Abstract
Aluminum 7075 alloys are widely utilized in aerospace, transportation, and marine industries due to their high strength and low density. However, further research is needed to understand their mechanical, thermomechanical, and vibrational behaviors when reinforced. This study focuses on the development of Al 7075 composites reinforced with zirconium silicate (ZrSiO4), processed via sand stir casting. The mechanical properties, including tensile, compression, and impact strength, as well as thermomechanical and vibrational behaviors, were thoroughly investigated. A planetary ball mill was used to mix ZrSiO4 with a wettability agent, and the results indicated that the addition of ZrSiO4 with the wettability agent significantly enhanced the mechanical properties. Fourier Transform Infrared Spectroscopy (FTIR) was employed to identify the compounds formed after adding the reinforcement and wettability agent. Scanning Electron Microscope (SEM) images and Energy-dispersive X-ray (EDX) analysis revealed a uniform distribution of the particles within the matrix. The tensile, compression, and impact strengths increased by 20%, 21%, and 19%, respectively, with the addition of 8 wt% ZrSiO4; however, strain decreased. Additionally, heat treatment further enhanced the mechanical properties of the composites. The thermomechanical properties showed improvement even at elevated temperatures, and the damping factor was enhanced with the addition of ZrSiO4. The elemental composition of the reinforced composites was analyzed using EDX, confirming the presence of the reinforcement. This research highlights the potential of Al 7075-ZrSiO4 composites for improved performance in various applications.
1. Introduction
Aluminum alloys are widely used in a variety of applications, including spacecraft rocket fuel tanks, space vehicle fuselages, large, sealed compartments of manned spacecraft, automobile engine blocks, radiators, wheels, bumpers, suspension elements, gearbox bodies, and body parts [1,2,3,4,5]. These alloys are highly valued for their lightweight nature and exceptional corrosion resistance [6]. Aluminum alloys can also be heat-treated to enhance their strength, workability, thermal and electrical conductivity, and corrosion resistance [7,8]. In instances where lightweight, high stiffness, and moderate strength are essential, particularly in industries where economic considerations are critical—Aluminum Metal Matrix Composites (AMMCs), which utilize aluminum as the base metal, have successfully met stringent performance standards [9,10,11,12]. One such application is in wind turbines, which convert wind energy from kinetic to electrical form [13]. Additionally, projections suggest that the U.S. vehicle industry’s Corporate Average Fuel Economy (CAFE) standards will increase from the 2016 requirement of 35.5 mpg to 54.5 mpg by 2025 [14]. Lightweight materials, such as composites, have significant potential to meet these fuel efficiency goals.
Composite materials, although pre-dating modern civilization, were commercialized only after World War II [15]. These materials are engineered by combining two or more different components to achieve superior physical and mechanical properties compared to the individual materials. Aluminum metal and its alloys have found wide application in industries such as automotive and aerospace despite being the third most abundant element in Earth’s crust. In recent decades, there has been increasing interest in creating aluminum-based Metal Matrix Composites (MMCs) through novel structural combinations and advanced manufacturing techniques [16]. MMCs offer a promising future for aerospace applications due to their enhanced mechanical properties, low weight, adaptability to diverse requirements, and the ability to incorporate various advanced nanomaterials. Furthermore, MMCs have the potential to overcome the strength–ductility trade-off [17]. In the aerospace industry, the introduction of lightweight, high-strength composite materials is key to achieving improved fuel economy [18,19,20].
In addition to improving fuel efficiency, the manufacturing sector’s global competitiveness relies on minimizing production costs and maximizing efficiency [21]. Recently, MMCs have gained significant attention for their outstanding wear resistance and mechanical strength [22]. Among the most commonly used matrix materials are magnesium and aluminum. The investigation of reinforcements, particularly their interactions with the MMC matrix and their impact on the integrity of MMC microstructures, has become a key area of research. Variations in reinforcement materials are also critical in determining the optimal synthesis methods for Aluminum Metal Matrix Composites (AMMCs).
In recent years, researchers have increasingly focused on AMMCs due to their appealing properties, particularly the use of non-metallic particles. This makes them suitable for manufacturing via conventional casting processes, which is highly advantageous for aircraft applications. Many researchers have been directed toward aluminum 7075 (Al 7075) alloy and its composites, aiming to enhance the performance of various aircraft components. Researchers have also explored different combinations of hybrid nano reinforcements in AMMCs to assess their mechanical and tribological properties. These reinforcement materials, which include particles with high hardness, strength, high-temperature durability, and low thermal expansion, significantly improve wear resistance and high-temperature performance.
Among all aluminum alloys, 7075 is recognized for its high zinc content, which contributes to its exceptional fatigue strength and good machinability. However, it is characterized by low weldability and corrosion resistance. Despite these limitations, Al 7075 possesses strong mechanical properties, making it a preferred choice for aerospace applications. It is lightweight, malleable, and corrosion-resistant, offering strength comparable to steel alloys while maintaining a much lower weight. With a specific gravity of 2.73 (0.098 pounds per cubic inch), its excellent physical and mechanical properties, including a high strength-to-weight ratio and superior stress corrosion resistance, make it suitable for critical aircraft components such as fuselages and wings [23,24,25,26].
The study of Al 7075 and its reinforcement has garnered significant attention in recent years. Various researchers have reinforced aluminum alloys with different particles to enhance their properties. For example, Dhuruva et al. investigated the effects of ZrSiO4 particles at different weight fractions (0 wt%, 3 wt%, 5 wt%, and 8 wt%) and found that Al 356 reinforced with 5 wt% ZrSiO4 exhibited improved tensile strength [27]. Similarly, the compression strength and impact strength of Al 6063-ZrSiO4 composites were enhanced with the addition of 6% ZrSiO4. Shetty et al. reported a 13 wt% improvement in tensile properties when using a similar reinforcement method [28,29,30]. Other studies have reinforced aluminum alloys with Si3N4 particulates, showing significant improvements in microhardness and ultimate tensile strength. For instance, the ultimate strength of the AA6061 alloy, which was 159.82 MPa, increased to 249.12 MPa after incorporating 20 wt% Si3N4 [31]. Additionally, the addition of ZrO2 and graphene has been shown to enhance the tensile strength of composites [32], while Juliyana et al. studied LM5 aluminum reinforced with zirconia particles, observing an increase in hardness and compression strength [33].
Despite these advancements, very few studies have focused specifically on the effect of ZrSiO4 reinforcement on the mechanical properties and metallurgical characteristics of Al 7075 alloys. Notably, there is a gap in research regarding the use of Potassium Hexafluorotitanate as a wettability agent in Al 7075–ZrSiO4 composites, as well as the Dynamic Mechanical Analysis (DMA) characterization of these composites. Furthermore, although significant work has been performed to assess the mechanical properties of reinforced Al 7075, little attention has been given to understanding the thermomechanical behavior of these composites at elevated temperatures and their vibrational properties under fixed–fixed boundary conditions.
This study aims to address these gaps by investigating the mechanical properties and microstructural characteristics of Al 7075 composites reinforced with various percentages of ZrSiO4, with and without heat treatment. The mixing of the wettability agent and reinforcing materials will be carried out using a planetary ball mill, and new compounds formed after composite fabrication will be analyzed. Additionally, the thermomechanical properties of these composites will be evaluated at elevated temperatures, and the vibrational behavior of Al 7075 with ZrSiO4 reinforcement will be assessed through fixed-fixed boundary condition testing. This research will contribute valuable insights into the potential of ZrSiO4-reinforced Al 7075 composites for aerospace and other high-performance applications.
2. Materials and Methods
2.1. Materials
Al 7075 was purchased from M/s. Perfect Metal Works, Nahar Empire, Mysore Road, Bengaluru, India. The chemical composition provided by the supplier is as follows: 0.40–0.25% Silicon (Si), 0.50–0.21% Iron (Fe), 1.43–2% Copper (Cu), 0.18–0.30% Manganese (Mn), 0.23–0.28% Chromium (Cr), 5.45–6.1% Zinc (Zn), and 0.04–0.20% Titanium (Ti). Zirconium Silicate (ZrSiO4) was purchased from M/s. Loba Chemie Pvt. Ltd., Mumbai, India. It appears as an off-white powder and contains 64.10% ZrO2 + HfO2, 0.4–0.3% SiO2, 0.13–0.12% Fe2O3, and 0.08–0.13% TiO2, with a minimum mesh size of 325 mesh. Potassium Hexafluorotitanate (K₂TiF₆), with 98% purity, was purchased from M/s. Sisco Research Laboratories Pvt. Ltd., Andheri (E), Mumbai—400099, India. It has a melting point of 780 °C (1440 °F; 1050 K) and a boiling point of 235–237 °C (455–459 °F; 508–510 K). The density is 3.022 g/cm3. It is a bright and transparent crystal, soluble in hot water, slightly soluble in cold water and inorganic acids, but insoluble in ammonia.
