Abstract
Solar energy is one of the promising renewable energies; it is clean, green, and accepted worldwide for targeting sustainable development through applications such as power generation, desalination, food preservation, etc. Solar-powered desalination has received more attention in recent times to meet the demand of pure water in the rural places of many countries where solar energy is abundant. In the present work, a double-slope passive solar desalination system was fabricated with readily available materials that can be installed and used in rural places, either for domestic purposes or in small-scale industries. The capacity of the desalination system fabricated to be filled with saline water is ~15 L. The performance of the desalination system is continuously monitored by recording the temperatures at various locations around the system, such as the outer surface of the glass, the inner surface of the glass, inside the basin, and outside the basin, through DHT11 sensors controlled by Arduino programming fed in the Arduino UNO board. The influence of solar radiation intensity and temperatures at various locations on the solar still on the thermal performance and production of desalination unit is analyzed by the data recorded by the Arduino program. A cumulative yield of fresh water of around 0.7–0.9 L is recorded every day, and the lowest yield of around 0.55 L was obtained on the third day of experimentation.
1. Introduction
The solar-powered desalination process was developed long ago in the form of solar stills, which are popular even in the present day. Solar desalination systems have gained more attention globally due to the significant increase in the demand of fossil fuels. Solar energy is a low-cost renewable energy that is accepted worldwide and mostly recommended in rural areas, where its availability is abundant. The scarcity of pure water in these rural areas can be solved by incorporating this kind of system with minimal energy utilization. In general, solar desalination systems can be categorized into two types, namely active and passive. In active desalination systems, the solar energy is directly absorbed by the saline water, whereas in a passive system, the solar energy is absorbed by the glazing on the solar collector and then transferred to the saline water. It is mandatory to monitor the performance of the desalination system throughout its working time as it is influenced by climatic conditions and other disturbances. Monitoring and recording the temperatures at various locations on the desalination system will facilitate in estimating the performance of the system effectively. The DHT 11 sensor is one of the popular sensors used to record both temperature and humidity at various locations on a thermal system. The outputs of DHT11 sensors are interfaced with Arduino circuits followed by an LCD output display unit. The Arduino program is the-open source coding available to be fed into the microcontroller of an Arduino circuit board. This programming helps in monitoring temperatures continuously without any physical access, thereby improving the flexibility of the system. Some of the relevant studies and their findings are discussed in this section, which adds to the justification for the present study. Pascale et al. [1] assessed the feasibility and profitability of the substitution of fuel energy used for desalination plants with renewable energy. In their study, seawater was heated in a vessel called a brine heater, up to a temperature of 120 °C, and then flowed into another vessel. This reverse osmosis process can run during nighttime when electricity costs are low and work during the daytime with low running costs due to low-pressure steam. A sustainable phase-change desalination process was developed by Veera Gnaneswar et al. [2] that can be driven solely by solar energy. They found that saline water can be desalinated at about 40–50 °C, which is lower than the 60–100 °C range in traditional solar stills and other distillation methods. To enhance the productivity of fresh water, Hafs et al. [3] integrated the usage of both fins and Cu2O nano particulates in the base fluid. They proved that the daily productivity was increased by 20% compared to that of a conventional solar still. Abdullah [4] and his team investigated the thermal performance of solar water stills with an enhanced solar heating system. Thermocouples were positioned at specific locations in the still to record the temperatures throughout the day. The thermocouples were connected to a data logger to record and save the temperature readings every 15 min. The system’s inlet basin saline water temperature increased appreciably to almost saturated temperature, and therefore, saline water in the basin required only a low level of heat to be vaporized, which hence increased the production of fresh water and enhanced the solar still thermal efficiency. The motivation behind the present investigation is that a portable desalination system developed with readily available materials with a continuous monitoring system controlled by programming software avoids the problem of physical accessibility. The novelty of the present study is that usage of a DHT11 sensor with the Arduino UNO program, one of the applications of the Internet of Things (IoT), to monitor the temperatures of a thermal system will increase the flexibility and efficiency significantly compared to that of the conventional method of recording the temperature data. Part of the present study, i.e., energy and exergy analysis, was already published by the authors [5], and the performance monitoring of the solar still with certain parameters such as temperature, solar intensity, and productivity using Arduino programming was explained in this manuscript. In the present study, the dataset of temperatures was recorded multiple times at a particular time slot, aiming to achieve higher effectiveness of the analysis. For example, the measurement was recorded between 9.55 and 10.05 a.m. every 2 min for the fixed time of 10 a.m. The highlight of this work is the use of an IoT application in the performance analysis of the solar still, which is common to both articles. In particular, with respect to this manuscript, the novelty is the method used to fetch the data for analysis and the explanation of the programming part, with its implication in detail, proving the accuracy and precision of the data being recorded.
