Next Article in Journal
Assessment of Silicon and Rhenium Recovery Efficiency from Copper-Containing Tailings of Processing Plants
Previous Article in Journal
Feature Generation with Genetic Algorithms for Imagined Speech Electroencephalogram Signal Classification
 
 
Due to scheduled maintenance work on our servers, there may be short service disruptions on this website between 11:00 and 12:00 CEST on March 28th.
Font Type:
Arial Georgia Verdana
Font Size:
Aa Aa Aa
Line Spacing:
Column Width:
Background:
Article

Experimental Investigation on the Mechanical Properties of the Frozen Rocks at the Yamal Peninsula, Russian Arctic

by
Vladimir Leonidovich Trushko
1,
Elena Konstantinovna Baeva
1,* and
Alexander Alexandrovich Blinov
2
1
Department of Constructing Mining Enterprises and Underground Structures, Empress Catherine II St. Petersburg Mining University, 2 21st Line, St. Petersburg 199106, Russia
2
Gazprom Proektirovanie LLC, 4, St. Sacco and Vanzetti, Saratov Region, Saratov 410012, Russia
*
Author to whom correspondence should be addressed.
Submission received: 21 March 2025 / Revised: 7 April 2025 / Accepted: 8 April 2025 / Published: 14 April 2025
(This article belongs to the Section Chemical, Civil and Environmental Engineering)

Abstract

This paper presents laboratory results on the physical–mechanical properties of frozen rocks from Russia’s Yamal Peninsula, aiming to improve foundation design in permafrost. Samples from various geological profiles underwent compression and shear tests along the freezing surface at −3 °C, following standard protocols. Strength and deformation characteristics were established for prevalent frozen rock types (sands, sandy loams, clay loams, clays), revealing links between physical properties and mechanical behavior. The study specifically investigated how salinity and the degree of pore filling with ice/unfrozen water influence the deformation modulus, crucial for foundation reliability in permafrost. Results demonstrated significant property variability related to granulometry, plasticity, porosity, and salinity. Deformation modulus generally decreased with increasing dispersion, ranging from approximately 44 MPa for saline sands down to 6–14 MPa for clays. Shear resistance varied from 0.05 to 0.20 MPa (clays) to 0.20–0.30 MPa (sands). The influence of pore filling on deformation modulus depended complexly on rock type, porosity, and salinity. These findings provide valuable data for geomechanical modeling and bearing capacity assessments of pile foundations in Arctic regions, particularly the Yamal Peninsula.

1. Introduction

The active development of Arctic regions, particularly the Yamal Peninsula—characterized by widespread permafrost and large-scale oil and gas infrastructure projects—necessitates a deeper understanding of cryogenic processes and phenomena within frozen geological materials [1,2]. Resource extraction in permafrost zones presents unique challenges related to the specific behavior of these materials [3]. Key features distinguishing the mechanical properties of frozen rocks include the dynamic equilibrium between unfrozen water and ice, pronounced rheological behavior, and inherent instability of mechanical properties [4,5,6]. It is well-established [7,8,9] that the strength of frozen materials is significantly influenced by factors such as porosity, density, unfrozen water content, temperature, mineral structure characteristics, and loading rate. Insufficient consideration of these factors can lead to a complete loss of foundation bearing capacity [10] and serious environmental problems [11]. Common hazards resulting from anthropogenic activities include reduced rock bearing capacity, frost heave and settlement affecting surface and buried structures, gravitational mass movements, and others [12]. Ensuring the stability of foundations on frozen ground requires precise determination of their physical and mechanical properties, alongside the development of reliable methods for predicting property changes [13] and effective stabilization solutions [14,15,16].
Modern development of Arctic territories, marked by complex geocryological conditions, demands an integrated approach [17] that incorporates both findings from frozen rock research and advancements in related fields. Achieving reliable forecasts necessitates the use of contemporary methods for characterizing rock properties, including techniques adapted from the mining industry [18,19,20]. Numerical modeling has become an essential tool [21,22], enabling the prediction of the behavior of complex geomechanical systems [23,24,25], with the finite element method proving particularly useful for assessing the influence of various factors [26,27,28]. Furthermore, successful Arctic development is contingent upon optimizing technological processes and effective resource management [29,30].
Given the challenging operating environment for structures in the Arctic, the use of advanced materials and technologies is crucial to ensure structural reliability and durability [31,32,33]. It is vital to study the factors affecting structural stability [34], especially under the conditions of long-term operations [35,36]. Concurrently, understanding the specifics of each deposit and related geological features [37,38,39], as well as the influence of external factors, including dynamic loads [40,41,42], is important.
The inherent variability of frozen rock behavior in time and space [43,44] underscores the need for a thorough investigation of its physical and mechanical properties. Unlike thawed materials, frozen rocks exhibit strength and deformation characteristics that vary widely depending on temperature, moisture content, mineral composition, ice content, structure type, and load application rate [45,46]. These properties are also highly susceptible to changes upon thawing, resulting in strength loss, increased compressibility, and settlement or deformation that can significantly exceed allowable limits for foundations and structures [47,48].
The study area is located on the Yamal Peninsula in the Arctic region of Russia (Figure 1). Samples were collected from the Kharasaveyskoye gas condensate field (coordinates: 71°11′05″ N, 66°53′50″ E). On the Yamal Peninsula, where weak, dispersed frozen rocks with varying degrees of salinity are common, and whose bearing capacity decreases significantly with the increasing temperature [49], determining the mechanical properties and behavior under diverse load and temperature conditions is particularly critical [50,51]. The salinity of frozen rocks can also significantly alter their physical and mechanical properties by lowering the freezing point, potentially reducing strength, and increasing deformability [52,53]. Therefore, predicting foundation deformations and stability, determining the adfreeze strength between frozen rock and foundation materials [54,55], and selecting optimal construction and foundation strengthening methods [56] are primary tasks for the successful development of the region. Consequently, determining the changes in the physical and mechanical properties of frozen rocks in Arctic territories, along with improving existing methods for studying their mechanical behavior, are key factors for the successful and sustainable development of these regions [57,58].

