Calculation and Intelligent Prediction of Long-Term Subgrade Settlement on Soft Soil Interlayer Foundations Under Secondary Consolidation in the Yellow River Floodplain
Abstract
1. Introduction
2. Soil Constitutive Model and Parameter Determination
3. Computational Model and Soil Parameters
3.1. Subgrade Model
- The multi-layer embankment loading model is simplified to a single-layer embankment loading, with the embankment load applied over a period of 100 days, ignoring the stabilization period between the compaction of successive fill layers.
- Multiple soil layers below the soft soil interlayer are treated as a single layer of silty clay. The subgrade is divided into C-1, S-1, and C-2 layers, with the upper layer being floodplain silty clay, the middle layer being silty soft soil interlayer, and the lower layer being silty clay.
- The constitutive model for the embankment soil and the two layers of silty clay employs the Mohr–Coulomb model. The constitutive model for the soft soil interlayer uses either the Soft Soil Creep (SSC) model or the Soft Soil (SS) model. Specific parameters such as soil unit weight, cohesion, and angle of internal friction are based on the geotechnical investigation report.
3.2. Analysis and Calculation of Soil Parameters
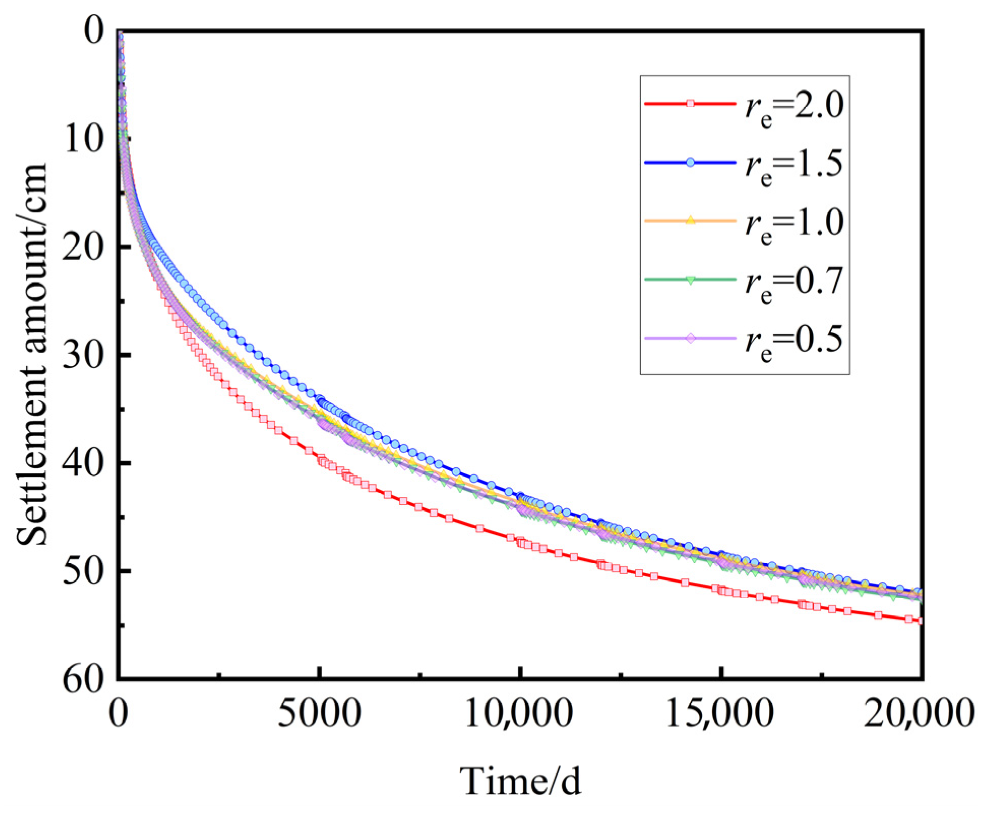
3.3. Correlation Analysis Between the Calculation Results and the Finite Element Mesh Size
4. Settlement Prediction Calculation Result Analysis
4.1. Settlement in the Center of the Subgrade
4.2. Analysis of the Impact of Soil Constitutive Model Selection on Macroscopic Settlement
4.3. Analysis of Pore Pressure Dissipation Characteristics and Strain Development Patterns
4.4. Permeability Impact Analysis
4.5. Analysis of the Impact of Soft Soil Interlayer Thickness
4.6. Analysis of the Impact of Soft Soil Interlayer Depth
4.7. Analysis of the Impact of Subgrade Height
5. Prediction of Pavement Settlement Across Entire Sections and Operational Periods Using a Genetic Algorithm-Optimized Backpropagation Neural Network (GA-BP)
5.1. Construction of the Neural Network Model
5.2. Establishment of Training and Testing Datasets
5.3. Network Configuration and Model Accuracy Evaluation Methods
5.4. Analysis of Full-Section and Full-Cycle Pavement Settlement Prediction Results
6. Conclusions
- (1)
- Compared with the SS constitutive model, the SSC constitutive model more effectively simulates the secondary consolidation characteristics of soft soil interlayers, and the proportion of secondary consolidation settlement increases over time.