2. Experimentation
A double-slope passive solar still with a 15 L capacity was constructed using readily available materials such as steel and glass, with insulation made of polyurethane foam sheets; 5 L of saline water was maintained throughout the experimentation. The insulation thickness was maintained at 20 mm on all the sides of the basin except the glazing portion. The inner side of the basin was completely painted with black paint in order to receive and retain the solar radiation to the maximum possible level. The solar still was kept on a metal stand with an elevation of around 1 m so that external disturbances could be avoided and to receive solar radiation in a better manner. The fabricated setup of the double-slope solar still is shown in Figure 1. DHT11 sensors are used to record both the temperature and humidity at various locations on the solar still such as the outer surface of the glass, the inner surface of the glass, inside the basin, and outside the basin. The ambient temperature was measured at a region closer to the outer surface of the solar still. Except for that measuring the basin temperature, the DHT 11 sensor was attached to the surface by a suitable adhesive. The outputs of the sensors are interfaced with Arduino UNO circuit boards with LCD display. The UNO board and the microcontroller circuit interfaced with the DHT11 sensor are shown in Figure 2 and Figure 3, respectively.
Figure 1.
Fabricated setup of double-slope solar still.
Figure 2.
DHT11 sensor interfaced with UNO Arduino board.
Figure 3.
Circuit interfacing DHT11 sensor and microcontroller.
The Arduino coding for the measurement of temperature and humidity at various locations on the solar still as stated above is available in the following section. This program was fed into the microcontroller of the UNO board and the output was displayed in the LCD display. The experimental setup of the solar-powered double-slope desalination system with an Arduino UNO circuit board is shown in Figure 4 [5], which was presented in the previous published technical article by the authors on the energy and exergy analysis of the solar still. This article is solely about the performance monitoring using certain parameters recorded by the Arduino program. Two collecting tanks were placed in the outlets of the condensing unit of the desalination system to collect the fresh water yield. The list of components used in the experimental setup and their specifications are shown in Table 1. Daily cumulative yield of fresh water was measured using the collectors as shown in Figure 4. Each day’s hourly variation in solar intensity was noted to relate with the measurements of temperatures. The observations recorded during the experimentation are analyzed in the next section.
| #include <LiquidCrystal_I2C.h> |
| LiquidCrystal_I2C lcd(0x27,16,2); void setup() { |
| lcd.init(); |
| lcd.clear(); lcd.backlight(); |
| } |
| #include <DFRobot_DHT11.h> |
| DFRobot_DHT11 DHT; |
| #define DHT11a_PIN 6 |
| #define DHT11b_PIN 10 |
| #define DHT11c_PIN 11 |
| #define DHT11d_PIN 12 void loop() |
| { |
| loop1(); |
| loop2(); |
| loop3(); |
| loop4(); |
| } |
| void loop1() |
| { |
| DHT.read(DHT11a_PIN); |
| lcd.setCursor(0,0); lcd.print(“T1:”); lcd.println(DHT.temperature); lcd.setCursor(0,1); lcd.print(“H1:”); lcd.println(DHT.humidity); |
| delay(5000); |
| } |
| void loop2() |
| { |
| DHT.read(DHT11b_PIN); |
| lcd.setCursor(0,0); lcd.print(“T2:”); lcd.println(DHT.temperature); lcd.setCursor(0,1); lcd.print(“H2:”); lcd.println(DHT.humidity); |
| delay(5000); |
| } |
| void loop3() |
| { |
| DHT.read(DHT11c_PIN); |
| lcd.setCursor(0,0); lcd.print(“T3:”); lcd.println(DHT.temperature); lcd.setCursor(0,1); lcd.print(“H3:”); |
| lcd.println(DHT.humidity); |
| delay(5000); |
| } |
| void loop4() |
| { |
| DHT.read(DHT11d_PIN); |
| lcd.setCursor(0,0); lcd.print(“T4:”); lcd.println(DHT.temperature); lcd.setCursor(0,1); lcd.print(“H4:”); lcd.println(DHT.humidity); |
| delay(5000); |
| } |
Figure 4.
