Study on Mechanical Strength and Mechanism of Coal Gangue–Magnesium Oxide-Stabilized Expansive Soil
Abstract
1. Introduction
2. Materials and Methods
2.1. Material
2.2. Methods
3. Results
3.1. Influence of Coal Gangue Content on Compactness and Expansion Rate
3.2. Influence of Coal Gangue and Magnesium Oxide on Unconfined Compressive Strength
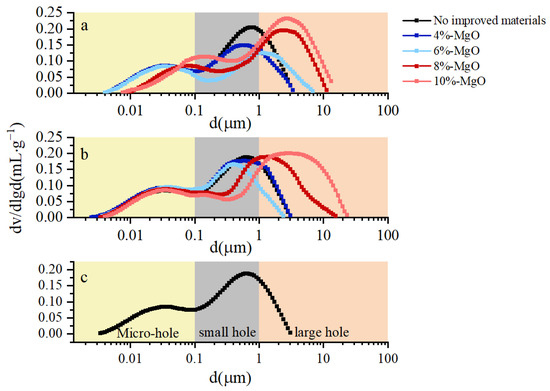
3.3. Distribution of Pore Size
3.4. Effect of Dry and Wet Cycle on Unconfined Compressive Strength
3.5. Microstructural Analysis
4. Conclusions
- (1)
- The particle diameter of coal gangue is much larger than that of expansive soil. When mixed with expansive soil, the much larger coal gangue particles form an interlocking skeleton within the finer soil matrix, effectively inhibiting the overall swelling of the composite material.
- (2)
- Compared with coal gangue alone, the MgO–coal gangue composite-improved samples can react with the carbonate, aluminate, and other active substances in the coal gangue due to the reactive activity of MgO. The synergistic effect of these two materials significantly improved the soil strength, increasing it from 0.6 MPa (for soil stabilized with only 15% coal gangue) to 3.1 MPa (for soil stabilized with 15% coal gangue and 10% MgO). We think that 15% coal gangue and 10% magnesium oxide can effectively improve the engineering application effect of expansive soil.
- (3)
- After 15 wet–dry cycles, the strength of the stabilized expansive soil decreased by 26–57%. With the increase in MgO content, the decrease in strength was reduced. The active substances contained in the wet–dry cycle continued to react, which offset some of the strength loss caused by the wet–dry cycle.
- (4)
- The cementing material produced by the hydration of MgO envelops the expansive soil particles and connects the coal gangue particles, forming a three-dimensional structure composed of coal gangue skeleton, MgO connections, and expansive soil particle filling. However, the hydrated MgO products near the surface of the coal gangue particles will produce fine cracks due to the delayed reaction of some substances.
Author Contributions
Funding
Institutional Review Board Statement
Informed Consent Statement
Data Availability Statement
Conflicts of Interest
References
- Li, J.D.; Zhang, Y.J.; Wang, X.; Jiang, D.J.; Wang, X.G. Research situation and prospect of expansive soil solidified by new soil stabilizer. Mater. Rep. 2023, 37, 21030148-11. [Google Scholar] [CrossRef]
- Wang, F.; Kong, L.; Zhou, Z. Study on pore structure and mechanical property of expansive soil under different dehydration conditions. Appl. Sci. 2022, 12, 5981. [Google Scholar] [CrossRef]
- Shi, B.X.; Zheng, C.F.; Wu, J.K. Research progress on expansive soil cracks under changing environment. Sci. World J. 2014, 2014, 816759. [Google Scholar] [CrossRef] [PubMed][Green Version]
- Zhai, J.Y.; Cai, X.Y. Strength characteristics and slope stability of expansive soil from Pingdingshan, China. Adv. Mater. Sci. Eng. 2018, 2018, 3293619. [Google Scholar] [CrossRef]
- Fuerhaiti, A.; Hou, T.; Huang, R.; Li, J.; Fan, L.; Bao, W. Laboratory Study of Dynamic Durability and Material Properties of Bio-Cemented Sand for Green Road Base Applications. Materials 2025, 18, 4178. [Google Scholar] [CrossRef]
- Afaq, A.; Syed, K.; Numan, A.; Umair, A.; Adnan, A.; Muhammad, J. Feasibility of utilizing recycled concrete aggregate blended with waste tire rubber and drywall waste as pavement subbase material. J. Mater. Cycles Waste Manag. 2024, 26, 2278–2293. [Google Scholar] [CrossRef]