2. Materials and Methods

The analysis of physical and mechanical properties was carried out for the rocks of the Kharasaveyskoye gas condensate field located on the western coast of the Yamal Peninsula, in the immediate vicinity of the Kara Sea. This area is characterized by a complex geological structure, including the presence of frozen rocks of various compositions and ice content, as well as saline rocks in the coastal zone [43]. Upper Pleistocene-Holocene marine sediments are involved in the geological structure of the site. Permafrost rocks are mainly represented by clays and clay loams, less often sandy loams and sands.
Sampling was carried out to conduct a complex of laboratory tests, including the study of the physical and mechanical characteristics of frozen rocks. To preserve the structure of the samples, special methods and equipment were used during sampling, which minimized mechanical impact. The physical properties were determined in accordance with GOST 5180 [60] and GOST 12536 [61]. For each of the 380 samples, humidity, density, granulometric composition, organic matter content, degree of salinity, and ice content were determined in laboratory conditions.
The mechanical characteristics were determined in accordance with GOST 12248.8 [62] and GOST 12248.10 [63] and included the following:
  • Determination of the deformability characteristics of frozen soils by compressive stress;
  • Determination of the strength characteristics of frozen soils by the method of cutting along the freezing surface.
Both the compression and shear test along the freezing surface were conducted at a constant temperature of −3 °C.
For compression stress tests, 251 cylindrical samples with a diameter of 71.4 mm and a height of 35 mm were produced. A total of 362 samples shaped like cylinders with a diameter of 71.4 mm and a height of 35 mm were produced for testing by the method of cutting along the freezing surface. Immediately before the test, the samples were kept at a constant negative temperature for at least 24 h, set for testing, in order to equalize the temperature over the entire thickness of the sample.
To carry out compression tests, a device for testing frozen rocks using the compression stress method of NPP Geotek LCC, Penza, Russia was used, as shown in Figure 2. The sample was loaded by applying a stepwise increasing vertical load. Each load stage was set in accordance with the GOST 12248.8 methodology. The load was applied at a preset speed and maintained at each stage until the deformations were stabilized, which was controlled by a displacement sensor and a deformation stabilization criterion. During the tests, the vertical load, vertical deformation and time were determined. As a result of the processing, the compression factor and the deformation modulus were determined. The results obtained were used to plot the dependence of relative deformation on the applied load for each type of rock and for further analysis.
To determine the shear resistance of frozen rocks, the method of single-plane cutting along the freezing surface with the foundation material was used. The device of a single-plane cut was used. The device of a single-plane cut for testing frozen rocks of NPP Geotek LCC is shown in Figure 3. The purpose of the test was to determine the shear resistance of frozen sands and clay rocks on the surface of their freezing with pile material. For testing, samples of undisturbed structure and rings with foundation material (steel of strength class 345 grade 09G2S according to GOST 19281 [64]) were used. The diameter of the material sample was equal to the diameter of the rock sample.
According to GOST 12248.8, the tests were carried out according to the “soil-foundation material” scheme. The preparation for the test was carried out as follows: using a press and a sharp knife, samples of undisturbed structure were cut out with a working ring in a room with a constant negative temperature. A ring identical in size to the sample of the foundation material was installed on the working ring. After preparation, the samples were kept at a test temperature of at least 24 h before being installed in the test device, and then installed in a cutting unit.
The tests were carried out by applying a normal load to the sample installed in the device and then applying a shear load in steps until the deformation was conditionally stabilized. During the tests, the shearing load, deformation, and time were determined. After the tests were completed, the data obtained were processed to determine the characteristics of the adhesion strength of frozen rocks to the foundation material.

3. Results

As a result of the study of the physical properties of 380 samples of frozen rocks from the Yamal Peninsula, the values of their humidity, density, degree of salinity and ice content were obtained. It is important to recognize that the observed relationships are influenced by the complex interplay of multiple factors, and the bivariate analyses presented here serve as a foundation for understanding these intricate dependencies.
It was found that the total humidity of rocks varies depending on the type of rocks. Clay rocks tend to have higher humidity than sandy and clay loamy rocks. Table 1 shows the results of a humidity study of the various types of rocks.
The density of frozen rocks also depends on the type of the rock, humidity, and ice content. The obtained rock density values are shown in Table 2.
The total ice content is an important characteristic of frozen rocks, which has a significant effect on their mechanical properties. The values of the ice content of the frozen rocks are shown in Table 3.
A characteristic feature of the studied frozen rocks is the presence of saline samples, ranging from slight to strong salinity. The maximum salinity values were observed in clays. The presence of salts in the frozen rocks affects the temperature at which water begins to freeze, which can also affect their mechanical properties. The results of the study of salinity of the various types of rocks are presented in Table 4.
The results of the study of the physical properties of frozen rocks are shown in Figure 4.
Compression tests were performed for 251 samples with undisturbed structures (with natural humidity and ice content) in a frozen state. As a result of the tests, graphs of the dependence of deformation on the applied load were obtained, which were used to find the deformation modulus of frozen rocks. The results of compression tests for frozen rocks are shown in Figure 5.
As a result of the tests performed by the single-plane cut method, the values of the maximum long-term shear resistance along the freezing surface of frozen rocks with foundation material for 362 samples were determined. The results of the frozen rock shear tests are shown in Figure 6. The maximum long-term shear resistance value was defined as the highest shear stress, at which the deformation of the sample stabilized at a given normal stress.