2.2. Processing of Aluminum Composites
The ZrSiO4 particles reinforced aluminum composites were processed using sand stir casting. First, K2TiF6 powder mixed in ZrSiO4 particles was mixed using planetary ball milling with a speed of 300 rpm for 4 h, as shown in Figure 1d. The Planetary Ball Mill, a benchtop model made in India, is used in this work. The milling was carried out by utilizing a stainless-steel jar, along with stainless steel balls, in a ball-to-powder weight ratio of 20:1 [34].
Figure 1.
Processing of composites: (a) Aluminum 7075, (b) Zirconium silicate, (c) Potassium Hexaflurotitanate, (d) ball milling used to mix zirconium silicate with potassium hexafluorotitanate (e) Crucible and mechanical stirring, (f) Sand casting, (g) Compression samples, (h) Tensile samples, (i) Dynamic Mechanical Analyzer, (j) Free vibration analyses.
After ball milling, a mixture of K₂TiF₆ and ZrSiO4 was placed in a graphite crucible along with aluminum. The mixture was then melted in the crucible, and once it reached 780 °C, the molten alloy was stirred for 23 min at 575 rpm, as shown in Figure 1e. This stirring parameter was optimized during previous studies on aluminum composites [35]. The process was repeated for various weight percentages of ZrSiO4 (0, 2, 4, 6, and 8 wt%). K2TiF6 was added to the aluminum alloy to enhance the wettability of ZrSiO4 in aluminum. To address mixing issues and ensure proper blending during molding, K2TiF6 was mixed with ZrSiO4 using ball milling. K2TiF6 also serves as an analytical reagent, alloying additive, flame retardant, and fluxing agent for casting. It is an inorganic compound composed of potassium, fluorine, and titanium. With excellent fluxing properties, K2TiF6 is used in fluxing and grain refining agents for aluminum. When mixed with molten aluminum, ZrSiO4, and K2TiF6 undergo an exothermic reaction, contributing to the formation of titanium diboride. This reaction starts at temperatures as low as 220 °C, just before the aluminum melts. The reaction facilitates the formation of the reinforcement within the molten matrix, contributing to composite preparation [36,37]. The prepared samples were then cut into various standardized forms for characterization.
2.3. Heat Treatment
Aluminum alloys can improve their mechanical qualities by using T6 heat treatment. T6 heat treatment of ZrSiO4 reinforced Al 7075 composite samples, which involves aging treatment at 200 °C for 6 h and heat treatment at 530 °C for 2 h, followed by water oil and saltwater quenching [38].
2.4. Fourier Transform Infrared Spectroscopy
ALPHA II, Eco Fourier transform infrared (FTIR) Spectrometer with Eco ZnSe-ATR Quick Snap Sampling Module is a very reliable IR-analysis. The design of its hardware and software is highly integrated to ensure an intuitive and comfortable operation. Fourier transform infrared (FTIR) spectra were obtained with a Shimadzu spectrophotometer over a scan range of 400–4000 cm−1 (Mid-infrared spectra) with an average of 16 scans. The FTIR analysis was conducted at Siddaganga Institute of Technology, Tumkur, Karnataka, India.
2.5. Mechanical Characterizations
The tensile, compression, and impact characterization was carried out to check the mechanical properties of composites. The tensile test was carried out for five identical samples as per ASTM standard ASTM E8 M. Room temperature tensile test was carried out using the Instron 8501 equipment at the Department of Mechanical Engineering, REVA University, Bengaluru, Karnataka, India, as shown in Figure 1g,h. The strain rate was selected at 2 mm/min for the gauge length of 16.5 mm, diameter of 6.35 mm, total length of 102 mm, and gripper length of 27 mm. The BI-7040 Servo-Electric Test Systems, BISS model was used at Vidyavardhaka College of Engineering, Mysuru. The compression test was carried out as per ASTM E-9 standards with a size of 9 mm diameter and 18 mm length. The compression test was conducted at room temperature with a strain rate of 2 mm/min. The impact test was determined as per the ASTMD256 with a specimen dimension of 55 mm length, 10 mm width, and 10 mm thickness provided with a notch depth of 2 mm with a radius of 0.25.
2.6. Vibrational Characterization
The impulse hammer method serves as the foundation for the free vibration test. A lightweight sensor of type Kitsler 8778A500 is used to detect the vibration response that results from the excitation of an impulse using a tuned impulse hammer of type Kitsler 9722A2000. Vibration response and force input, both time-dependent, are sent into the modal analysis program DEWESOFT via the eight-channel DEWETRON data-gathering system shown in Figure 1j. The modal analysis program uses the Fast Fourier Transformation Technique (FFT) to transform the time–domain data into a frequency–domain signal [39,40].
2.7. Dynamics Mechanical Analyzer
A Dynamic Mechanical Analyzer (DMA) device was used to investigate the thermomechanical properties of reinforced composites made of ZrSiO4 and Al 7075. The PerkinElmer DMA 8000 model was utilized, and a nitrogen environment was created by passing from the top of the DMA chamber at a rate of 20 milliliters per minute at a strain of 0.050. The test was conducted in 5 °C increments from room temperature to 400 °C, maintaining an isothermal condition for five minutes before the start of each period. Temperature calibration is performed using the ASTM WK3645 standard testing. DMA characteristics and procedure reports are determined using the ASTM D4065-06 standard technique. In accordance with ASTM E2254-03 and ASTM E2425-05 standard testing procedures, the storage and loss modulus are calibrated. The polymer response was measured using the usual DMA nomenclature as per ASTM WK10344. To investigate temperature effects under a three-point bending mode shown in Figure 1i, the samples are manufactured into 50 mm length, 6 mm width, and 2 mm thickness sections.
2.8. Scanning Electron Microscopy (SEM)
The Zeiss, Jena, Germany, make scanning electron microscopes used for image analysis for various magnifications. The Model EVO 10 used to obtain Energy-dispersive X-ray (EdX) analysis is a technique that identifies the chemical composition of a material by analyzing the X-rays it emits. The facility is used at Central Facility, Department of Mechanical Engineering, Nitte Meenakshi Institute of Technology, Bengaluru, Karnataka, India.
3. Results and Discussion
3.1. Fourier Transform Infrared Spectroscopy
To verify the compounds and identify and characterize reinforcement material analysis. Fourier-Transform Infrared Reflection (FTIR) was carried out to analyze the composite interaction for ZrSiO4 reinforced with Al 7075, as shown in Figure 2. The main purpose of mixing ZrSiO4 in K2TiF6 is to enhance the wettability using casting. As per Malak et al., either in situ or ex situ methods are used to incorporate reinforcing compounds into metal matrices. Ex situ composites are more controlled than in-situ MMCs/MMNCs because of a variety of factors, including the weight percentage, size, and form of the reinforcing particles, etc., due to that reason the same technique used. Nevertheless, the primary issue with ex situ MMCs is their very low wettability [41,42]. The K2TiF6 is used as a wettability agent during casting; therefore, it is necessary to study the effect of reinforcement and the wettability agent on mechanical characterization. Figure 2 compares Al 7075 reinforced ZrSiO4 composites with and without K₂TiF₆. The FTIR spectrum of Al reinforced with ZrSiO4 composites shows many additional bands compared to that of Al 7075 peaks 1400.55 and 3132.71 cm−1.
Figure 2.
Fourier Transform Infrared (FTIR) analysis of 7075 aluminum with ZrSiO4 and K2TiF6.
The peak bands observed in metal acetates between 1500 and 1330 cm−1 in Al 7075 reinforced with ZrSiO4 composites have been attributed to both symmetric and asymmetric COO− stretching vibrations. The exact location of these bands depends on the type of metal. Specifically, for cerium acetate, the bands were found at 434.52 and 888.91 cm−1. The absorption bands at 610.18 and 88.91 cm−1 are associated with cerium, corresponding to Ce−O stretching vibrations. The sample’s OH stretching vibrations and physically adsorbed water molecules are represented by the small absorption bands at 2138 and 1642 cm−1. The strong absorption bands around 3100 cm−1 are indicative of the C–H symmetric and asymmetric stretch vibrations of methyl and methylene groups, respectively.
With the addition of the wettability agent and zirconium particles in Al 7075, new characteristic peaks were observed at strong positions: 423, 571, 749, 894, 1050, 1400, 1640, 1700, 1780, and 3127 cm−1. In spectroscopy, the presence of multiple peaks typically suggests the existence of various chemical bonds or functional groups in the sample. These peaks correspond to Si–C and Si–O–Si bonds, which are a result of the dehydration and condensation reactions of silane groups, as well as C–F oscillation modes [43,44,45].
3.2. Mechanical Properties
3.2.1. Tensile
The stress–strain curve for aluminum and its composites is shown in Figure 3. Al 7075 exhibits a maximum tensile stress of 610 MPa at a corresponding strain of 11.32%. When ZrSiO4 is added, the tensile strength decreases to 595 MPa, with a variance value of 305. This suggests that the casting process was not optimal, and the reinforcement material was not uniformly distributed. As a result, a wettability agent is required during casting.