Experimental setup of desalination system [5].
Table 1.
List of components and their specifications.
3. Results and Discussions
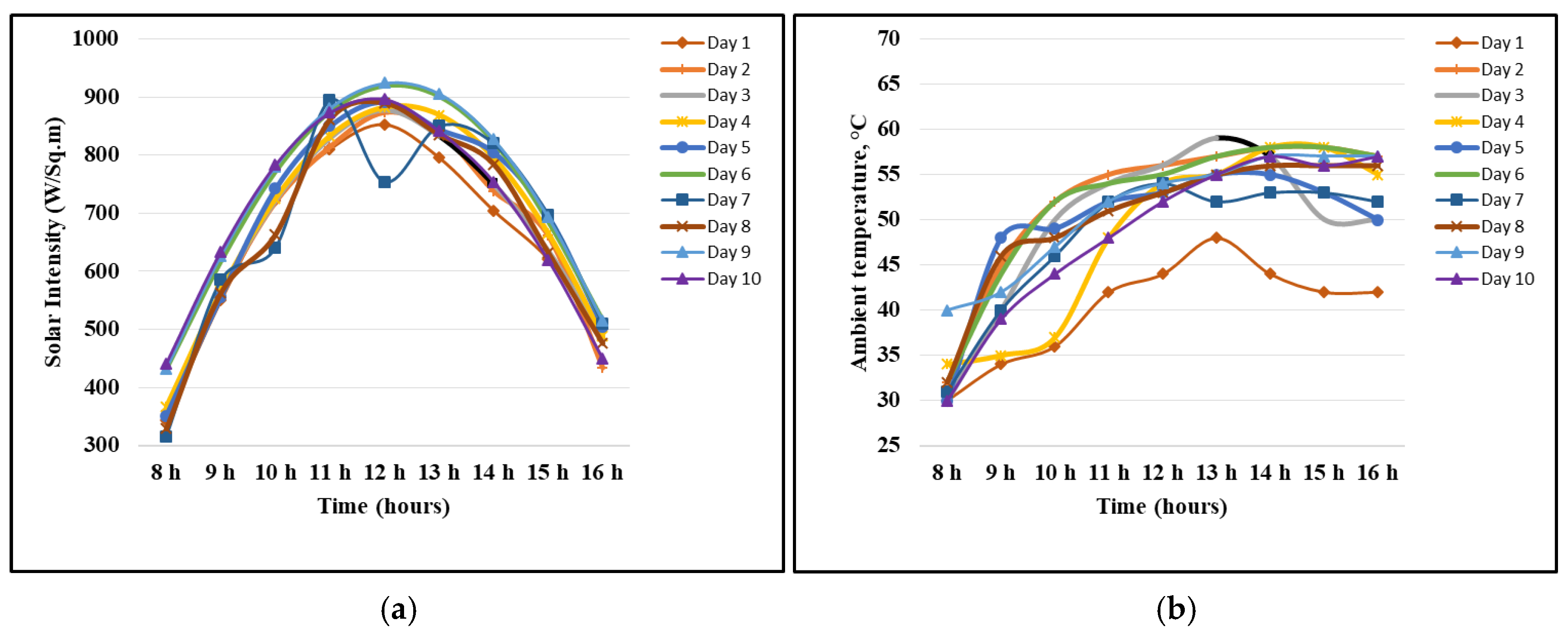
The solar intensity and ambient temperature recorded every day between 8 h and 16 h are shown in Figure 5a,b. The maximum solar intensity was observed between 12 h and 13 h on all days. A significant drop in solar intensity was noticed after 13 h every day. The temperatures recorded at various locations on the solar still were solely dependent on the intensity of solar radiation. With complete insulation provided on all sides of the solar still, it was assumed that the maximum solar intensity reached the collector and was absorbed by the saline water. Since the basin was made of steel, conduction and convection heat losses across the solar still cannot be ignored, and of course, radiation losses also exist in the solar still [6,7,8]. There was no significant difference in the trend of variation in solar intensity observed during the days of experimentation. Each day’s hourly variations in outer glass temperature, inner glass temperature, outer basin temperature, and inner basin temperature are shown in Figure 6a–d, respectively. The outer glass temperature increased steadily from 8 h to 14 h, after which there was a significant drop. The glazing outer surface temperature was dependent on the solar intensity, and there was a marginal drop in the outer glass temperature between 12 h and 14 h due to the velocity of wind [9,10,11]. The variation in inner glass temperature complemented the outer glass temperature, and it was also dependent on the heat capacity of saline water inside the basin [12]. Compared to the outer glass temperature, there was no drastic drop in temperature after 14 h. This was attributed to the fact that the heat storage capacity of the saline water and walls inside the basin is sufficient to retain heat and improves the evaporation rate. The variations in inner and outer basin temperature are proportional to the surface temperatures of the glazing. The maximum outer basin temperature was around 40 to 45 °C, which was significantly less than the glazing and inner basin temperature. This was due to the insulation provided on the walls of the basin [13]. In the case of the outer basin temperature, a