4. Discussion

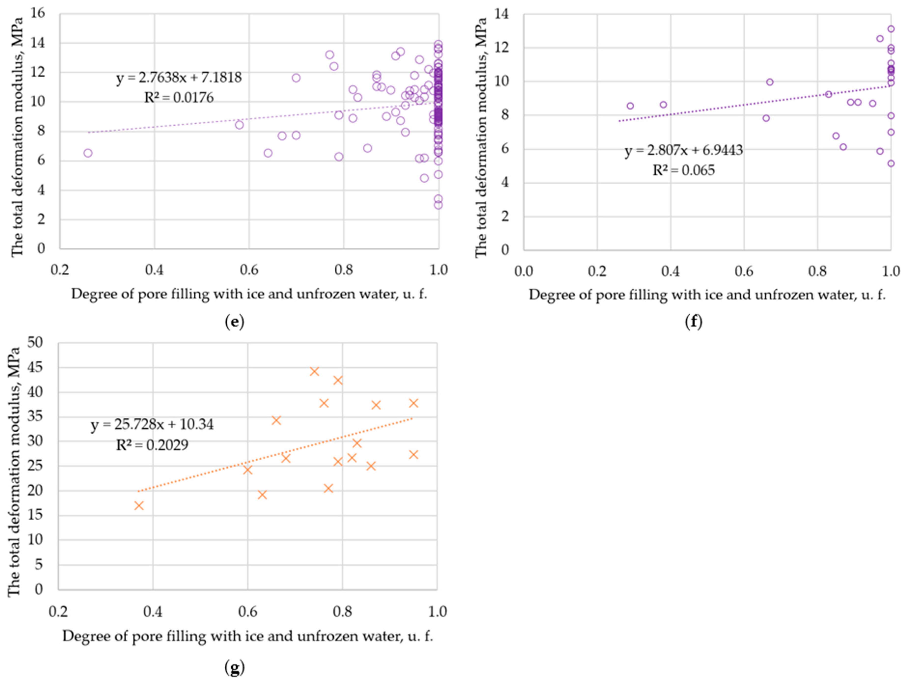
The analysis of the effect of the degree of pore filling with ice and unfrozen water on the deformation characteristics was carried out for frozen unsalted and saline rocks. The dependences of the deformation modulus obtained as a result of the compression tests on the degree of pore filling with ice and unfrozen water for rocks of various types and degrees of salinity are shown in Figure 7 and Figure 8. While this analysis focuses on the influence of pore filling with ice and unfrozen water and salinity, it is acknowledged that these factors interact significantly with temperature, confining pressure and rock structure, which were not explicitly varied or fully coupled in this specific analysis. A full understanding requires considering these coupled effects.
It is noted that saline rocks have more stable values of the deformation modulus. The deformation modulus of frozen saline rocks (especially clays and clay loams) is on average higher than that of unsalted rocks [65]. This may be due to the influence of salts on increasing the tenacity of the frozen rock structure.
A general pattern of an increase in the deformation modulus with an increase in the degree of pore filling with ice and unfrozen water has been revealed for all types of rocks except unsalted clay loams. This may be due to the peculiarities of their structure and the number of pores. In addition, there is a decrease in the deformation modulus with increasing dispersion: sand > sandy loam > clay loam > clay. Large particles of sand and clay loam create a stable structure and allow for a better resistance to deformation, even in a saline state. The fine-grained structure of clays contains more pores holding ice and unfrozen water, which generally reduces the resistance to deformation. The range of changes in the total deformation modulus of frozen rocks is shown in Table 5.
Tests have been carried out to determine the shear resistance of frozen rocks. As a result of the tests, the values of the maximum long-term shear resistance of frozen rocks along the freezing surface with the foundation (piles) material were obtained, then they were compared with the presence of salts in the rock (Figure 9). Overcoming the pile resistance by external forces leads to the loss of strength and the development of irreversible shear deformations along the pile–rock contact surface [66].
The analysis of the obtained dependences allows to establish a general pattern of reducing the long-term value of shear resistance with the increasing salinity of rocks. The high dispersion of clay rocks and the presence of small pores increase contact with salt solutions, which weakens the structural strength of the rock and destroys cementing bonds. For sands, a decrease in shear strength is also present, but less pronounced. The range of variation in the maximum long-term value of the shear resistance of frozen rocks is shown in Table 6.
It should be noted that the initial phase of the research was conducted on samples from the Kharasaveyskoye field of the Yamal Peninsula at a single temperature (−3 °C), and further development is planned to expand the range of negative temperatures and rock type characteristic of the Russian Arctic regions.

5. Conclusions

As a result of comprehensive laboratory studies of the physical–mechanical properties of 380 frozen rock samples from the Kharasaveyskoye field, Yamal Peninsula, patterns of change in the deformation modulus and long-term shear resistance were revealed in relation to moisture content, ice content, and salinity:
1.
The deformation modulus of frozen saline rocks, particularly clays and clay loams, generally exceeds the corresponding value for non-saline rocks:
For clays, the deformation modulus of saline samples ranges from 8 to 14 MPa, whereas for non-saline samples, it ranges from 6 to 12 MPa;
For clay loams, these values range from 10 to 14 MPa and from 8 to 12 MPa, respectively.
2.
The nature of the relationship between the degree of pore filling with ice and unfrozen water and the deformation modulus is largely determined by the rock type and its salinity degree. However, in most cases, a general trend of an increasing deformation modulus with an increasing degree of pore filling by ice and unfrozen water can be noted. Specifically, the deformation modulus of clay increases by approximately 15% as the degree of pore filling increases from 0.26 to 1, while for sand, it increases by 74% as the degree of pore filling increases from 0.4 to 1. Non-saline clay loams show an opposite trend, with the modulus decreasing by 21% as the degree of pore filling increases from 0.14 to 1.
3.
A decrease in rock dispersion is accompanied by a regular decrease in the deformation modulus. For instance, the deformation modulus of saline sands can reach 44 MPa, whereas for saline clays, this indicator does not exceed 14 MPa.
4.
Analysis of the obtained dependencies indicates that the shear resistance of saline clayey rocks can decrease by 20–30% compared to non-saline ones. Concurrently, the shear resistance ranges from 0.20 to 0.30 MPa for sands, 0.15 to 0.25 MPa for sandy loams, 0.10 to 0.22 MPa for clay loams, and 0.05 to 0.20 MPa for clays; this must be considered during foundation design.
Further research is planned to expand the range of studies on frozen rocks in the Russian Arctic region, taking into account temperature changes under realistic climatic conditions, and to apply the obtained results in geomechanical modeling.