Figure 3.
The tensile stress versus strain graph of composites.
To improve wettability, K2TiF6 was mixed with ZrSiO4 using a ball milling process, as described in Section 2.2 of the composite processing. This unique composition, shown in Figure 2, leads to interesting mechanical properties. The wettability agent, a precursor to titanium-based materials, creates fluoride bonding and enhances reactivity with metals and ceramics. This process begins as early as 220 °C, just before the aluminum melts, contributing to the enhancement of the material’s mechanical properties.
Al 7075 has excellent ductility and good tensile strength, but with the addition of the reinforcement material, the tensile strength increases to 612 MPa, while the ductility decreases from 11.32% to 9.85%, as shown in Table 1 and Figure 3. With the inclusion of 8% reinforcement material, the tensile strength rises from 610 MPa to 735 MPa. This indicates that ZrSiO4, a ceramic material with high stiffness and strength, acts as a reinforcing phase within the aluminum matrix.
Table 1.
ANOVA analysis of tensile stress and strain for various composites.
When subjected to tensile loads, ZrSiO4 helps bear part of the stress, reducing the load on the aluminum matrix and improving the overall tensile strength of the composite. The ZrSiO4 particles aid in distributing the applied load more effectively across the composite, ensuring that the stress is shared between the aluminum matrix and the ZrSiO4 reinforcement. The K2TiF6 further enhances the bonding, improving load distribution. This reduces the likelihood of plastic deformation in the aluminum matrix, thereby increasing both the yield strength and ultimate tensile strength of the composite.
The addition of ZrSiO4 particles leads to a strengthening mechanism known as dispersion strengthening [27]. This occurs because the ZrSiO4 particles restrict the movement of dislocations in the aluminum matrix [28]. Dislocations are defects in the crystal structure that move when the material is deformed. The presence of hard ZrSiO4 particles makes it more difficult for dislocations to move, thus increasing the strength of the composite material. These particles create barriers that hinder dislocation motion, increasing the material’s resistance to plastic deformation under tensile stress. As a result, the tensile strength of the composites increases, while the strain value decreases with the addition of both reinforcement and the wettability agent.
For instance, the tensile strength of the S7 composite, which contains 8% ZrSiO4, reaches 735.35 MPa with an elongation of 7.84%. However, after heat treatment, the tensile strength decreases to 660 MPa, and the elongation decreases to 4.54%. When subjected to heat treatment in a water solution, the tensile strength further decreases to 688 MPa, with elongation reducing to 5.61%. ZrSiO4 particles act as hard phases within the composites, pinning grain boundaries and serving as obstacles to crack propagation, which leads to increased strength and toughness. Furthermore, the addition of ZrSiO4 and K2TiF6 contributes to the refinement of the grain structure in the aluminum matrix. This refinement enhances the material’s strength through a mechanism known as grain boundary strengthening or the Hall–Petch effect [31,32].
The F-statistic represents the ratio of the variance between groups (the variation due to the reinforcement) compared to the variance within groups, as shown in Table 2. An F-value of 103.1567 is very large, suggesting that the variation in engineering stress due to different levels of ZrSiO4 reinforcement is much larger than the random variation (within-group variance). This indicates a strong effect of the ZrSiO4 reinforcement on the engineering stress.
Table 2.
Analysis of various groups and their significance for tensile strength.
Additionally, the p-value represents the probability of obtaining the observed results if the null hypothesis were true. A p-value of 8.08 × 10−25 is extremely small. Since this p-value is much smaller than typical significance levels (such as 0.05), we can conclude that the observed differences in engineering stress due to varying levels of ZrSiO4 reinforcement are statistically significant.
The F-critical value is the threshold used to determine whether the F-statistic is significant. If the calculated F-statistic exceeds the F-critical value, the null hypothesis is rejected. In this case, the F-statistic (103.1567) is much greater than the F-critical value (2.124029), meaning that the result is statistically significant and the null hypothesis can be rejected. Since the F-statistic (103.1567) is substantially larger than the F-critical value (2.124029) and the p-value (8.08 × 10−25) is extremely small, the null hypothesis is rejected. This indicates that the ZrSiO4 reinforcement has a significant effect on the engineering stress values. The reinforcement likely improves the material’s properties, and the effect is statistically very significant.
Similarly, for the strain values, the p-value (2.7 × 10−29) is extremely small, much smaller than the typical significance level of 0.05, so the null hypothesis is rejected. The F-statistic (176.231) is also much larger than the F-critical value (2.124029), further confirming that the observed effect is significant. These values suggest that the reinforcement materials have a highly significant effect on Al 7075.
3.2.2. Compression
Figure 4 shows the compressive strength of Al 7075 and its composites; it is observed that Al 7075 exhibits a maximum strength of 348.84 MPa with a strain of 7.427.
Figure 4.
The compressive stress versus strain graph of composites.
Table 3 shows the variation in compressive strength with ZrSiO4 and its variance. Due to the lack of wettability during casting, the variation in mean values is 68.671. However, the strength is improved with the addition of ZrSiO4, a highly stable, high-density ceramic material commonly used in refractory and high-strength applications [44]. The high density of ZrSiO4 contributes to its resistance to deformation under stress, thereby enhancing its compressive strength. Additionally, ZrSiO4 improves the structural integrity of the material by making it less prone to crack propagation.
Table 3.
ANOVA analysis of compressive stress and strain for various composites.
The S3 composites show further property enhancement due to the incorporation of K2TiF6. When mixed with the material, K2TiF6 undergoes chemical reactions that lead to the formation of fine-scale titanium-based crystals. These fine crystals serve as a strengthening phase within the material matrix. Smaller crystals increase the material’s resistance to deformation under stress, resulting in improved compressive strength. Furthermore, K2TiF6 can react with other components in the matrix, such as silica, to form strong chemical bonds. These bonds enhance the overall cohesion of the material, reducing the likelihood of failure under compressive forces.
Table 3 also shows that with heat treatment, the compressive strength improved to 482 MPa with a strain of 5.738, demonstrating that heat treatment enhanced the compressive properties compared to all other composites. However, when compared to water-quenched composites, the oil and salt water-quenched composites exhibited better properties, with compressive strengths of 526.94 MPa and 527.63 MPa, respectively, and corresponding strain rates of 5.816 and 5.826.
Table 4 further shows a high F-statistic of 535.7276, indicating a large difference between the group means relative to the variability within the groups. This suggests that the differences between groups are likely not due to random chance. Additionally, the very small p-value (8.76 × 10−39, which is effectively 0) indicates that the observed differences between the groups are highly statistically significant. This provides strong evidence to reject the null hypothesis and conclude that there are meaningful differences between the groups. Since the F-statistic (535.7276) is much larger than the F-critical value (2.124029), it confirms that the differences between the groups are statistically significant.
Table 4.
Analysis of various groups and their significance for compression.
3.2.3. Impact
Table 5 and Table 6 show the impact strength of Al 7075 and its composites. The addition of ZrSiO4 resulted in changes in impact strength, but compared to tensile and compressive strength, the improvement in impact strength is relatively marginal. As observed in the previous section, adding ZrSiO4 converts ductile fracture into brittle fracture. When a material is brittle, its ability to absorb sudden energy is low, regardless of its tensile or compressive strength.
Table 5.
Analysis of various groups and their significance for impact strength.
Table 6.
Analysis of various groups and their significance for impact strength.
Table 5 shows that impact strength increases across the groups from S1 to S10. The addition of ZrSiO4 without a wettability agent slightly increases the impact strength compared to pure Al 7075. This suggests that ZrSiO4 particles provide some strengthening effect, even though the lack of a wettability agent could limit their bonding with the aluminum matrix. The addition of a wettability agent in S3 further improves the impact strength, as it enhances the bonding between the ZrSiO4 particles and the Al 7075 matrix, resulting in better overall performance. As the ZrSiO4 content increases, the impact strength improves. However, strength diminishes slightly with higher percentages of ZrSiO4 beyond 6%. The wettability agent continues to enhance strength by promoting better particle matrix bonding.
Heat treatment also plays a significant role in improving impact strength. The highest impact strength is achieved with saltwater heat treatment (S10), followed closely by oil and water heat treatments [42,43]. The results from the ANOVA test suggest that there is a statistically significant difference in impact strength between the groups S1 and S10. The differences in material compositions and heat treatments have a significant effect on impact strength, as shown in Table 6. Since the F-value is much larger than the F-critical value and the p-value is extremely small, we can confidently reject the null hypothesis that there are no differences between the groups. This means that the changes made to the material compositions by adding ZrSiO4 at various percentages and using different heat treatments significantly influence the impact strength.