constant difference of about 5 to 10 °C was observed compared with the inner basin temperature. The inner temperature of the basin is the fluid temperature, whereas the outer temperature of the basin is the surface temperature. The cumulative yield of fresh water was recorded hourly every day and is shown in Figure 7. The highest rate of condensation was observed after 13 h each day and resulted in higher yield. The maximum measured yield was about 0.95 L on the ninth day, and the minimum of about 0.54 L was recorded on the third day of experimentation, which was also reflected in the solar intensity recordings. Overall, the yield rate measured on all days of experimentation was about a liter, which may be due to the lower-order solar intensity and heat losses across the solar still.
Figure 5.
Each day’s hourly variation in (a) solar intensity and (b) ambient temperature.
Figure 6.
Each day’s hourly variation in (a) outer glass temperature, (b) inner glass temperature, (c) outer basin temperature, and (d) inner basin temperature.
Figure 7.
Daily cumulative fresh water yield.
4. Conclusions
- ➣
- Arduino programming with an Arduino UNO interface board was used and recorded the temperatures with less effort.
- ➣
- No abnormality was observed during the experimentation in the temperature readings recorded by the program.
- ➣
- The solar radiation intensity followed by the ambient temperature affected the thermal performance of the desalination system significantly.
- ➣
- A drastic rise in yield was observed after 12 h every day, as the rate of condensation was higher after this time.
Author Contributions
Conceptualization, G.R. and K.R.K.; methodology, G.R. and K.R.K.; software, G.R. and K.R.K.; validation, G.R. and K.R.K.; formal analysis, G.R. and K.R.K.; investigation, G.R. and K.R.K.; resources, G.R.; data curation, G.R. and K.R.K.; writing—original draft preparation, G.R. and K.R.K.; writing—review and editing, G.R. and K.R.K.; visualization, G.R. and K.R.K.; supervision, G.R. and K.R.K.; project administration, G.R. and K.R.K.; funding acquisition, G.R. and K.R.K. All authors have read and agreed to the published version of the manuscript.
Funding
This research received no external funding.
Institutional Review Board Statement
Not applicable.
Informed Consent Statement
Not applicable.
