonsatit, V. Behavior of Self-Compacting Concrete Cylinders Internally Confined with Various Types of Composite Grids. Buildings 2025, 15, 1286. [Google Scholar] [CrossRef]
- Li, H.; Zhao, B.; Hou, Z.; Min, H. Experimental Study on the Mechanical Properties of Rock–Concrete Composite Specimens under Cyclic Loading. Buildings 2024, 14, 854. [Google Scholar] [CrossRef]
- Fakhimi, A.; Hemami, B. Axial splitting of rocks under uniaxial compression. Int. J. Rock Mech. Min. Sci. 2015, 79, 124–134. [Google Scholar] [CrossRef]
- Olovyanny, A.G. Lateral earth pressure in rock mass. J. Min. Inst. 2010, 185, 141–147. Available online: https://cyberleninka.ru/article/n/bokovoy-raspor-v-massive-gornyh-porod (accessed on 5 May 2025). (In Russian).
- Khomenko, O.; Kononenko, M.; Bilegsaikhan, J. Classification of theories about rock pressure. Solid. State Phenom. 2018, 277, 157–167. [Google Scholar] [CrossRef]
- Shekov, V.; Kolesnikov, G. Modeling the Conditions of Occurrence and State of Radial Cracks in Rock Specimens Under Axial Compression with Lateral Pressure. Appl. Sci. 2024, 14, 11552. [Google Scholar] [CrossRef]
- Wang, H.; Xie, F.; Fu, X.; Wang, Y.; Yin, Z. An Investigation of the Effect of Fissure Inclination on Specimen Deformation and the Damage Mechanism Based on the DIC Method. Buildings 2025, 15, 713. [Google Scholar] [CrossRef]
- Hu, Q.; Li, Q.; Liu, X.; Ding, K.; Li, Z.; Bai, Y. Mechanical Properties and Crack Evolution of Rock-like Materials with Varying Particle Sizes Prepared by Impact and Static Compaction Methods. Materials 2025, 18, 1695. [Google Scholar] [CrossRef]
- Lin, T.; Dong, Z.; Gong, B. Numerical Study of the Mechanical Properties and Failure Mechanisms of Shale Under Different Loading Conditions. Appl. Sci. 2025, 15, 4405. [Google Scholar] [CrossRef]
- Zheng, Q.; Qian, J.; Zhang, H.; Chen, Y.; Zhang, S. Velocity tomography of cross-sectional damage evolution along rock longitudinal direction under uniaxial loading. Tunn. Undergr. Space Technol. 2024, 143, 105503. [Google Scholar] [CrossRef]
- Yankelevsky, D.Z. The uniaxial compressive strength of concrete: Revisited. Mater. Struct. 2024, 57, 144. [Google Scholar] [CrossRef]
- Walley, S.M.; Rogers, S.J. Is Wood a Material? Taking the Size Effect Seriously. Materials 2022, 15, 5403. [Google Scholar] [CrossRef] [PubMed]
- Skyrianou, I.; Koutas, L.N.; Papakonstantinou, C.G. Mechanical Properties of Rubberised Concrete Confined with Basalt-Fibre Textile-Reinforced Mortar Jackets. Constr. Mater. 2022, 2, 181–199. [Google Scholar] [CrossRef]
- Gao, W.; Chen, X.; Hu, C.; Zhou, C.; Cui, S. New damage evolution model of rock material. Appl. Math. Model. 2020, 86, 207–224. [Google Scholar] [CrossRef]
- Rooz, A.F.H.; Sainsbury, B.-A. Adelaide black granite: Geomechanical characterisation for underground design. Aust. J. Earth Sci. 2025, 72, 233–251. [Google Scholar] [CrossRef]
- Damine, Y.; Bessous, N.; Megherbi, A.C.; Sbaa, S. Early bearing fault detection using EEMD and three-sigma rule denoising method. Mechanics 2023, 29, 302–308. [Google Scholar] [CrossRef]