3.3. Vibrational Characterization
Table 7 shows the natural frequencies and damping factors of aluminum 7075 composites (S1 to S10) with varying ZrSiO4 reinforcement under fixed–fixed boundary conditions. The significance of higher stiffness in aluminum 7075 after zirconium silicate (ZrSiO4) reinforcement stems from a substantial increase in the composite’s elastic modulus. ZrSiO4, a ceramic material with a much higher modulus of elasticity than aluminum, enhances the composite’s resistance to deformation under applied stress, thus increasing its overall stiffness. This higher stiffness raises the natural frequency of the material, as the reinforced composite resists bending and deformation more effectively than pure aluminum. As the proportion of ZrSiO4 increases, there is a consistent increase in the natural frequencies across all modes, reflecting the enhanced stiffness of the composite due to the higher elastic modulus of ZrSiO4. As the ZrSiO4 content increases, the natural frequencies of the composite demonstrate its improved resistance to deformation. For example, in Mode 1, the natural frequency increases from 49 Hz for pure aluminum to 76 Hz for aluminum with 8% ZrSiO4, with similar trends observed in Mode 2 and Mode 3. This increase in natural frequency reflects the reinforcing effect of ZrSiO4, which contributes to the overall rigidity and mechanical strength of the aluminum matrix.
Table 7.
Vibration behavior of composite.
The addition of a wettability agent further influences the dispersion and bonding of ZrSiO4 particles within the aluminum matrix, improving the interfacial interaction between the two phases. In composites with 2% ZrSiO4 and a wettability agent, the natural frequencies are higher compared to the same composition without a wettability agent, indicating that the wettability agent enhances the bonding between the ZrSiO4 particles and the aluminum matrix. The natural frequency for Mode 1 increases from 54 Hz in aluminum with 2% ZrSiO4 without a wettability agent to 55 Hz with the agent. This improvement suggests that the wettability agent optimizes stress transfer across the interface, leading to a more effective reinforcement and increased stiffness of the composite.
Heat treatment plays a critical role in modifying the mechanical properties of aluminum composites with ZrSiO4. Three types of heat treatment, water, oil, and salt water, were evaluated for their impact on natural frequencies and damping factors. Water heat treatment results in a slight decrease in natural frequency (66 Hz in Mode 1) compared to the 8% ZrSiO4 composite (76 Hz), accompanied by an increase in the damping factor. This indicates that water treatment introduces microstructural changes that reduce the composite’s stiffness but enhance its ability to dissipate vibrational energy. Similarly, the oil heat treatment leads to a natural frequency of 65 Hz in Mode 1, slightly lower than the water-treated composite. This suggests enhanced energy dissipation due to reduced internal stresses. The saltwater heat treatment results in a natural frequency of 69 Hz in Mode 1, slightly higher than the oil-treated composite. The damping factor is reduced in the saltwater-treated composite, indicating that this treatment may provide a balanced effect, improving both stiffness and moderate energy dissipation. These findings highlight the influence of heat treatment on the balance between stiffness and damping capacity, with each treatment method offering distinct modifications to the composite’s vibrational characteristics.
Specifically, the natural frequencies for Mode 1 range from 49 Hz in sample S1 to 76 Hz in sample S7, with similar trends observed for Mode 2 and Mode 3. In contrast, the damping factor decreases with increased reinforcement, indicating a reduced capacity for energy dissipation. For example, the damping factor for Mode 1 decreases from 0.0754 in S1 to 0.0724 in S7. This trend suggests that the incorporation of ZrSiO4 particles contributes to the material’s increased rigidity and brittleness. Consequently, the natural frequency of the material increases compared to pure aluminum. While aluminum has a tensile strength of 610 MPa, as discussed in Section 3.2, the tensile strength of aluminum is reinforced with ZrSiO4. The observed behavior highlights a trade-off between the enhanced stiffness and natural frequency of the composite and its reduced damping capacity, which is crucial for applications requiring vibration control and energy dissipation.
As observed in the composite samples, S1 (pure aluminum) exhibits lower natural frequencies and higher damping due to the inherent properties of the metal, while S2 to S10, which include varying levels of ZrSiO4 reinforcement, show higher natural frequencies and lower damping as a result of the increased stiffness from the reinforcement [44].
3.4. Dynamics Mechanical Analyzer
The storage modulus and loss modulus are both critical parameters in evaluating the mechanical behavior of materials under dynamic conditions. The storage modulus quantifies a material’s ability to store elastic energy during deformation, directly correlating with its stiffness and load-bearing capacity. In aluminum 7075 reinforced with zirconium silicate (ZrSiO4) and a wettability agent, an increased storage modulus indicates enhanced stiffness, improving resistance to deformation and making the material suitable for structural applications requiring high strength and dimensional stability. The loss modulus, on the other hand, measures the material’s ability to dissipate energy as heat, enhancing its vibration-damping and energy absorption characteristics. A higher loss modulus improves the composite’s ability to reduce vibrational damage while also providing better thermal stability and energy dissipation under dynamic loading conditions. Together, the storage and loss moduli provide a comprehensive understanding of the composite’s stiffness, energy dissipation, vibration control, and durability, making it ideal for high-performance applications such as aerospace and automotive components.
Figure 5 and Figure 6 show the storage modulus (E′) and loss modulus (E″) of Al 7075 and its composites, respectively. The storage modulus of Al 7075 is 66 MPa at 30 °C. As the temperature increases, the storage modulus decreases by 62.4 MPa up to 215 °C. After this point, the storage modulus starts to increase and reaches 64.6 MPa at 353 °C. This behavior is due to the fact that 220 °C is within a typical aging range for 7075 aluminum, and the alloy is subjected to prolonged exposure at this temperature [45,46].
Figure 5.
The storage modulus of aluminum composites versus temperature.
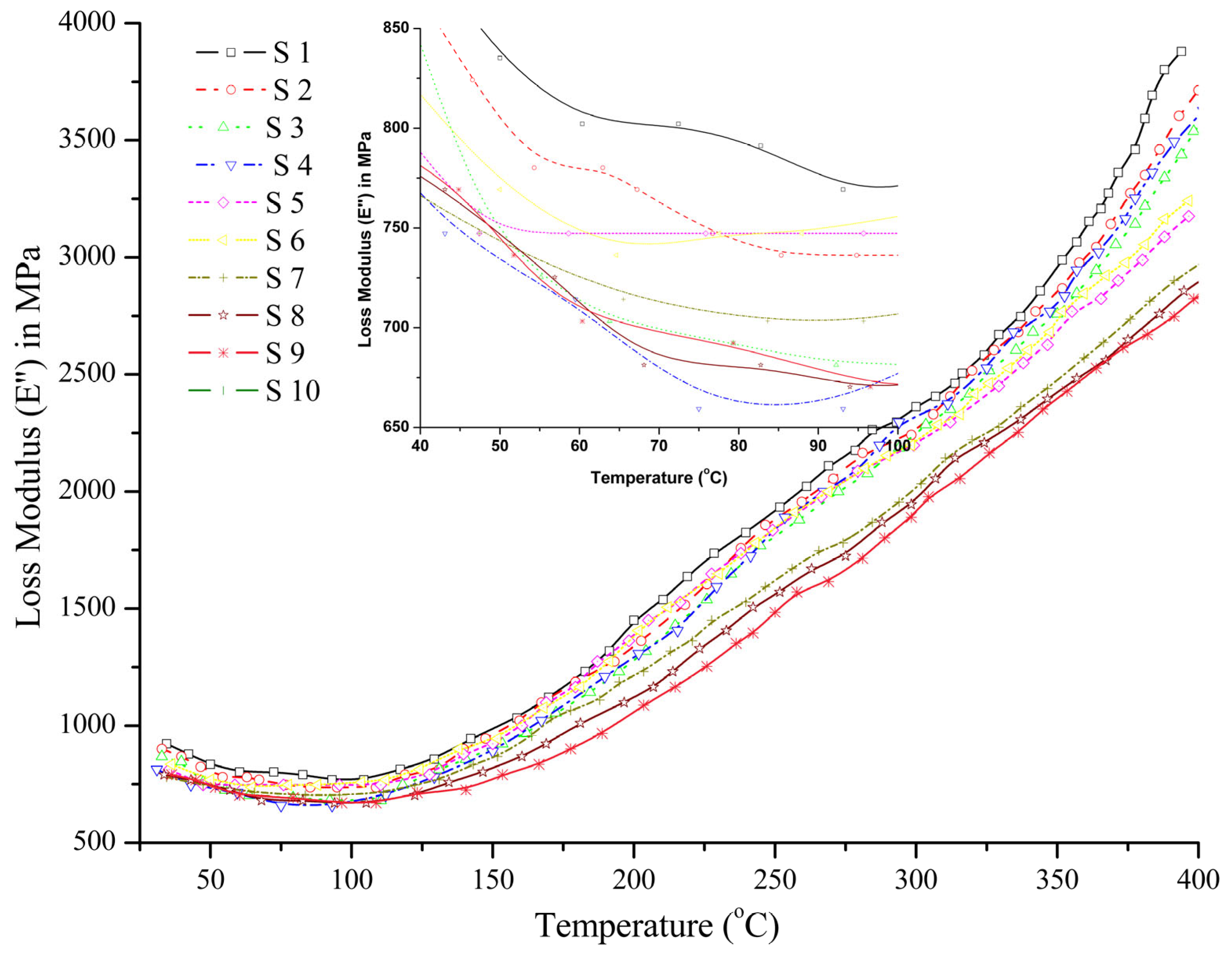
Figure 6.