- (2)
- The choice of constitutive model affects the proportion of settlement occurring during construction: in the SSC model, construction-period settlement accounts for 14.23% of the total settlement, whereas in the SS model, this proportion reaches 18.75%.
- (3)
- Excess pore pressure dissipates progressively from the soft soil–silty clay interface to equilibrium. Lower permeability in the soft interlayer prolongs settlement stabilization and increases post-construction settlement. A tenfold permeability reduction makes stabilization 10.83 times longer and raises post-construction settlement by 7.74%.
- (4)
- The final settlement increases linearly with the soft interlayer thickness and embankment height, but decreases as a power function with greater interlayer depth. The stabilization time shows a quadratic relation with interlayer thickness and is little affected by interlayer depth or embankment height.
- (5)
- The proposed GA-BP model incorporates multiple influencing factors and considers the transverse spatial variability of the subgrade. The model achieved an RMSE of 0.01826 m, MAPE of 6.1610%, and R2 of 0.9864 for the training dataset, and an RMSE of 0.01488 m, MAPE of 7.0562%, and R2 of 0.9706 for the testing dataset.
Author Contributions
Funding
Data Availability Statement
Conflicts of Interest
References
- Navarro, V.; Asensio, L.; Alonso, J.; Yustres, Á.; Pintado, X. Multiphysics Implementation of Advanced Soil Mechanics Models. Comput. Geotech. 2014, 60, 20–28. [Google Scholar] [CrossRef]
- Hirai, H. Settlements and Stresses of Multi-Layered Grounds and Improved Grounds by Equivalent Elastic Method. Int. J. Numer. Anal. Methods Geomech. 2008, 32, 523–557. [Google Scholar] [CrossRef]
- Liu, Z. Research and Engineering Application of Roadbed Settlement Prediction Method Based on Measured Data. In Water Conservancy and Civil Construction Volume 2; CRC Press: Boca Raton, FL, USA, 2023; ISBN 978-1-003-45083-2. [Google Scholar]
- ACAR, Y.; HILAL, H.; TUMAY, M. Fem Analysis of Elastic Stress Distributions in Embankments. J. Geotech. Eng. ASCE 1988, 114, 711–718. [Google Scholar] [CrossRef]
- Lan, T.; Wang, J. Settlement Prediction and Differential Settlement Criterion for Heightening and Thickening Levee. Appl. Sci. 2018, 8, 2392. [Google Scholar] [CrossRef]
- Li, C. A Simplified Method for Prediction of Embankment Settlement in Clays. J. Rock Mech. Geotech. Eng. 2014, 6, 61–66. [Google Scholar] [CrossRef]
- Zhou, C.; Yu, L.; Huang, Z.; Liu, Z.; Zhang, L. Analysis of Microstructure and Spatially Dependent Permeability of Soft Soil during Consolidation Deformation. SOILS Found. 2021, 61, 708–733. [Google Scholar] [CrossRef]
- Khan, M.U.A.; Shukla, S.K.; Raja, M.N.A. Load-Settlement Response of a Footing over Buried Conduit in a Sloping Terrain: A Numerical Experiment-Based Artificial Intelligent Approach. Soft Comput. 2022, 26, 6839–6856. [Google Scholar] [CrossRef]
- Díaz, E.; Tomás, R. Revisiting the Effect of Foundation Embedment on Elastic Settlement: A New Approach. Comput. Geotech. 2014, 62, 283–292. [Google Scholar] [CrossRef]
- Díaz, E.; Tomás, R. A Simple Method to Predict Elastic Settlements in Foundations Resting on Two Soils of Differing Deformability. Eur. J. Environ. Civ. Eng. 2016, 20, 263–281. [Google Scholar] [CrossRef]
- Hsieh, P.; Ou, C. Shape of Ground Surface Settlement Profiles Caused by Excavation. Can. Geotech. J. 1998, 35, 1004–1017. [Google Scholar] [CrossRef]