- Zhang, X.; Geng, J.; Hu, G.; Su, L.; Li, T.; Wang, Y.; Zheng, C.; Li, W.; Zhang, X. Toughening characteristics of rubber granule-improved alkali-activated slag-stabilized aeolian sand. Constr. Build. Mater. 2024, 6, 137059. [Google Scholar] [CrossRef]
- Wang, B.; Jia, C.; Wang, G.; Zhang, H. Study on cementation effect of tailing sand by magnesium oxide combined with microorganism or by MICP. Ind. Constr. 2022, 52, 79–83. [Google Scholar] [CrossRef]
- Yao, Y.; Wu, G.; Yang, K.; Zhang, H.; Qi, J.; Hu, Y.; Wang, J.; Zhou, H. Tensile performance of pre-cracked UHPC under the coupled actions of sustained loading and corrosive media. Cem. Concr. Compos. 2025, 12, 105915. [Google Scholar] [CrossRef]
- Ilman, B.; Balkis, A. Sustainable biopolymer stabilized earthen: Utilization of chitosan biopolymer on mechanical, durability, and microstructural properties. J. Build. Eng. 2023, 76, 107220. [Google Scholar] [CrossRef]
- Lin, B.; Liu, J. Estimating coal production peak and trends of coal imports in China. Energy Policy 2010, 38, 512–519. [Google Scholar] [CrossRef]
- Wang, M.; Liu, H.; Xie, Y.; Gao, S.; Ding, J.; Wang, Y. Study of carbon dioxide capture by modified magnesium oxide. Ion Exch. Adsorpt. 2021, 37, 314–322. [Google Scholar] [CrossRef]
- Wang, L.; Liu, S.; Cai, G.; Tang, H. Permeability properties of carbonated reactive MgO-stabilized soils. Chin. J. Geotech. Eng. 2018, 40, 953–959. [Google Scholar] [CrossRef]
- Mohamed, H.; Abdullahi, A.M.; Umair, A.; Hammad, R.K.; Asad, H. Magnesia-based binders for stabilizing and improving soft soils. Comput. Aided Chem. Eng. 2024, 53, 1381–1386. [Google Scholar] [CrossRef]
- Liu, S.; Cao, J.; Cai, G. Microstructural mechanism of reactive magnesia carbonated and stabilized silty clays. Rock Soil Mech. 2018, 39, 1543–1552+1563. [Google Scholar] [CrossRef]
- Wu, S.; Jia, C.; Wang, G. Experimental study on microbial-active magnesia solidified red clay. Yangtze River 2022, 53, 167–172. [Google Scholar] [CrossRef]
- Li, W.; Sun, Z.; Zhuang, Y.; Xiao, H.; Fu, Z.; Zhou, X. Mechanical and swelling properties, as well as micro-mechanism of sulfate-bearing soil stabilized by magnesium oxide and cement. Chinese J. Geotech. Eng. 2024, 46, 1840–1848. [Google Scholar] [CrossRef]
- Li, Q. Research progress on properties and comprehensive utilization of coal gangue. Appl. Chem. Ind. 2023, 52, 1576–1581. [Google Scholar] [CrossRef]
- Liu, Y.; Qi, X.; Luo, D.; Zhang, Y.; Qin, J. Detection of spontaneous combustion areas of coal gangue dumps and comprehensive governance technologies: A case study. ACS Omega 2023, 8, 47690–47700. [Google Scholar] [CrossRef]
- Zhang, Y.; Yin, X.; Liu, T. Strength properties of solidified expansive soil with coal gangue and its pore structure characterization under condition of optimum dosage. Trans. Chin. Soc. Agric. Eng. 2018, 34, 267–274. [Google Scholar] [CrossRef]
- Zhang, Y.; Kng, X.; Guo, L. Engineering properties of expansive soil improved by lime and coal gangue. Bull. Chin. Ceram. Soc. 2015, 34, 2720–2724+2730. [Google Scholar] [CrossRef]
- Wang, M.; Zhang, Y.; Yin, X. Microstructure characteristics of expansive soil with coal gangue based on Menger sponge model. Trans. Chin. Soc. Agric. Eng. 2020, 36, 124–130. [Google Scholar] [CrossRef]
- Zhao, S.; Wang, Q.; Zhang, Z.; Jiang, F.; Luo, S.; Gao, S. Research on the activity excitation and mechanism of coal gangue-assisted cementitious materials. Cement 2025, 2, 15–25. [Google Scholar] [CrossRef]
- Wang, Y.; Dai, L.; Yao, L.; Meng, F.; Li, Z.; Effects of flux CaO and MgO on the Properties and Pore Structure of Coal Gangue Based Ceramic Foams. Clean Coal Technol. 2025. Available online: https://link.cnki.net/urlid/11.3676.td.20250507.1757.016 (accessed on 23 November 2025).