The loss modulus of aluminum composites versus temperature.
In that case, the material undergoes additional precipitate growth, which can increase its stiffness and lead to a higher storage modulus. Aging at this temperature can result in an optimal distribution of precipitates due to increased molecular mobility, which strengthens the alloy. The precipitation phase in 7075 becomes more refined at 220 °C, further enhancing the storage modulus by restricting dislocation movement and increasing resistance to deformation. At lower temperatures, the material might exhibit higher viscosity and lower resistance to deformation, while at 220 °C, it undergoes a phase transition that makes it behave more elastically. This can result in a higher storage modulus at this specific temperature, even though 7075 is not typically considered a high-temperature alloy.
ZrSiO4 is often used as a reinforcing phase in composite materials due to its hardness and high melting point. When added to 7075 aluminum, it acts as a reinforcing filler, increasing the storage modulus by making the composite stiffer. The ZrSiO4 particles act as barriers to dislocation movement, which is a primary mechanism of plastic deformation in metals. This added reinforcement leads to an increase in the material’s elastic properties as the composite becomes more resistant to deformation under dynamic loading.
The loss modulus measures the material’s ability to dissipate energy, representing its internal friction during dynamic deformation. When ZrSiO4 is added to 7075 aluminum, it reinforces the material, making it stiffer and more resistant to deformation. This increase in stiffness reduces the material’s ability to absorb and dissipate energy, resulting in a decrease in the loss modulus. As a result, the material becomes less viscous and more elastic. Essentially, ZrSiO4 is more rigid than the aluminum matrix, leading to a composite that is less prone to energy dissipation and more focused on storing energy. This results in a reduction in the loss modulus.
Internal friction, a key contributor to the loss modulus, is reduced as the ZrSiO4 particles create a stiffer composite structure that resists deformation. With fewer dislocations and less movement at the microscopic level, less energy is lost as heat during deformation. This slower stress relaxation leads to a lower loss modulus, as there is less viscous energy dissipation during loading and unloading cycles. K2TiF6 also promotes phase transitions in the material at the microscopic level. The combination of ZrSiO4 and K2TiF6 enhances the material’s thermal stability, which is particularly beneficial in environments subject to fluctuating temperatures. This prevents thermal expansion and contraction, improving the material’s tensile properties at higher temperatures.
The reinforcement helps reduce the thermal expansion discrepancy between aluminum and the reinforcing phase, enhancing the composite’s performance under thermal loads. The hard ZrSiO4 particles act as crack deflectors, preventing cracks from propagating easily through the material. This improves the composite’s tensile ductility and fracture toughness, making it less prone to brittle failure under tensile loads.
The tendency of a material to deform slowly under constant load at high temperatures is also reduced with the addition of ZrSiO4. The reinforcement improves the composite’s resistance to deformation at elevated temperatures, which is valuable for high-performance applications in fields such as aerospace and automotive engineering. Heat treatment further enhances the properties of the composites by increasing the storage modulus and shifting the peak of the storage modulus to a higher temperature. This indicates that heat treatment improves the storage modulus and increases internal friction during dynamic loading.
The storage modulus is a critical mechanical property that reflects the stiffness and resistance to elastic deformation of materials. In aluminum 7075 reinforced with zirconium silicate (ZrSiO4) and a wettability agent, the storage modulus increases, indicating enhanced stiffness and improved structural performance. The wettability agent enhances the dispersion and bonding of ZrSiO4, further increasing the composite’s stiffness. Additionally, a higher storage modulus improves the material’s thermal and mechanical stability, making it suitable for dynamic applications.
3.5. Scanning Electron Microscope
Figure 7a shows that Al reinforced with ZrSiO4 was observed to have relatively weaker grain boundaries, which can limit their overall strength. Figure 7b shows that zirconium silicates, at the grain boundaries, act as a reinforcing phase that increases the mechanical strength of the material.
Figure 7.
Microstructure (a) Al 7075 reinforced with ZrSiO4, (b) Al 7075 reinforced with ZrSiO4 and K2TiF6, (c) heat-treated composite with water, (d) heat-treated composite with oil, and (e) heat-treated composite with saltwater.
Figure 7a shows that aluminum reinforced with ZrSiO4 has relatively weaker grain boundaries, which can limit its overall strength. However, Figure 7b demonstrates that zirconium silicates at the grain boundaries act as a reinforcing phase, increasing the mechanical strength of the material. The K2TiF6 contributes to the formation of titanium-based phases at the interface between the metal matrix and the reinforcement, as shown in Figure 7b. These phases enhance the stability of the microstructure, making the material more resistant to deformation under stress. Additionally, these phases can promote the formation of smaller grains, resulting in the Hall–Petch effect, where the material’s strength increases as the grain size decreases [45,46].
Potassium hexafluorotitanate (K2TiF6) is a chemical compound that plays a critical role in modifying the microstructure of aluminum alloys during the casting process, especially in relation to grain boundary behavior. When introduced into the melt, K2TiF6 dissociates into fluoride ions (F−) and titanium (Ti) components, which can interact with the grain boundaries of the aluminum alloy. These interactions are crucial in promoting the formation of more stable, robust interfaces between the aluminum matrix and the reinforcing particles. The fluoride ions from K2TiF6 are particularly important for altering the chemical composition and morphology of the grain boundaries. They can facilitate the formation of titanium-based phases, such as titanium carbide (TiC) or titanium oxide (TiO₂), at the grain boundaries. These phases act as reinforcing agents, increasing the overall strength and stability of the alloy.
The introduction of titanium-based phases helps to stabilize the microstructure, reducing the mobility of grain boundaries, which in turn enhances the resistance of the material to grain boundary sliding and other forms of plastic deformation. As a result, the alloy exhibits improved mechanical properties, including increased tensile strength, toughness, and resistance to creep. Furthermore, the strong interfacial bonding between these titanium-based phases and the aluminum matrix imparts a level of toughness to the material by preventing the easy propagation of cracks. This is particularly significant under tensile stress, where the ability to absorb and dissipate energy before fracture is essential for preventing catastrophic failure. The presence of stable phases at the grain boundaries reduces the likelihood of crack initiation and propagation, as these phases act as barriers to dislocation movement and crack growth. This reinforcement mechanism contributes to the material’s enhanced fracture toughness, particularly in high-stress applications. The enhanced resistance to crack propagation at the grain boundaries, as a result of K2TiF6 addition, is a crucial factor in improving the overall durability and structural integrity of the composite material. As shown in Figure 7c–e, the grain boundaries become more resistant to cracking, leading to better mechanical performance under dynamic loading conditions.
Additionally, K2TiF6 can also contribute to the refinement of the grain structure through a process known as grain boundary strengthening or the Hall–Petch effect. By promoting the formation of finer, more evenly distributed grains, the material benefits from improved strength, as smaller grains provide more grain boundaries that act as barriers to dislocation movement. This effect, combined with the strengthening influence of titanium-based phases at the grain boundaries, results in a composite that exhibits superior mechanical properties compared to traditional aluminum alloys without such reinforcement.
Figure 8a shows the tensile fracture images of Al 7075 composites. With the addition of ZrSiO4, the tensile strength is moderately enhanced while maintaining ductility due to the relatively weak grain boundaries, as clearly shown in Figure 8b. The additions of ZrSiO4 and K2TiF6 not only improve the material’s tensile strength but also help toughen the matrix by increasing the fracture toughness, albeit with a reduction in ductility, as shown in Figure 8c. The grain boundaries and reinforcement particles contribute to the toughening mechanism by preventing cracks from propagating easily across the material. This results in higher tensile strength, as the material can withstand applied stresses more effectively before failure.
Figure 8.
Tensile fracture images (a) Al 7075, (b) Al 7075 with ZrSiO4, (c) Al 7075 with ZrSiO4 and K₂TiF₆, (d) heat-treated composite with water, (e) heat-treated composite with oil, and (f) heat-treated composite with saltwater.
Due to the ductile nature of Al 7075 and the presence of reinforcement particles, the fracture surface of the composite exhibits dimpled features. These dimples, caused by microvoid coalescence, indicate that the material underwent significant plastic deformation before failure. The interface between the aluminum matrix and the reinforcement particles (ZrSiO4 and titanium-based phases) plays a critical role in the overall strength of the composite. A strong interface promotes efficient load transfer and prevents debonding or sliding of the reinforcement, leading to a more robust material. This is clearly demonstrated in Figure 8d–f, which shows composites quenched in water, oil, and saltwater, respectively.