Author Contributions

Conceptualization, V.L.T., E.K.B. and A.A.B.; methodology, V.L.T. and A.A.B.; software, A.A.B.; validation, E.K.B. and A.A.B.; formal analysis, V.L.T.; investigation, E.K.B. and A.A.B.; resources, A.A.B.; data curation, E.K.B.; writing—original draft preparation, E.K.B.; writing—review and editing, V.L.T. and A.A.B.; visualization, E.K.B.; supervision, V.L.T.; project administration, V.L.T. All authors have read and agreed to the published version of the manuscript.

Funding

This research received no external funding.

Institutional Review Board Statement

Not applicable.

Informed Consent Statement

Not applicable.

Data Availability Statement

Data are contained within the article.

Conflicts of Interest

Author Alexander Alexandrovich Blinov was employed by the company Gazprom Proektirovanie LLC. The authors declare that this affiliation did not influence the study design, interpretation of data, or the writing of this manuscript. The remaining authors declare that the research was conducted in the absence of any commercial or financial relationships that could be construed as a potential conflict of interest.

Abbreviations

The following abbreviations are used in this manuscript:
GOSTAll-Union State Standard
NPPResearch and Production Enterprise
LLCLimited Liability Company

References

  1. Dvoynikov, M.V.; Sidorkin, D.I. Technical and technological solutions for the development of oil and gas fields in the Arctic zone of the Russian Federation. Drill. Oil 2022, 2, 12–17. (In Russian) [Google Scholar]
  2. Marchenko, I.A. Features of engineering surveys for drilling platforms in the Arctic seas. Vesti Gazov. Nauki. 2019, 2, 149–156. (In Russian) [Google Scholar]
  3. Baulin , V.V.; Dubikov , G.I.; Aksenov , V.I.; Ivanova, N.V.; Rivkin , F.M.; Chernyadiev , V.P.; Shamanova , I.I. Geocryological conditions of Kharasaveyskoye and Kruzenshternskoye Gas Condensate Fields (Yamal Peninsula); GEOS: Moscow, Russia, 2003; p. 180. (In Russian) [Google Scholar]
  4. Tsytovich, N.A. Mechanics of Frozen Soils; Vysshaya Shkola: Moscow, Russia, 1973; 346p. (In Russian) [Google Scholar]
  5. Brushkov, A.V.; Alekseev, A.G.; Badina, S.V.; Drozdov, D.S.; Dubrovin, V.A.; Zhdaneev, O.V.; Zheleznyak, M.N.; Melnikov, V.P.; Okunev, S.N.; Osokin, A.B.; et al. Structure maintenance experience and the need to control the soils thermal regime in permafrost areas. J. Min. Inst. 2023, 263, 742–756, EDN IMQTQY. [Google Scholar]
  6. Iudin, M.M. Geomechanical model for assessing the mechanical properties of frozen rocks in the massif. Bull. Northeast. Fed. Univ. Named After M.K. Ammosov. 2008, 5, 40–45. (In Russian) [Google Scholar]
  7. Davarpanah, S.M.; Török, Á.; Vásárhelyi, B. Review on the mechanical properties of frozen rocks. Rud. Geološko-Naft. Zb. 2022, 37, 83–96. [Google Scholar] [CrossRef]
  8. Shastri, A.; Sánchez, M.; Gai, X.; Lee, M.Y.; Dewers, T. Mechanical behavior of frozen soils: Experimental investigation and numerical modeling. Comput. Geotech. 2021, 138, 104361. [Google Scholar] [CrossRef]
  9. Anderson, D.M.; Morgenstern, N.R. Physics, chemistry and mechanics of frozen ground: A review. In Proceedings of the Second International Conference on Permafrost, Yakutsk, Russian, 16–28 July 1973; National Academy of Sciences: Washington, DC, USA, 1973; pp. 257–288. [Google Scholar]
  10. Melnikov, V.P.; Osipov, V.I.; Brushkov, A.V.; Badina, S.V.; Drozdov, D.S.; Dubrovin, V.A.; Zheleznyak, M.N.; Sadurtdinov, M.R.; Sergeev, D.O.; Ostarkov, N.A.; et al. Assessment of damage to residential and industrial buildings and structures caused by temperature changes and thawing of permafrost in the Arctic zone of the Russian Federation by the middle of the 21st century. Geoecology. Eng. Geol. Hydrogeol. Geocryol. 2021, 1, 14–31. (In Russian) [Google Scholar] [CrossRef]
  11. Dzyublo, A.D.; Alekseeva, K.V.; Perekrestov, V.E.; Xiang, H. Natural and Technogenic Phenomena during Development of Oil and Gas Fields on the Shelf of the Arctic Seas. Occup. Saf. Ind. 2020, 4, 74–81. [Google Scholar] [CrossRef]
  12. Popova, A.A. Problems of geotechnical monitoring on permafrost soils. Foundations 2021, 4, 24–27. (In Russian) [Google Scholar]
  13. Zhang, Z.; Roman, L.T.; Ma, W.; Feng, W.; Zhao, S. The freeze-thaw cycles-time analogy method for forecasting long-term frozen soil strength. Measurement 2016, 92, 483–488. [Google Scholar] [CrossRef]
  14. Kovalsky, E.; Kongar-Syuryun, C.; Morgoeva, A.; Klyuev, R.; Khayrutdinov, M. Backfill for Advanced Potash Ore Mining Technologies. Technologies 2025, 13, 60. [Google Scholar] [CrossRef]