- GB/T 50123-2019; Standard for Geotechnical Testing Method. China Planning Press: Beijing, China, 2019.
- Yao, Y.; Liu, D.; Che, Y.; Tang, D.; Tang, S.; Huang, W. Petrophysical characterization of coals by low-field nuclear magnetic resonance (NMR). Fuel 2010, 89, 1371–1380. [Google Scholar] [CrossRef]
- Jia, H.; Ding, S.; Wang, Y.; Zi, F.; Sun, Q.; Yang, G. An NMR-based investigation of pore water freezing process in sandstone. Cold Reg. Sci. Technol. 2019, 168, 102893. [Google Scholar] [CrossRef]
- DB36/T 2169-2025; Technical Specification for Application of Solidified Soil in Highway Engineering. Jiangxi Provincial Administration for Market Regulation: Nanchang, China, 2025.
- Liang, S.; Wang, Y.; Feng, D. Experimental Study on Strength and Dry–Wet Cycle Characteristics of South China Coastal Soft Soil Solidified by Cement Collaborating Sand Particles. Appl. Sci. 2023, 13, 8844. [Google Scholar] [CrossRef]
- Chen, J.; Mu, J.; Chen, A.; Long, Y.; Zhang, Y.; Zou, J. Experimental Study on the Properties of Basalt Fiber–Cement-Stabilized Expansive Soil. Sustainability 2024, 16, 7579. [Google Scholar] [CrossRef]
- Wang, X.; Wang, X.; Fu, P.; Shi, J. Mechanical Properties and Durability Performance of Low Liquid Limit Soil Stabilized by Industrial Solid Waste. Materials 2025, 18, 469. [Google Scholar] [CrossRef]
- Westphal, H.; Surholt, I.; Kiesl, C.; Thern, H.F.; Kruspe, T. NMR measurements in carbonate rocks: Problems and an approach to a solution. Pure Appl. Geophys. 2005, 162, 549–570. [Google Scholar] [CrossRef]
- Ma, Q.; Wu, N.; Xiao, H.; Li, Z.; Li, W. Effect of Bermuda grass root on mechanical properties of soil under dry–wet cycles. Bull. Eng. Geol. Environ. 2021, 80, 7083–7097. [Google Scholar] [CrossRef]
- Wang, G.; Kong, X.; Zhang, Y.; Zhao, Q.; Feng, X. Stability and Micro-mechanisms of Lignin-Improved Soil in a Drying-Wetting Environment. KSCE J. Civ. Eng. 2022, 26, 3314–3324. [Google Scholar] [CrossRef]
- Ma, X.; Liu, Y.; Yin, W.; Wang, X.; Guo, S. Experimental Study on Strength and Microstructure of Loess Improved by CG-2 Curing Agent and Cement. Buildings 2024, 14, 877. [Google Scholar] [CrossRef]
- Zhang, J. Alkali-Excited Gangue Geopolymer Properties Study and Microanalysis; Inner Mongolia Agricultural University: Inner Mongolia, China, 2024. [Google Scholar] [CrossRef]
- Jijo, J.; Sivapriya, V.; Eyo, E. Stress-Strain Characteristics and Mineralogy of an Expansive Soil Stabilized Using Lime and Phosphogypsum. Appl. Sci. 2023, 13, 123. [Google Scholar] [CrossRef]
- Armistead, S.J.; Smith, C.C.; Staniland, S.S. Sustainable biopolymer soil stabilisation: The effect of microscale chemical characteristics on macroscale mechanical properties. Acta Geotech. 2022, 18, 3213–3227. [Google Scholar] [CrossRef]













| Liquid Limit (%) | Plastic Limit (%) | Unloaded Expansion Rate (%) | Optimum Moisture Content (%) | Natural Dry Density (g·cm−3) | Maximum Dry Density (g·cm−3) |