Figure 9, Figure 10 and Figure 11 show the EDX mapping, line scan element mapping, and EDX element mapping of Al 7075, respectively. Table 8 indicates that carbon (C) has a weight percentage of 17.7% (wt%) and an atomic percentage of 32.6% (at%) in Al 7075, contributing to the formation of carbides that increase strength compared to pure aluminum. While this increases strength, it also reduces the material’s ability to deform plastically, as shown in Figure 3, where the elastic limit is higher compared to pure aluminum [47,48,49,50,51,52]. Magnesium (Mg) makes up 1.8 wt% and 1.6 wt% and is often used in alloys to enhance strength and improve high-temperature properties. It contributes to solid solution strengthening, as seen in Figure 5, where the storage modulus is improved. The small amount of copper (Cu) also influences the mechanical and corrosion properties of the alloy. Zinc (Zn), which constitutes 3.6 wt% and 1.2 at%, helps improve strength while also enhancing the fluidity and castability of aluminum.
Figure 9.
EdX color mapping of Al 7075.
Figure 10.
Line scan mapping of Al 7075.
Figure 11.
EdX diagram of Al 7075.
Table 8.
Elements mapping of Al 7075.
Figure 12, Figure 13 and Figure 14 show the EDX mapping, line scan element mapping, and EDX element mapping of water-quenched composites, respectively. Table 9 displays the elements and atomic mapping of the water-quenched composites. Zinc is the key alloying element in 7075 aluminum and significantly enhances its strength. It contributes to the formation of precipitates that strengthen the alloy, particularly through the formation of the T6 temper. The presence of zinc maintains a reasonable level of ductility, although the alloy can be less ductile than others due to its high strength. Additionally, line scanning confirms the uniform distribution of elements during casting, heat treatment, and its effect on properties. Magnesium, which makes up 0.9% by weight (wt%) and 0.7% by atomic percentage (at%), is another important alloying element in 7075, contributing to solid solution strengthening (as discussed in the storage modulus) and improving the alloy’s overall strength.
Figure 12.
Color scan mapping of Al 7075 composites (8% ZrSiO4) water-quenched composites.
Figure 13.
Line scan mapping of Al 7075 composites (8% ZrSiO4) water-quenched.
Figure 14.
Elements mapping of Al composites (8% ZrSiO4) water-quenched.
Table 9.
Elements mapping of Al 7075 composites (8% ZrSiO4) water-quenched.
Figure 15, Figure 16 and Figure 17 present the EDX mapping, line scan element mapping, and EDX element mapping of oil-quenched composites, respectively. Table 10 provides the elements and atomic mapping of the oil-quenched composites. The K lines represent higher energy, while the L lines represent lower energy. Carbon (C K) accounts for 51.6% of the total mass of the sample, while Bromine (Br L) makes up 9.6%. Carbon (C K) also represents 72.3% of the atoms in the sample, while Bromine (Br L) accounts for only 2.0%. Carbon (C K) is the most abundant element by weight (51.6%), but it is even more abundant by atomic percentage (72.3%). This suggests that carbon atoms are lighter than other elements in the sample, which allows them to make up a larger proportion of the total number of atoms than their weight contribution would suggest. Oxygen (O K) has a relatively low weight percentage (5.5%) and atomic percentage (5.8%). The small difference between weight % and atomic % indicates that oxygen atoms are relatively light and contribute proportionally to both the mass and the number of atoms. Magnesium (Mg K), Aluminum (Al K), and Zinc (Zn L) all show higher weight percentages than atomic percentages, meaning these elements are heavier per atom than carbon or oxygen. Bromine (Br L) has a higher weight percentage (9.6%) than its atomic percentage (2.0%), indicating that bromine atoms are relatively heavier compared to other elements in the sample, thus taking up more mass while contributing fewer atoms.
Figure 15.
Color scan mapping of Al 7075 (8% ZrSiO4) oil-quenched composites.
Figure 16.
Line scan mapping of Al 7075 (8% ZrSiO4) oil-quenched composites.
Figure 17.
Elements mapping of Al composites (8% ZrSiO4) oil-quenched.
Table 10.
Elements mapping of Al 7075 composites (8% ZrSiO4) oil-quenched composites.
The water heat treatment process itself might also facilitate the formation or introduction of bromine compounds. One possible reason for this is that the water used in the process will be contaminated with bromine, or bromine-based salts could react with other materials. The heat treatment might also cause the release of bromine from other materials used in the process, such as flame retardants or other brominated chemicals that might have been part of a coating, sealant, or additive in the alloy or the environment [53]. The heat treatment was conducted in a controlled environment, and brine or bromine-containing chemicals reacted with elements like zirconium, titanium, and aluminum, leading to the formation of new bromine-containing phases. Zirconium is known for its high stability and resistance to many types of chemical reactions, but at elevated temperatures, it could still react with halogens like bromine. It is possible that zirconium bromides (such as ZrBr4) could form if bromine were present in the system during the heat treatment. Potassium hexafluorotitanate (K₂TiF₆), which contains fluorine and potassium, could also be involved in reactions that produce bromine-containing species during heat treatment.
Figure 18, Figure 19 and Figure 20 display the EDX mapping, line scan element mapping, and EDX element mapping of saltwater-quenched composites, respectively. Table 11 presents the elements and atomic mapping of saltwater-quenched composites. Among the various quenching methods, oil and saltwater quenching show an enhancement in strength.
Figure 18.
Color scan mapping of Al 7075 (8% ZrSiO4) saltwater-quenched composites.
Figure 19.
Line scan mapping of Al 7075 (8% ZrSiO4) saltwater-quenched composites.
Figure 20.
Elements mapping of Al composites (8% ZrSiO4) saltwater-quenched.
Table 11.
Elements mapping of Al 7075 composites (8% ZrSiO4) saltwater-quenched composites.
3.6. Intended Applications
In this study, the aluminum 7075 composites reinforced with zirconium silicate (ZrSiO4) and a wettability agent exhibited significant improvements in stiffness, vibration damping, and overall mechanical performance. These enhanced properties make the composite highly suitable for various high-performance applications. Specifically, the material’s stiffness and vibration-damping capabilities make it ideal for aerospace components such as aircraft frames and engine parts. Additionally, the improved energy dissipation and reduced vibrations position the composite as an excellent choice for automotive applications, including chassis and suspension components. The composite’s durability under dynamic loads also renders it ideal for structural components in machinery and infrastructure. Furthermore, its balance of strength and vibration resistance makes it a promising material for high-performance engineering applications, including robotics, marine equipment, and sporting goods. These applications demonstrate the versatility and superior performance of the composite across multiple industries.
4. Conclusions
The Al 7075 was reinforced with various weight percentages of ZrSiO4 to process the composites using sand stir carting methods. Mechanical properties such as tensile, compression, and impact are analyzed. In addition, FTIR was used to identify the compounds before and after the addition of a wettability agent. The vibration behavior was studied using fixed–fixed boundary conditions. The dynamic mechanical analysis was used to study the thermomechanical properties of composites at elevated temperatures from 30–400 °C. The following conclusions are drawn:
- The addition of ZrSiO4 to Al 7075 resulted in the weakening of grain boundaries due to differences in density and melting points between the matrix and reinforcement;
- The use of the K2TiF6 wettability agent improved bonding at the grain boundaries, enhancing the transfer of loads from the matrix to the reinforcement phase. This improvement was reflected in the enhanced mechanical properties, including tensile, compression, and impact strength;
- FTIR analysis of the Al 7075 + ZrSiO4 + K2TiF6 composite indicated stronger chemical bonding compared to pure Al 7075 and ZrSiO4, contributing to better matrix-reinforcement interaction. The aluminum matrix likely reacts with K2TiF6 to form titanium fluorides, while ZrSiO4 forms zirconium–aluminum compounds, aiding in enhanced bonding;
- The composite exhibited improved storage modulus over a temperature range of 30–400 °C, with heat treatment shifting the peak to higher temperatures. This increase in energy dissipation at elevated temperatures was attributed to dislocation movement and increased resistance to molecular mobility. The heat treatment also helps to precipitate distribution, enhancing the alloy’s strength. Aging at 220 °C could refine the precipitation phase, potentially increasing the storage modulus and reducing dislocation movement;
- The Scanning Electron Microscope and Energy-dispersive composites show that the composite might show a fine-grained structure, with regions of aluminum interacting with ZrSiO4, possibly forming aluminum–zirconium composites, observe zones of K2TiF6;
- The heat treatment process revealed the presence of bromine, which likely participates in chemical reactions during material processing. This could lead to the formation of bromine-containing compounds that interact with other elements in the material, potentially affecting its microstructure. These changes could, in turn, influence the mechanical properties of the material.