  15. Hou, X.; Chen, J.; Liu, Y.; Rui, P.; Zhao, J.; Zhang, S.; Dang, H. Field observation of the thermal disturbance and freezeback processes of cast-in-place pile foundations in warm permafrost regions. Res. Cold Arid. Reg. 2023, 15, 18–26. [Google Scholar] [CrossRef]
  16. Lavrik, A.; Buslaev, G.; Dvoinikov, M. Thermal Stabilization of Permafrost Using Thermal Coils Inside Foundation Piles. Civ. Eng. J. 2023, 9, 927–938. [Google Scholar] [CrossRef]
  17. Cherepovitsyn, A.E.; Tcvetkov, P.S.; Evseeva, O.O. Critical analysis of methodological approaches to assessing sustainability of arctic oil and gas projects. J. Min. Inst. 2021, 249, 463–479. [Google Scholar] [CrossRef]
  18. Petrov, D.N.; Abashin, V.I.; Karasev, M.A.; Selikhov, A.A. Non-destructive testing applicability in rock mass strength estimation in underground mine at the Gremyachinsk deposit. Min. Inf. Anal. Bull. 2024, 12, 227–244. (In Russian) [Google Scholar] [CrossRef]
  19. Belyakov, N.A.; Emelyanov, I.A. Inclusion of rock mass fracturing in determination of in situ stress state by overcoring using multi-component displacement sensor. Min. Inf. Anal. Bull. 2024, 12, 145–164. (In Russian) [Google Scholar] [CrossRef]
  20. Basalaeva, P.B.; Kuranov, A.D. Influence of dip angle of lithologically nonuniform interburden on horizontal mine opening stability during driving. Min. Inf. Anal. Bull. 2024, 3, 17–30. (In Russian) [Google Scholar] [CrossRef]
  21. Zhao, Y.; Zhang, M.; Gao, J. Research progress of constitutive models of frozen soils: A review. Cold Reg. Sci. Technol. 2023, 206, 103720. [Google Scholar] [CrossRef]
  22. Yu, F.; Guo, P.; Na, S. A framework for constructing elasto-plastic constitutive models for frozen and unfrozen soils. Int. J. Numer. Anal. Methods Geomech. 2022, 46, 436–466. [Google Scholar] [CrossRef]
  23. Komolov, V.; Belikov, A. Assessment of the impact of the construction of semi-buried structures on the surrounding buildings and the road system. In IOP Conference Series: Materials Science and Engineering; IPO Publishing: Bristol, UK, 2020; Volume 918, p. 012027. [Google Scholar] [CrossRef]
  24. Protosenya, A.G.; Kumov, V.V. Effect of soil body structure of mixed-type tunnel face on shape and size of subsidence trough on ground surface. Min. Inf. Anal. Bull. 2024, 4, 5–21. [Google Scholar] [CrossRef]
  25. Yao, X.; Qi, J.; Liu, M.; Yu, F. A frozen soil creep model with strength attenuation. Acta Geotech. 2017, 12, 1385–1393. [Google Scholar] [CrossRef]
  26. Demenkov, P.A.; Romanova, E.L. Regularities of Plastic Deformation Zone Formation Around Unsupported Shafts in Tectonically Disturbed Massive Rock. Geosciences 2025, 15, 23. [Google Scholar] [CrossRef]
  27. Amiri, S.G.; Grimstad, G.; Kadivar, M.; Nordal, S. ; Grimstad, G.; Kadivar, M.; Nordal, S. Constitutive model for rate-independent behavior of saturated frozen soils. Can. Geotech. J. 2016, 53, 1646–1657. [Google Scholar] [CrossRef]
  28. Karasev, M.; Astapenka, T. Assessment of the Influence of Formation Conditions of Embankments and Spoil Heaps on Their Stability When Dumped on Clay-Salt Slurries. Eng 2024, 6, 2. [Google Scholar] [CrossRef]
  29. Tang, L.; Cui, Y.; Chen, J.; Yang, G.; Sun, S.; Li, G.; Sun, Q.; Jia, H. Analysis and research on the difference of design codes for vertical bearing capacity of pile foundation in cold regions. Cold Reg. Sci. Technol. 2023, 206, 103723. [Google Scholar] [CrossRef]
  30. Zhukovsky, Y.; Suslikov, P. Assessment of the potential effect of applying demand management technology at mining enterprises. Sustain. Dev. Mt. Territ. 2024, 16, 895–908. [Google Scholar] [CrossRef]
  31. Stoyanov, I. Environmentally friendly material for the construction of pile foundations on permafrost. In E3S Web of Conferences; EDP Sciences: Les Ulis, France, 2023; Volume 403, p. 02015. [Google Scholar] [CrossRef]
  32. Sun, Z.; Liu, J.; Hu, T.; You, T.; Fang, J. Design and cooling performance analysis of the temperature-controlled pile (TCP) in permafrost regions. Cold Reg. Sci. Technol. 2023, 205, 103714. [Google Scholar] [CrossRef]
  33. Cheremisina, O.V.; Balandinsky, D.; Gorbacheva, A.; Lysenko, M.; Yinzhou, L. Physicochemical features of action of ethoxylated esters of phosphoric acid with different degree of ethoxylation in conditions of froth flotation of apatite. Colloids Surf. A Physicochem. Eng. Asp. 2025, 708, 135974. [Google Scholar] [CrossRef]
  34. Gao, J.; Chen, J.; Hou, X.; Mei, Q.; Liu, Y. Discussion on pile axial load test methods and their applicability in cold regions. Res. Cold Arid. Reg. 2022, 14, 239–249. [Google Scholar] [CrossRef]