Data Availability Statement
The original contributions presented in this study are included in the article. Further inquiries can be directed to the corresponding author.
Conflicts of Interest
The authors declare no conflict of interest.
References
- Compain, P. Solar Energy for water desalination. Procedia Eng. 2012, 46, 220–227. [Google Scholar] [CrossRef]
- Gude, V.G.; Nirmalakhandan, N. Sustainable desalination using solar energy. Energy Convers. Manag. 2010, 51, 2245–2251. [Google Scholar] [CrossRef]
- Hafs, H.; Zaaoumi, A.; Bouramdane, Z.; Ansari, O.; Bah, A.; Asbik, M.; Malha, M. A Performance Analysis Study of a Single Slope Solar Still with Integrating Fins and Nanofluid for Productivity Enhancement. In Proceedings of the 1st International Conference of Computer Science and Renewable Energies (ICCSRE 2018), Ouarzazate, Morocco, 22–24 November 2018; pp. 342–348. [Google Scholar]
- Al Shabibi, A.M.; Tahat, M. Thermal Performance of a Single Slope Solar Water Still with Enhanced Solar Heating System. In Proceedings of the International conference on Renewable energies and power quality, La Coruña, Spain, 25–27 March 2015; pp. 585–590. [Google Scholar]
- Radhakrishnan, G.; Breaz, D.; Al Riyami, K.A.A.; Al Nadabi, W.S.; Al Nadabi, T.Y.; Karthikeyan, K.R. Performance Investigation on a Double slope passive solar desalination system targeting towards sustainable development of Oman. Energies 2023, 16, 5917. [Google Scholar] [CrossRef]
- Tarawneh, M.S.K. Effect of Water Depth on the Performance Evaluation of Solar Still. Jordan J. Mech. Ind. Eng. 2007, 1, 23–29. [Google Scholar]
- El-Agouz, S.A.; El-Aziz, G.B.A.; Awad, A.M. Solar desalination system using spray evaporation. Energy 2014, 76, 276–283. [Google Scholar] [CrossRef]
- Gude, V.G.; Nirmalakhandan, N.; Deng, S. Desalination using solar energy: Towards sustainability. Energy 2010, 36, 78–85. [Google Scholar] [CrossRef]
- Ullah, M.A.; Ali, A.; Asla, M.; Khan, K.H. Brackish Water Desalination Using Solar Desalination Panel. Curr. Investig. Agric. Curr. Res. 2018, 3, 1–5. [Google Scholar]
- Suraparaju, S.K.; Natarajan, S.K. Performance analysis of single slope solar desalination setup with natural fiber. Desalination Water Treat. 2020, 193, 64–71. [Google Scholar] [CrossRef]
- Savithiri, V.; El Hadi Attia, M.; Kabeel, A.E.; Vaithilingam, S.; Radhakrishnan, G. Enhancing the productivity of hemispherical solar distillation by using energy storage (rubber) and wick materials at different thickness. Sol. Energy Mater. Sol. Cells 2022, 248, 112006. [Google Scholar] [CrossRef]
- El-Maaty, A.E.A.; Awad, M.M.; Sultan, G.I.; Hamed, A.M. Solar powered fog desalination system. Desalination 2019, 472, 114130. [Google Scholar] [CrossRef]
- Hawlader, M.N.A.; Dey, P.K.; Diab, S.; Chung, C.Y. Solar assisted heat pump desalination system. Desalination 2004, 168, 49–54. [Google Scholar] [CrossRef]
Disclaimer/Publisher’s Note: The statements, opinions and data contained in all publications are solely those of the individual author(s) and contributor(s) and not of MDPI and/or the editor(s). MDPI and/or the editor(s) disclaim responsibility for any injury to people or property resulting from any ideas, methods, instructions or products referred to in the content. |
© 2025 by the authors. Licensee MDPI, Basel, Switzerland. This article is an open access article distributed under the terms and conditions of the Creative Commons Attribution (CC BY) license (https://creativecommons.org/licenses/by/4.0/).