Future Recommendations
For future research, it is important to explore alternative wettability agents, aside from K2TiF6, which could further enhance bonding and load transfer between the matrix and reinforcement. Additionally, conducting detailed microstructural analysis post-heat treatment FESEM, especially regarding bromine-containing compounds, would provide valuable insights into their influence on the material’s performance. These investigations will aid in further improving the composite’s effectiveness in demanding environments. Also, long-term testing list fatigue and creep properties are demanded in real-world applications.
Author Contributions
Methodology, B.K.; Investigation, B.K.; Resources, M.N.; Writing—original draft, B.K.; Writing—review & editing, M.N.; Supervision, S.B.K.; Project administration, S.B.K. All authors have read and agreed to the published version of the manuscript.
Funding
This research received no external funding.
Institutional Review Board Statement
Not applicable.
Informed Consent Statement
Not applicable.
Data Availability Statement
The original contributions presented in this study are included in the article. Further inquiries can be directed to the corresponding author.
Conflicts of Interest
The authors declare no conflict of interest.
References
- Bharathi, P.; Kumar, T.S. Effect of Silicon Carbide and Boron Carbide on Mechanical and Tribological Properties of Aluminium 7075 Composites for Automobile Applications. Silicon 2023, 15, 6147–6171. [Google Scholar] [CrossRef]
- Heinz, A.; Haszler, A.; Keidel, C.; Moldenhauer, S.; Benedictus, R.; Miller, W.S. Recent development in aluminium alloys for aerospace applications. Mater. Sci. Eng. A 2000, 280, 102–107. [Google Scholar] [CrossRef]
- Khalid, M.Y.; Umer, R.; Khan, K.A. Review of recent trends and developments in aluminium 7075 alloy and its metal matrix composites (MMCs) for aircraft applications. Results Eng. 2023, 20, 101372. [Google Scholar] [CrossRef]
- Chandel, R.; Sharma, N.; Bansal, S.A. A review on recent developments of aluminum-based hybrid composites for automotive applications. Emergent Mater. 2021, 4, 1243–1257. [Google Scholar] [CrossRef]
- Kumar, R.; Mondal, S. Recent Developments on Aluminum 7075-Based Composite with Industrial Waste Fly Ash by Stir Casting and Their Applications. SAE Int. J. Mater. Manf. 2025, 18. [Google Scholar] [CrossRef]
- Sun, Q.; Yang, M.; Jiang, Y.; Lei, L.; Zhang, Y. Achieving excellent corrosion resistance properties of 7075 Al alloy via ultrasonic surface rolling treatment. J. Alloys Compd. 2022, 911, 165009. [Google Scholar] [CrossRef]
- Kumar, S.B.M.; Swamy, G.M.; Aprameya, C.R.; Bavan, S.; Venkatesh, B.N.; Kumar, P.; Nagaraja, T.K. Influence of Heat Variation on Thermal and Mechanical Performance of Al-7075-Based Hybrid Composites. J. Inst. Eng. India Ser. D 2024, 105, 1391–1402. [Google Scholar] [CrossRef]
- Mahton, Y.; Jha, V.; Saha, P. Effect of Heat Treatment on Microstructure, Mechanical, and Corrosion Properties of Squeeze Cast Al 319.0 Alloy. Inter. J. Met. 2024, 18, 512–529. [Google Scholar] [CrossRef]
- Wallis, C.; Neubauer, E.; Kitzmantel, M.; Galván, E.A.; Bielik, M.; Horr, A.; Easton, M.; Huebsch, W. Investigations of Plasma Metal Deposition (PMD) of 6061 and 7075 Aluminum Alloys for Aerospace and Automotive Applications. Berg-Und Hüttenmännische Monatshefte 2023, 168, 209–218. [Google Scholar] [CrossRef]
- Dhairiyasamy, R.; Gabiriel, D.; Kandasamy, M.; Rajendran, S. Investigation of Microstructural and Mechanical Characteristics of Friction Stir Welded Aluminum Alloy 7075-t6. Trans. Indian Inst. Met. 2024, 77, 3789–3797. [Google Scholar] [CrossRef]
- Maity, P.; Majumdar, S.; Karmakar, A.; Sinha, A.; Das, A. An Investigation on Laser Machining of 7075 T6 Aluminium Alloy and Effect of Thermal Treatment on its Mechanical Property. J. Inst. Eng. India Ser. D 2024, 1–16. [Google Scholar] [CrossRef]
- Budapanahalli, S.H.; Dhaduti, S.C.; Mallur, S.B. Fatigue Analysis of Hybrid Aluminium 7075 Composite Gears. J. Inst. Eng. India Ser. D 2024, 105, 1001–1006. [Google Scholar] [CrossRef]
- Yousefzadeh, M.; Ahmadi Kamarposhti, M. Wind Energy Conversion Systems: A Review on Aerodynamic, Electrical and Control Aspects, Recent Trends, Comparisons and Insights. In Energy and Environmental Aspects of Emerging Technologies for Smart Grid; Green Energy and Technology; Salkuti, S.R., Ed.; Springer: Cham, Switzerland, 2024. [Google Scholar] [CrossRef]
- Choudhury, I.A.; Pranto, T.A. Sensor Materials, Technologies and Applications—Part 1. In Comprehensive Materials Processing, 2nd. ed; Elsevier: Amsterdam, The Netherlands, 2024. [Google Scholar]
- Billy, R.G.; Müller, D.B. Aluminium use in passenger cars poses systemic challenges for recycling and GHG emissions. Resour. Conserv. Recycl. 2023, 190, 106827. [Google Scholar] [CrossRef]
- Singh, B.; Kumar, I.; Saxena, K.K.; Mohammed, K.A.; Khan, M.I.; Moussa, S.B.; Abdullaev, S.S. A future prospects and current scenario of aluminium metal matrix composites characteristics. Alex. Eng. J. 2023, 76, 1–17. [Google Scholar] [CrossRef]
- Patil, S.; Nagamadhu, M.; Malyadri, T. A critical review on microstructure and hardness of aluminum alloy 6061 joints obtained by friction stir welding-past, present, and its prospects. Mater. Today Proc. 2023, 82, 75–78. [Google Scholar] [CrossRef]
- Parveez, B.; Kittur, M.I.; Badruddin, I.A.; Kamangar, S.; Hussien, M.; Umarfarooq, M.A. Scientific Advancements in Composite Materials for Aircraft Applications: A Review. Polymers 2022, 14, 5007. [Google Scholar] [CrossRef] [PubMed]
- Aabid, A.; Parveez, B.; Parveen, N.; Khan, S.A.; Zayan, J.M.; Shabbir, O. Reviews on Design and Development of Unmanned Aerial Vehicle (Drone) for Different Applications. J. Mech. Eng. Res. Dev. 2022, 45, 53–69. [Google Scholar]
- Kumar, M.S. SiC Reinforcement in the Synthesis and Characterization of A356/AL2O3/Sic/Gr Reinforced Composite—Paving a Way for the Next Generation of Aircraft Applications. Silicon 2020, 13, 2737–2744. [Google Scholar] [CrossRef]
- Gautam, M.; Agrawal, M. Carbon Footprint of Aluminum Production. In Environmental Carbon Footprints; Butterworth-Heinemann: Oxford, UK, 2018. [Google Scholar]
- Jayappa, K.; Anil, K.C.; Khan, Z.A. Enhancing wear resistance in Al-7075 composites through conventional mixing and casting techniques. J. Mater. Res. Technol. 2023, 27, 7935–7945. [Google Scholar] [CrossRef]
- Pázmán, J. Development of Aluminum and Copper Alloys for Electric Automotive Engines—From the Research Work at the University of Dunaújváros. Eng. Proc. 2024, 79, 89. [Google Scholar] [CrossRef]
- Xing, Y.; Wang, F.; Zhao, Y.; Fu, J.; Sun, Z.; Zhang, D. Investigation of the Inhibition Mechanism of Process Porosity in Laser-MIG Hybrid-Welded Joints for an Aluminum Alloy. Coatings 2024, 14, 1376. [Google Scholar] [CrossRef]
- Ye, T.; Xia, E.; Qiu, S.; Liu, J.; Yue, H.; Tang, J.; Wu, Y. Deformation Behavior of an Extruded 7075 Aluminum Alloy at Elevated Temperatures. Materials 2024, 17, 1210. [Google Scholar] [CrossRef] [PubMed]
- Cahalan, L.P.; Williams, M.B.; Brewer, L.N.; McDonnell, M.M.; Kelly, M.R.; Lalonde, A.D.; Allison, P.G.; Jordon, J.B. Parametric Investigation of Parallel Deposition Passes on the Microstructure and Mechanical Properties of 7075 Aluminum Alloy Processed with Additive Friction Stir Deposition. Appl. Sci. 2024, 14, 457. [Google Scholar] [CrossRef]