  35. Kotikov, D.A.; Veselova, A.V.; Romanova, E.L.; Demenkov, P.A. Analysis of the factors of loss of stability of vertical shaft lining during long-term operation in the Far North. Min. Inf. Anal. Bull. 2024, 11, 57–80. (In Russian) [Google Scholar] [CrossRef]
  36. Guo, Z.; Xu, X.; Wang, Y.; Fan, C.; Sang, A.; Fan, L.; Hao, S.; Yan, Z. Significance analysis of the factors influencing the strength of the frozen soil-structure interface and their interactions in different phase transition zones. Case Stud. Therm. Eng. 2023, 50, 103475. [Google Scholar] [CrossRef]
  37. Moroz, N.E.; Gendler, S.G.; Vyunikov, A.A. Gas-dynamic phenomena in tunnel driving thought the host rocks of the ‘International’ kimberlite pipe. Gorn. Promyshlennost 2023, S1, 96–102. [Google Scholar] [CrossRef]
  38. You, Y.; Wang, J.; Wu, Q.; Yu, Q.; Pan, X.; Wang, X.; Guo, L. Causes of pile foundation failure in permafrost regions: The case study of a dry bridge of the Qinghai-Tibet Railway. Eng. Geol. 2017, 230, 95–103. [Google Scholar] [CrossRef]
  39. Zherlygina, E.S.; Kuranova, M.E.; Gusev, V.N.; Odintsov, E.E. Identification of hazardous sites based on studying the development of man-made fractures within the rock mass. Russ. Min. Ind. 2025, 1, 162–169. (In Russian) [Google Scholar] [CrossRef]
  40. Safiullin, R.; Efremova, V.; Ivanov, B. The Method of Multi-criteria Evaluation of the Effectiveness of the Integrated Control System of a Highly Automated Vehicle. Open Transp. J. 2024, 18, e18744478309909. [Google Scholar] [CrossRef]
  41. Zhang, X.; Yang, Z.; Chen, X.; Guan, J.; Pei, W.; Luo, T. Experimental study of frozen soil effect on seismic behavior of bridge pile foundations in cold regions. Structures 2021, 32, 1752–1762. [Google Scholar] [CrossRef]
  42. Protosenya, A.G.; Veselova, A.V. Assessment of karst cave influence on ore body stability during development of Western Yakutia deposits. Min. Inf. Anal. Bull. 2025, 1, 33–46. (In Russian) [Google Scholar] [CrossRef]
  43. Trofimov, V.T.; Krasilova, N.S. Saline frozen soils of Russian Arctic coast and their engineering geological specific. Bull. Mosc. Soc. Nat. Geol. Ser. 2017, 92, 49–57. [Google Scholar]
  44. Shpolyanskaya, N.A.; Streletskaya, I.D.; Surkov, A.V. Cryolithogenesis within the Arctic shelf (modern and ancient). Cryosphere Earth Sci. J 2006, X, 49–60. (In Russian) [Google Scholar]
  45. Kadivar, M.; Manahiloh, K.N. Revisiting parameters that dictate the mechanical behavior of frozen soils. Cold Reg. Sci. Technol. 2019, 163, 34–43. [Google Scholar] [CrossRef]
  46. Petrovic, J.J. Review Mechanical Properties of Ice and Snow. J. Mater. Sci. 2003, 38, 1–6. [Google Scholar] [CrossRef]
  47. Nikiforova, N.S.; Konnov, A.V. Piles bearing capacity in permafrost soils under climate change. Constr. Geotech. 2021, 12, 14–24. [Google Scholar] [CrossRef]
  48. Vasiliev, G.; Dzhaljabov, A.; Leonovich, I. Analysis of the causes of engineering structures deformations at gas industry facilities in the permafrost zone. J. Min. Inst. 2021, 249, 377–385. [Google Scholar] [CrossRef]
  49. Streletskiy, D.A.; Shiklomanov, N.I.; Grebenets, V.I. Changes in the bearing capacity of frozen soils due to climate warming in the north of Western Siberia. Cryosphere Earth 2012, 16, 22–32. (In Russian) [Google Scholar]
  50. Kurilko, A.S.; Iudin, M.M. Canonical representation of the influence of freezing-thawing cycles on the strength of rocks. Min. Inf. Anal. Bull. Sci. Tech. J. 2010, 10, 310–313. (In Russian) [Google Scholar]
  51. Yao, X.; Zhang, M.; Xu, G.; Yu, F. Influence of mechanical properties on the coefficient of lateral earth pressure at rest of frozen soils. Cold Reg. Sci. Technol. 2020, 174, 103057. [Google Scholar] [CrossRef]
  52. Brushkov, A.V. Saline Permafrost Rocks of the Arctic Coast, Their Origin and Properties; Lomonosov Moscow State University Publishing House: Moscow, Russia, 1998; 331p. (In Russian) [Google Scholar]
  53. Lai, Y.; Liao, M.; Hu, K. A constitutive model of frozen saline sandy soil based on energy dissipation theory. Int. J. Plast. 2016, 78, 84–113. [Google Scholar] [CrossRef]
  54. Lin, C.; Wang, G.; Guan, C.; Feng, D.; Zhang, F. Experimental study on the shear characteristics of different pile-soil interfaces and the influencing factors. Cold Reg. Sci. Technol. 2023, 206, 103739. [Google Scholar] [CrossRef]
  55. Zhang, Q.; Zhang, C. Nonlinear shear characteristics of frozen loess-concrete interface. PLoS ONE 2023, 18, e0290025. [Google Scholar] [CrossRef]
  56. Zhdanova, S.M.; Neratova, O.A. Reinforcement of Bases and foundations with modern materials in harsh conditions. Transp. Asia-Pac. Region 2019, 4, 67–74. (In Russian) [Google Scholar]