- Wu, Z.; Wu, L.; Lin, T.; Niu, W.-J. An engineering rock mass quality classification system for deep-buried hard rock tunnels. Front. Earth Sci. 2024, 12, 1453912. [Google Scholar] [CrossRef]
- Niu, G.; He, X.; Xu, H.; Dai, S. Development of Rock Classification Systems: A Comprehensive Review with Emphasis on Artificial Intelligence Techniques. Eng 2024, 5, 217–245. [Google Scholar] [CrossRef]
- Jaiswal, A.; Verma, A.K.; Singh, T.N. A critical review of rock mass classification systems for assessing the stability condition of rock slopes. Environ. Earth Sci. 2024, 83, 245. [Google Scholar] [CrossRef]
- Esterhuizen, G.S.; Dolinar, D.R.; Ellenberger, J.L. Pillar strength in underground stone mines in the United States. Int. J. Rock Mech. Min. Sci. 2011, 48, 42–50. [Google Scholar] [CrossRef]
- Khakimov, S.I.; Urinov, S.R. Sublevel stoping with applying artificial hardening stowing pillars for extraction of veins in complica ted geotechnical conditions. Min. Sci. Technol. Russ. 2021, 6, 252–258. (In Russian) [Google Scholar] [CrossRef]
- Esterhuizen, G.S.; Tyrna, P.L.; Murphy, M.M. A Case Study of the Collapse of Slender Pillars Affected by Through-Going Discontinuities at a Limestone Mine in Pennsylvania. Rock Mech. Rock Eng. 2019, 52, 4941–4952. [Google Scholar] [CrossRef] [PubMed]
- Esterhuyse, J.C.; Malan, D.F. Simulating pillar reinforcement using a displacement discontinuity boundary element code. J. S. Afr. Inst. Min. Metall. 2023, 123, 211–222. [Google Scholar] [CrossRef]
- Qiao, Q.; Nemcik, J.; Porter, I.; Baafi, E. Laboratory investigation of support mechanism of thin spray-on liner for pillar reinforcement. Géotech. Lett. 2014, 4, 317–321. [Google Scholar] [CrossRef]
- Couto, P.M.; Malan, D.F. A Limit Equilibrium Model to Simulate the Large-Scale Pillar Collapse at the Everest Platinum Mine. Rock Mech. Rock Eng. 2023, 56, 183–197. [Google Scholar] [CrossRef]
- Dondapati, G.K.; Deb, D.; Porter, I.; Karekal, S. Improvement of strength-deformability behaviour of rock-like materials and coal using fibre-reinforced thin spray-on liner (FR-TSL). Rock Mech. Rock Eng. 2022, 55, 3997–4013. [Google Scholar] [CrossRef]
- Ehrlich, M.; Mirmoradi, S.H.; Silva, G.F.; Nascimento, G. Evaluation of the effect of constant and non-constant Poisson’s ratio on reinforcement load of reinforced soil walls. Soils Found. 2024, 64, 101409. [Google Scholar] [CrossRef]
- Hong, Z.; He, M.; Ding, M.; Yu, X.; He, L.; Zhang, Y.; Wen, Z. A Direct Measurement Method for the Uniaxial Tensile Strength of Rock. Buildings 2024, 14, 3903. [Google Scholar] [CrossRef]
- Marinos, V.; Prountzopoulos, G.; Papouli, D.; Michalopoulou, D.; Eleftheriou, V. Geotechnical Assessment of Foundation Stability for Preserving the Agrippa Monument at the Acropolis of Athens. Sensors 2025, 25, 219. [Google Scholar] [CrossRef]
- Medeiros, J.M.P.; Di Sarno, L. Cracking Methods for Testing of Self-Healing Concrete: An Experimental Approach. Buildings 2024, 14, 1744. [Google Scholar] [CrossRef]
- Voznesenskii, A.S.; Ushakov, E.I.; Kutkin, Y.O. Fracture toughness of rock-concrete interfaces and its prediction based on acoustic properties. Min. Sci. Technol. Russ. 2025, 10, 5–14. [Google Scholar] [CrossRef]