- Li, Z.; Peng, Y.; Li, J.; Tang, Z. Composite Foundation Settlement Prediction Based on LSTM–Transformer Model for CFG. Appl. Sci. 2024, 14, 732. [Google Scholar] [CrossRef]
- Li, G.H.; Liu, H.B.; Qin, X.X. Settlement Prediction of Roadbed Based on Mixture Model with Exponential Curve and ANN. Adv. Mater. Res. 2013, 663, 76–79. [Google Scholar] [CrossRef]
- Hui, G.; Qi-chao, S.; Jun, H. Application of twin support vector regression in subgrade settlement prediction. Int. J. u- e-Serv. Sci. Technol. 2016, 9, 101–108. [Google Scholar] [CrossRef]
- Huang, C.; Li, Q.; Wu, S.; Li, J.; Xu, X. Application of the Richards Model for Settlement Prediction Based on a Bidirectional Difference-Weighted Least-Squares Method. Arab. J. Sci. Eng. 2018, 43, 5057–5065. [Google Scholar] [CrossRef]
- Huang, L.; Qin, W.; Dai, G.; Zhu, M.; Liu, L.-L.; Huang, L.-J.; Yang, S.-P.; Ge, M.-M. Ground Settlement Prediction for Highway Subgrades with Sparse Data Using Regression Kriging. Sci. Rep. 2024, 14, 24594. [Google Scholar] [CrossRef] [PubMed]
- Zhang, J. Research on Application of Intelligent Monitoring Technology in Highway Subgrade Settlement Prediction. In Frontiers in Artificial Intelligence and Applications; Jain, L.C., Balas, V.E., Wu, Q., Shi, F., Eds.; IOS Press: Amsterdam, The Netherlands, 2025; ISBN 978-1-64368-586-1. [Google Scholar]
- Xie, S.-L.; Hu, A.; Wang, M.; Xiao, Z.-R.; Li, T.; Wang, C. 1DCNN-Based Prediction Methods for Subsequent Settlement of Subgrade with Limited Monitoring Data. Eur. J. Environ. Civ. Eng. 2025, 29, 759–784. [Google Scholar] [CrossRef]
- Wang, L.; Li, T.; Wang, P.; Liu, Z.; Zhang, Q. BiLSTM for Predicting Post-Construction Subsoil Settlement under Embankment: Advancing Sustainable Infrastructure. Sustainability 2023, 15, 14708. [Google Scholar] [CrossRef]
- Berre, S. Back Calculation of Measured Settlements for an Instrumented Fill on Soft Clay. Master’s Thesis, Norwegian University of Science and Technology (NTNU), Trondheim, Norway, 2017. [Google Scholar]
- Waheed, M.Q.; Asmael, N.M. Using Soft Soil Models in Geotechnical Engineering: A Review Paper. E3S Web Conf. 2024, 531, 04018. [Google Scholar] [CrossRef]
- Kumar Thota, S.; Duc Cao, T.; Vahedifard, F. Poisson’s Ratio Characteristic Curve of Unsaturated Soils. J. Geotech. Geoenviron. Eng. 2021, 147, 04020149. [Google Scholar] [CrossRef]
- Sivasithamparam, N.; Karstunen, M.; Bonnier, P. Modelling Creep Behaviour of Anisotropic Soft Soils. Comput. Geotech. 2015, 69, 46–57. [Google Scholar] [CrossRef]
- Peduto, D.; Prosperi, A.; Nicodemo, G.; Korff, M. District-Scale Numerical Analysis of Settlements Related to Groundwater Lowering in Variable Soil Conditions. Can. Geotech. J. 2022, 59, 978–993. [Google Scholar] [CrossRef]
- Wei, Z.; Zhu, Y. A Theoretical Calculation Method of Ground Settlement Based on a Groundwater Seepage and Drainage Model in Tunnel Engineering. Sustainability 2021, 13, 2733. [Google Scholar] [CrossRef]
- Salem, M.; El-Sherbiny, R. Comparison of Measured and Calculated Consolidation Settlements of Thick Underconsolidated Clay. Alex. Eng. J. 2014, 53, 107–117. [Google Scholar] [CrossRef]
- Xie, K.; Xia, C.; An, R.; Ying, H.; Wu, H. A Study on One-dimensional Consolidation of Layered Structured Soils. Int. J. Numer. Anal. Methods Geomech. 2016, 40, 1081–1098. [Google Scholar] [CrossRef]
- Zhou, Y.; Lai, Y.; Chen, X.; Han, X.; Peng, Y. Research on Consolidation and Settlement Characteristics of Soft Soil with High Initial Water Content. J. Ocean Eng. Mar. Energy 2025, 11, 467–481. [Google Scholar] [CrossRef]