  57. Alekseev, A.; Rabinovich, M. Updating regulatory framework for underlying soil bases and foundations on permafrost soils. Bull. Sci. Res. Cent. Constr. 2021, 29, 5–12. [Google Scholar] [CrossRef]
  58. Buslaev, G.V.; Kunshin, A.A.; Sidorov, D.A.; Loseva, E.S.; Lavrik, A.Y. Modeling solutions for the placement of Arctic oil and gas facilities. Bus. J. Neft. 2022, 1, 62–71. (In Russian) [Google Scholar]
  59. Novikov, D.A. Evaluation of Cretaceous deposits of the Yamal Peninsula for their hydrocarbon potential based on the water-gas equilibria modeling results. J. Phys. Conf. Ser. 2020, 1451, 012015. [Google Scholar] [CrossRef]
  60. GOST 5180-2015; Soils. Methods of Laboratory Determination of Physical Characteristics. Standartinform: Moscow, Russia, 2019.
  61. GOST 12536-2014; Soils. Methods of Laboratory Determination of Granulometric (Grain) and Microaggregate Composition. Standartinform: Moscow, Russia, 2019.
  62. GOST 12248.8-2020; Soils. Determination of the Strength Characteristics of Frozen Soils by the Method of Cutting Along the Freezing Surface. Standartinform: Moscow, Russia, 2020.
  63. GOST 12248.10-2020; Soils. Determination of the Deformability Characteristics of Frozen Soils by Compressive Stress Method. Standartinform: Moscow, Russia, 2020.
  64. GOST 19281-2014; High-Strength Rolled Materials. General Technical Conditions. Standartinform: Moscow, Russia, 2016.
  65. Voronkov, O.K.; Ushakova, L.F. Preliminary Evaluation of Mechanical Characteristics of Frozen Saline Soils. Found. VNIIG Named After B.E. Vedeneev JSC 2022, 304, 29–47. (In Russian) [Google Scholar]
  66. Aksenov, V.I. Saline Frozen Soils of the Arctic Coast as the Base of Structures; All About the Construction World: Moscow, Russia, 2008; 340p. (In Russian) [Google Scholar]
  67. GOST 25100-2020; Soils. Classification. Standartinform: Moscow, Russia, 2020.
Figure 1. Location map of the Yamal Peninsula and overprinted discovered fields of oil/gas/condensate: 1—Malyginskoe, 2—Syadorskoe, 3—North-Tambeyskoe, 4—Tambeyskoe, 5—West-Tambeyskoe, 6—Kharasaveyskoye, 7—South-Tambeyskoye, 8—Kruzenshternskoye, 9—NorthBovanenkovskoe, 10—Bovanenkovo (Bovanenkovskoe), 11—East-Bovanenkovskoe, 12—Verkhne-Tiutey, 13—West Seyakha, 14—Nerstinskoe, 15—Neitinskoe, 16—Baidaratskoe, 17—Arkticheskoe, 18—Ust-Yuribeyskoe, 19—Nurminskoe, 20—Sredneyamalskoe, 21—Khambateyskoe, 22—Maloyamalskoye, 23—Rostovtsevskoe, 24—Kamennomysskoe, 25—Novoportovskoye (Novy Port) [59].
Figure 1. Location map of the Yamal Peninsula and overprinted discovered fields of oil/gas/condensate: 1—Malyginskoe, 2—Syadorskoe, 3—North-Tambeyskoe, 4—Tambeyskoe, 5—West-Tambeyskoe, 6—Kharasaveyskoye, 7—South-Tambeyskoye, 8—Kruzenshternskoye, 9—NorthBovanenkovskoe, 10—Bovanenkovo (Bovanenkovskoe), 11—East-Bovanenkovskoe, 12—Verkhne-Tiutey, 13—West Seyakha, 14—Nerstinskoe, 15—Neitinskoe, 16—Baidaratskoe, 17—Arkticheskoe, 18—Ust-Yuribeyskoe, 19—Nurminskoe, 20—Sredneyamalskoe, 21—Khambateyskoe, 22—Maloyamalskoye, 23—Rostovtsevskoe, 24—Kamennomysskoe, 25—Novoportovskoye (Novy Port) [59].
Eng 06 00076 g001
Figure 2. Sample preparation for testing and type of compression device.
Figure 2. Sample preparation for testing and type of compression device.
Eng 06 00076 g002
Figure 3. Single-plane cut test device.
Figure 3. Single-plane cut test device.
Eng 06 00076 g003
Figure 4. Distribution of physical properties for each type of frozen rocks.
Figure 4. Distribution of physical properties for each type of frozen rocks.
Eng 06 00076 g004
Figure 5. Graph of the dependence of the relative deformation of frozen rocks on the applied load at −3 °C: (a) sand; (b) clay loam; (c) sandy loam; (d) clay.
Figure 5. Graph of the dependence of the relative deformation of frozen rocks on the applied load at −3 °C: (a) sand; (b) clay loam; (c) sandy loam; (d) clay.
Eng 06 00076 g005
Figure 6. Graph of stress deformation dependence at −3 °C: (a) sand; (b) sandy loam; (c) clay loam; (d) clay. Red squares denote the long-term shear resistance values.
Figure 6. Graph of stress deformation dependence at −3 °C: (a) sand; (b) sandy loam; (c) clay loam; (d) clay. Red squares denote the long-term shear resistance values.
Eng 06 00076 g006aEng 06 00076 g006b
Figure 7. Dependence of the total deformation modulus on the degree of pore filling with ice and unfrozen water at a temperature of −3 °C for (a) unsalted and (b) saline permafrost rocks.
Figure 7. Dependence of the total deformation modulus on the degree of pore filling with ice and unfrozen water at a temperature of −3 °C for (a) unsalted and (b) saline permafrost rocks.
Eng 06 00076 g007aEng 06 00076 g007b