|---|---|---|---|---|---|
| 50.6 | 20.2 | 55 | 19.2 | 1.62 | 1.68 |
| Element | Si | Al | Mg | Ca | Fe | K |
|---|---|---|---|---|---|---|
| Wt% | 68.55 | 17.42 | 1.84 | 2.22 | 6.23 | 3.48 |
| Burn Loss Rate (%) | Unloaded Expansion Rate(%) | Crushing Value (%) | Water Absorption (%) | Rate of Water Content (%) |
|---|---|---|---|---|
| 14 | 4.3 | 20.6 | 0.5 | 0.42 |
| Element | Si | Al | Mg | Ca |
|---|---|---|---|---|
| Wt% | 59.64 | 26.11 | 8.15 | 4.11 |
| Group | Number | Coal Gangue Content (%) | MgO Content (%) | Number of Dry/Cycle Cycles |
|---|---|---|---|---|
| 1 (Unimproved soil) | 1 | 0 | 0 | 0, 1, 3, 5, 7, 10, 15 |
| 2 (Coal gangue-improved soil) | 2 | 5 | 0 | |
| 3 | 10 | 0 | ||
| 4 | 15 | 0 | ||
| 5 | 20 | 0 | ||
| 3 (Coal gangue–MgO composite-improved soil) | 7 | 15 | 4 | |
| 8 | 15 | 6 | ||
| 9 | 15 | 8 | ||
| 10 | 15 | 10 | ||
| 11 | 0 | 4 | ||
| 12 | 0 | 6 | ||
| 13 | 0 | 8 | ||
| 14 | 0 | 10 |
| Parameter | 15% Coal Gangue +10% Magnesium Oxide | 0.2% Grass Root [33] | 30% Iron Tailings +10% Carbide Slag [31] | 0.4% Basalt Fiber +6% Cement [30] | Ordinary Portland Cement-Stabilized Soil [29] | 3% Lignin [34] | 8% Cement +0.02%CG-2 Curing Agent [35] |
|---|---|---|---|---|---|---|---|
| UCS (MPa) | 3.1 | 0.208 | 2.9 | 1.72 | 2 | 0.92 | 2.9 |
| UCS after 5 dry-wet cycles (MPa) | 2.87 | 0.09 | 2.75 | / | / | 0.14 | 2.5 |
| UCS after 15 dry-wet cycles (MPa) | 2.32 | / | 1.8 | 1.29 | 1.1 | / | / |
Disclaimer/Publisher’s Note: The statements, opinions and data contained in all publications are solely those of the individual author(s) and contributor(s) and not of MDPI and/or the editor(s). MDPI and/or the editor(s) disclaim responsibility for any injury to people or property resulting from any ideas, methods, instructions or products referred to in the content. |
© 2025 by the authors. Licensee MDPI, Basel, Switzerland. This article is an open access article distributed under the terms and conditions of the Creative Commons Attribution (CC BY) license (https://creativecommons.org/licenses/by/4.0/).
Share and Cite
Qin, X.; Yan, Q.; Peng, B.; Zuo, J.; Li, W. Study on Mechanical Strength and Mechanism of Coal Gangue–Magnesium Oxide-Stabilized Expansive Soil. Eng 2025, 6, 338. https://doi.org/10.3390/eng6120338
Qin X, Yan Q, Peng B, Zuo J, Li W. Study on Mechanical Strength and Mechanism of Coal Gangue–Magnesium Oxide-Stabilized Expansive Soil. Eng. 2025; 6(12):338. https://doi.org/10.3390/eng6120338
Chicago/Turabian StyleQin, Xiaoyan, Qiangzhen Yan, Bo Peng, Jinyu Zuo, and Wenwei Li. 2025. "Study on Mechanical Strength and Mechanism of Coal Gangue–Magnesium Oxide-Stabilized Expansive Soil" Eng 6, no. 12: 338. https://doi.org/10.3390/eng6120338
APA StyleQin, X., Yan, Q., Peng, B., Zuo, J., & Li, W. (2025). Study on Mechanical Strength and Mechanism of Coal Gangue–Magnesium Oxide-Stabilized Expansive Soil. Eng, 6(12), 338. https://doi.org/10.3390/eng6120338