- Feng, G.L.; Ma, Q.; Lacidogna, G.; Pan, P.Z.; Wang, Z.F.; Su, G.S. Experimental study on the failure characteristic and mechanism of granite time-delayed rockburst under true triaxial condition. Geomech. Geophys. Geo-Energy Geo-Resour. 2023, 9, 164. [Google Scholar] [CrossRef]
- Yang, Y.; Lei, R.; Gu, Q.; Hu, C.; Zhou, L.; Wei, S.; Li, X. Role of Loading Rate on Cracking Behavior in Granite Disks With Laboratory Experiments and Grain-Based Modeling. Fatigue Fract. Eng. Mater. Struct. 2025, 48, 764–782. [Google Scholar] [CrossRef]












| Loading Rate mm/s | Poisson’s Ratio, Point a | Poisson’s Ratio, Point b |
|---|---|---|
| 0.0001 | 0.07 | 0.14 |
| 0.001 | 0.07 | 0.15 |
| 0.01 | 0.08 | 0.14 |
| Model | Poisson’s Ratio | |||
|---|---|---|---|---|
| 1 | Constant, 0.22 | 0.742 (100%) | 0.706 (100%) | 0.657 (100%) |
| 2 | Non-constant, | 0.802 (108%) | 0.771 (110%) | 0.730 (112%) |
| Model | Poisson’s Ratio | s | |||
|---|---|---|---|---|---|
| 1 | Constant, 0.22 | 0 | 0.742 (100%) | 0.706 (100%) | 0.657 (100%) |
| 0.05 | 0.614 (83%) | 0.584 (83%) | 0.544 (83%) | ||
| 0.10 | 0.486 (65%) | 0.463 (66%) | 0.431 (66%) | ||
| 2 | Non-constant, | 0 | 0.802 (108%) | 0.771 (109%) | 0.730 (111%) |
| 0.05 | 0.704 (95%) | 0.677 (96%) | 0.640 (97%) | ||
| 0.10 | 0.605 (82%) | 0.583 (83%) | 0.551 (84%) | ||
| Pillar | , MPa | s | |||
|---|---|---|---|---|---|
| Failed Pillar | 22 | 0 | 0 | 8.8 | 0.695 |
| 0.05 | 1.1 | 0.585 | |||
| 0.10 | 2.2 | 0.475 | |||
| Unbroken Pillar | 17 | 0 | 0 | 6.8 | 0.695 |
| 0.05 | 0.85 | 0.585 | |||
| 0.10 | 1.7 | 0.475 |
Disclaimer/Publisher’s Note: The statements, opinions and data contained in all publications are solely those of the individual author(s) and contributor(s) and not of MDPI and/or the editor(s). MDPI and/or the editor(s) disclaim responsibility for any injury to people or property resulting from any ideas, methods, instructions or products referred to in the content. |
© 2025 by the authors. Licensee MDPI, Basel, Switzerland. This article is an open access article distributed under the terms and conditions of the Creative Commons Attribution (CC BY) license (https://creativecommons.org/licenses/by/4.0/).
Share and Cite
Kolesnikov, G.; Shekov, V.; Gavrilov, T. Modeling the Influence of Non-Constant Poisson’s Ratio on Crack Formation Under Uniaxial Compression of Rocks and Concrete. Eng 2025, 6, 130. https://doi.org/10.3390/eng6060130
Kolesnikov G, Shekov V, Gavrilov T. Modeling the Influence of Non-Constant Poisson’s Ratio on Crack Formation Under Uniaxial Compression of Rocks and Concrete. Eng. 2025; 6(6):130. https://doi.org/10.3390/eng6060130
Chicago/Turabian StyleKolesnikov, Gennady, Vitali Shekov, and Timmo Gavrilov. 2025. "Modeling the Influence of Non-Constant Poisson’s Ratio on Crack Formation Under Uniaxial Compression of Rocks and Concrete" Eng 6, no. 6: 130. https://doi.org/10.3390/eng6060130
APA StyleKolesnikov, G., Shekov, V., & Gavrilov, T. (2025). Modeling the Influence of Non-Constant Poisson’s Ratio on Crack Formation Under Uniaxial Compression of Rocks and Concrete. Eng, 6(6), 130. https://doi.org/10.3390/eng6060130