- Dhuruva, M.M.; Arul, M.M.A.; Hariharasakthisudhan, P.; Surya, R.B. Investigation on the Mechanical Behaviour of Aluminium Alloy 356—Zirconium Silicate Metal Matrix Composites (AA356-ZrSiO4 MMCs). Silicon 2022, 14, 11731–11739. [Google Scholar] [CrossRef]
- Vijaya Kumar, R.; Venugopal, M.M.; Christiyan, K.G.J.; Rajanish, M.; Rangaswamy, N.; Manjunath, G.A.; Raju, T.H.; Udayashankar, B.M.S. Experimental Investigation of Al6063 Alloy with Zirconium Silicate Composite. J. Inst. Eng. India Ser. D 2024, 14, 11731–11739. [Google Scholar] [CrossRef]
- Shetty, R.; Gurupur, P.R.; Hindi, J.; Hegde, A.; Naik, N.; Ali, M.S.S.; Patil, I.S.; Nayak, M. Processing, mechanical characterization, and electric discharge machining of stir cast and spray forming-based Al-Si alloy reinforced with ZrO2 particulate composites. J. Compos. Sci. 2022, 6, 323. [Google Scholar] [CrossRef]
- Shetty, S.; Shetty, R.; Shetty, N.; Hegde, A. An integrated experimental and analytical approach on mechanical characterization of advanced powder metallurgy aluminium metal matrix composites rein-forced with different particulates. Mater. Res. Express 2024, 11, 056515. [Google Scholar] [CrossRef]
- Kumar, B.A.; Krishnan, M.M.; Sahayaraj, A.F.; Refaai, M.R.A.; Yuvaraj, G.; Madhesh, D.; Allasi, H.L. Characterization of the Aluminium Matrix Composite Reinforced with Silicon Nitride (AA6061/Si3N4) Synthesized by the Stir Casting Route. Adv. Mater. Sci. Eng. 2022, 2022, 8761865. [Google Scholar] [CrossRef]
- Umar, M.D.; Muraliraja, R.; Shaisundaram, V.S.; Wayessa, S.G. Influence of Future Material Nano-ZrO2 and Graphene on the Mechanical Properties of Al Composites. J. Nanomater. 2022, 2022, 1454037. [Google Scholar] [CrossRef]
- Juliyana, S.J.; Prakash, J.U.; Salunkhe, S.; Hussein, H.M.A.; Gawade, S.R. Mechanical Characterization and Microstructural Analysis of Hybrid Composites (LM5/ZrO2/Gr). Crystals 2022, 12, 1207. [Google Scholar] [CrossRef]
- Sadeghi, B.; Cavaliere, P.; Perrone, A.; Castro, M.M. Optimizing ball milling parameters for controlling the internal microstructure and tensile characteristics of a laminated carbon nanotube/aluminum–copper–magnesium composite. Results Mater. 2024, 21, 100520. [Google Scholar] [CrossRef]
- Adediran, A.A.; Akinwande, A.A.; Olorunfemi, O.A.B.B.J.; Kumar, M.S. Optimization studies of stir casting parameters and mechanical properties of TiO2 reinforced Al 7075 composite using response surface methodology. Sci. Rep. 2021, 11, 19860. [Google Scholar] [CrossRef] [PubMed]
- Ramadoss, N.; Pazhanivel, K.; Anbuchezhiyan, G. Synthesis of B4C and BN reinforced Al7075 hybrid composites using stir casting method. J. Mater. Res. Technol. 2020, 9, 6297–6304. [Google Scholar] [CrossRef]
- Zou, X.; Cheng, Z.; Yan, H. Microstructure, mechanical properties and interfacial features of graphene oxide reinforced 7075 composites fabricated by ultrasonic assisted casting. J. Alloys Compd. 2024, 1003, 175505. [Google Scholar] [CrossRef]
- Suresh, S.; Gowd, G.H.; Kumar, M.L.S.D. Experimental investigation on mechanical properties of Al 7075/Al2O3/Mg NMMC’s by stir casting method. Sådhanå 2019, 44, 51. [Google Scholar] [CrossRef]
- Measurement Solution. Dewetron Data Acquisition System. 2012. Available online: http://www.dewetron.com (accessed on 18 January 2025).
- Tian, C.G.; Yuan, Y.; Bi, Z.J.; Cai, L.X.; Han, X.J. Analysis software of power quality and power regulation for wind farm based on dewetron. In Applied Mechanics and Materials; Trans Tech Publications: Stafa-Zurich, Switzerland, 2013; Volume 380, pp. 2990–2993. [Google Scholar]
- Malaki, M.; Fadaei Tehrani, A.; Niroumand, B.; Gupta, M. Wettability in Metal Matrix Composites. Metals 2021, 11, 1034. [Google Scholar] [CrossRef]
- Zainuddin, H.; Ali, M.B. Study on the Impact Energy of Aluminum 6061 and Aluminum 7075 at Different Heat Treated Condition. In Proceedings of the 9th International Conference and Exhibition on Sustainable Energy and Advanced Materials, ICE-SEAM 2023, Putrajaya, Malaysia, 24 September 2023. [Google Scholar] [CrossRef]
- Sravanthi, C.; Gajanana, S.; Krishnaiah, A.; Venkateswarlu, C. Mechanical, microstructure and machining characteristics of alloying elements optimized Al 7075 alloy modified with reinforcement—Silicon Carbide. Adv. Mater. Process. Technol. 2024, 1–21. [Google Scholar] [CrossRef]
- Kalusuraman, G.; Kumaran, S.T.; Balamurugan, K.; Sivashanmugam, N.; Sivaprakasam, P.; Kurniawan, R.; Ezhilmaran, V. Vibration Studies on Fiber Reinforced Composites—A Review. J. Nat. Fibers 2022, 20, 2157361. [Google Scholar] [CrossRef]
- Shi, T.; Liang, J.; Li, X.; Zhang, C.; Yang, H. Improving the Corrosion Resistance of Aluminum Alloy by Creating a Superhydrophobic Surface Structure through a Two-Step Process of Etching Followed by Polymer Modification. Polymers 2022, 14, 4509. [Google Scholar] [CrossRef] [PubMed]
- Dangwal, S.; Edalati, K.; Valiev, R.Z.; Langdon, T.G. Breaks in the Hall–Petch Relationship after Severe Plastic Deformation of Magnesium, Aluminum, Copper, and Iron. Crystals 2023, 13, 413. [Google Scholar] [CrossRef]
- Rojas, J.I.; Nicolás, J.; Crespo, D. Study on Mechanical Relaxations of 7075 (Al–Zn–Mg) and 2024 (Al–Cu–Mg) Alloys by Application of the Time-Temperature Superposition Principle. Adv. Mater. Sci. Eng. 2017, 2017, 2602953. [Google Scholar] [CrossRef]
- Alruqi, A.B.; Ongwen, N.O. Effect of Pressure on the Structural and Mechanical Properties of Cubic Silicon Carbide Reinforced with Aluminum and Magnesium. Aerospace 2024, 11, 1026. [Google Scholar] [CrossRef]
- Channar, H.R.; Ullah, B.; Naseem, M.S.; Akhter, J.; Mehmood, A.; Aamir, M. Mechanical Properties and Microstructural Investigation of AA2024-T6 Reinforced with Al2O3 and SiC Metal Matrix Composites. Eng 2024, 5, 3023–3032. [Google Scholar] [CrossRef]
- Tovar, J.M.; Ochoa, G.V.; Molina, B. 3E Comparative Analysis of Brayton–ORC Cycle Using Two Thermal Sources: Solar Energy and Coconut Shell Biomass. Eng 2024, 5, 3335–3357. [Google Scholar] [CrossRef]
- Sztankovics, I.; Felho, C.; Kun-Bodnar, K.; Maros, Z. Shape Accuracy Improvement of the Flange Turning Process in Aluminum Aerosol Can Production. Eng 2024, 5, 3381–3396. [Google Scholar] [CrossRef]
- Ajeena, A.M.; Al-Madhhachi, H.; Almadhhachi, M. Advanced Energy Modeling and Prediction of Integrated Micro-Generator System for Useful Heat Harvesting. Eng 2024, 5, 1995–2015. [Google Scholar] [CrossRef]
- Rodríguez-García, J.A.; Calles-Arriaga, C.A.; López-García, R.D.; Castillo-Robles, J.A.; Rocha-Rangel, E. Chemical Interaction between the Sr4Al6O12SO4 Ceramic Substrate and Al–Si Alloys. Eng 2024, 5, 461–476. [Google Scholar] [CrossRef]
Disclaimer/Publisher’s Note: The statements, opinions and data contained in all publications are solely those of the individual author(s) and contributor(s) and not of MDPI and/or the editor(s). MDPI and/or the editor(s) disclaim responsibility for any injury to people or property resulting from any ideas, methods, instructions or products referred to in the content. |
© 2025 by the authors. Licensee MDPI, Basel, Switzerland. This article is an open access article distributed under the terms and conditions of the Creative Commons Attribution (CC BY) license (https://creativecommons.org/licenses/by/4.0/).



