Figure 8. Trend lines and coefficients of determination for the studied types of frozen rocks: (a) saline sandy loam; (b) unsalted sandy loam; (c) saline clay loam; (d) unsalted clay loam; (e) saline clay; (f) unsalted clay; (g) saline sand.
Figure 8. Trend lines and coefficients of determination for the studied types of frozen rocks: (a) saline sandy loam; (b) unsalted sandy loam; (c) saline clay loam; (d) unsalted clay loam; (e) saline clay; (f) unsalted clay; (g) saline sand.
Eng 06 00076 g008aEng 06 00076 g008b
Figure 9. Dependence of the maximum long-term value of shear resistance on the degree of salinity of rocks at a temperature of −3 °C (the line marks the boundaries of salinity according to GOST 25100 [67]): (a) clay; (b) sand; (c) clay loam; (d) sandy loam.
Figure 9. Dependence of the maximum long-term value of shear resistance on the degree of salinity of rocks at a temperature of −3 °C (the line marks the boundaries of salinity according to GOST 25100 [67]): (a) clay; (b) sand; (c) clay loam; (d) sandy loam.
Eng 06 00076 g009
Table 1. Results of determining the total humidity of the samples.
Table 1. Results of determining the total humidity of the samples.
Type of RocksTotal Humidity, Unit FractionMaximum Humidity, Unit FractionMinimum Humidity, Unit Fraction
Sand0.26–0.300.450.24
Sandy loam0.28–0.451.600.20
Clay loam0.35–0.642.610.20
Clay0.33–0.471.890.22
Table 2. Results of determination of sample density.
Table 2. Results of determination of sample density.
Type of RocksDensity, g/cm3Maximum Density, g/cm3Minimum Density, g/cm3
Sand1.80–1.891.971.34
Sandy loam1.59–1.792.180.97
Clay loam1.56–1.772.090.95
Clay1.65–1.832.170.83
Table 3. Results of determining the total ice content of the samples.
Table 3. Results of determining the total ice content of the samples.
Type of RocksTotal Ice Content, Unit FractionMaximum Ice Content, Unit FractionMinimum Ice Content, Unit Fraction
Sand0.42–0.440.630.37
Sandy loam0.25–0.400.840.21
Clay loam0.30–0.510.840.20
Clay0.26–0.400.940.11
Table 4. Results of determination of salinity of samples.
Table 4. Results of determination of salinity of samples.
Type of RocksSalinity, %Maximum Salinity, %Minimum Salinity, %
Sand0.10–0.200.500.07
Sandy loam0.08–0.250.350.06
Clay loam0.09–0.180.690.05
Clay0.17–0.471.340.07
Table 5. The range of changes in the total deformation modulus of various types of rocks, depending on the degree of filling of pores with ice and unfrozen water.
Table 5. The range of changes in the total deformation modulus of various types of rocks, depending on the degree of filling of pores with ice and unfrozen water.
Type of RocksSalinityThe Degree Pore-Filling with Ice and Unfrozen Water, Unit FractionMinimum/Maximum Total Deformation Modulus, MPaTotal Deformation Modulus, MPa
SandSaline0.40–1.0017.1/44.224.8–37.5
Sandy loamUnsalted0.14–1.005.9/16.39.1–13.9
Saline0.40–1.005.1/19.57.8–12.1
Clay loamUnsalted0.14–1.007.3/14.69.7–12.0
Saline0.40–1.0010.1/14.210.9–13.9
ClayUnsalted0.26–1.005.2/13.18.4–10.8
Saline0.26–1.003.0/13.98.9–11.1
Table 6. Test results of various types of rocks with a single-plane cut.
Table 6. Test results of various types of rocks with a single-plane cut.
Type of RocksThe Maximum Long-Term Value of Shear Resistance, MPa
Sand0.20–0.30
Sandy loam0.15–0.25
Clay loam0.10–0.22
Clay0.05–0.20
Disclaimer/Publisher’s Note: The statements, opinions and data contained in all publications are solely those of the individual author(s) and contributor(s) and not of MDPI and/or the editor(s). MDPI and/or the editor(s) disclaim responsibility for any injury to people or property resulting from any ideas, methods, instructions or products referred to in the content.

Share and Cite

MDPI and ACS Style

Trushko, V.L.; Baeva, E.K.; Blinov, A.A. Experimental Investigation on the Mechanical Properties of the Frozen Rocks at the Yamal Peninsula, Russian Arctic. Eng 2025, 6, 76. https://doi.org/10.3390/eng6040076

AMA Style

Trushko VL, Baeva EK, Blinov AA. Experimental Investigation on the Mechanical Properties of the Frozen Rocks at the Yamal Peninsula, Russian Arctic. Eng. 2025; 6(4):76. https://doi.org/10.3390/eng6040076

Chicago/Turabian Style

Trushko, Vladimir Leonidovich, Elena Konstantinovna Baeva, and Alexander Alexandrovich Blinov. 2025. "Experimental Investigation on the Mechanical Properties of the Frozen Rocks at the Yamal Peninsula, Russian Arctic" Eng 6, no. 4: 76. https://doi.org/10.3390/eng6040076

APA Style

Trushko, V. L., Baeva, E. K., & Blinov, A. A. (2025). Experimental Investigation on the Mechanical Properties of the Frozen Rocks at the Yamal Peninsula, Russian Arctic. Eng, 6(4), 76. https://doi.org/10.3390/eng6040076

Article Metrics

Back to TopTop