- Zeng, Y. Geotechnical Settlement Deformation Analysis of Soft Sub-Grade Embankment Filling Construction Period Based on Unified Hardening Model. Geotech. Geol. Eng. 2019, 37, 5473–5483. [Google Scholar] [CrossRef]
- Zhang, M.; Zhu, X.; Yu, G.; Yan, J.; Wang, X.; Chen, M.; Wang, W. Permeability of Muddy Clay and Settlement Simulation. Ocean Eng. 2015, 104, 521–529. [Google Scholar] [CrossRef]
- Zhou, S.; Wang, B.; Shan, Y. Review of Research on High-Speed Railway Subgrade Settlement in Soft Soil Area. Railw. Eng. Sci. 2020, 28, 129–145. [Google Scholar] [CrossRef]
- Buscema, M. Back Propagation Neural Networks. Subst. Use Misuse 1998, 33, 233–270. [Google Scholar] [CrossRef]
- Sexton, R.S.; Dorsey, R.E.; Johnson, J.D. Toward Global Optimization of Neural Networks: A Comparison of the Genetic Algorithm and Backpropagation. Decis. Support Syst. 1998, 22, 171–185. [Google Scholar] [CrossRef]
- Ding, S.; Su, C.; Yu, J. An Optimizing BP Neural Network Algorithm Based on Genetic Algorithm. Artif. Intell. Rev. 2011, 36, 153–162. [Google Scholar] [CrossRef]
- Abdolrasol, M.G.M.; Hussain, S.M.S.; Ustun, T.S.; Sarker, M.R.; Hannan, M.A.; Mohamed, R.; Ali, J.A.; Mekhilef, S.; Milad, A. Artificial Neural Networks Based Optimization Techniques: A Review. Electronics 2021, 10, 2689. [Google Scholar] [CrossRef]
- Lee, S.; Kim, J.; Kang, H.; Kang, D.-Y.; Park, J. Genetic Algorithm Based Deep Learning Neural Network Structure and Hyperparameter Optimization. Appl. Sci. 2021, 11, 744. [Google Scholar] [CrossRef]
- Wilson, S.W. Classifier Fitness Based on Accuracy. Evol. Comput. 1995, 3, 149–175. [Google Scholar] [CrossRef]
- Liu, C.Y.; Wang, Y.; Hu, X.M.; Han, Y.L.; Zhang, X.P.; Du, L.Z. Application of GA-BP Neural Network Optimized by Grey Verhulst Model around Settlement Prediction of Foundation Pit. Geofluids 2021, 2021, 5595277. [Google Scholar] [CrossRef]
- Chicco, D.; Warrens, M.J.; Jurman, G. The Coefficient of Determination R-Squared Is More Informative than SMAPE, MAE, MAPE, MSE and RMSE in Regression Analysis Evaluation. PeerJ Comput. Sci. 2021, 7, e623. [Google Scholar] [CrossRef]
- Pandey, H.M.; Chaudhary, A.; Mehrotra, D. A Comparative Review of Approaches to Prevent Premature Convergence in GA. Appl. Soft Comput. 2014, 24, 1047–1077. [Google Scholar] [CrossRef]






















| Soil Layer Number | In Situ Density (kN/m3) | Initial Void Ratio | Cohesion (kPa) | Angle of Internal Friction (°) | Elastic Modulus (MPa) | Poisson’s Ratio |
|---|---|---|---|---|---|---|
| C-1 | 17.6 | 0.58 | 5 | 25 | 70.0 | 0.3 |
| S-1 | 17.2 | 1.04 | 12 | 18 | / | / |
| C-2 | 18.1 | 0.63 | 7 | 33 | 87.5 | 0.3 |
| Rebound Index | Compression Index | Secondary Consolidation Coefficient | Corrected Expansion Index | Corrected Compression Index | Corrected Creep Coefficient |
|---|---|---|---|---|---|
| 0.0352 | 0.569 | 0.0554 | 0.0150 | 0.121 | 0.0118 |
| Soil Layer Number | Permeability Coefficient (x-Direction) (m/day) | Permeability Coefficient (y-Direction) (m/day) | Permeability Coefficient (z-Direction) (m/day) |
|---|---|---|---|
| C-1 | 6.51 × 10−3 | 6.51 × 10−3 | 6.51 × 10−3 |
| S-1 | 5.75 × 10−6 | 5.75 × 10−6 | 5.75 × 10−6 |
| C-2 | 2.66 × 10−4 | 2.66 × 10−4 | 2.66 × 10−4 |
| Relative Element Size Factor | Mesh Density | Average Element Size (m) | Total Number of Elements | Total Number of Nodes |
|---|---|---|---|---|
| 2.0 | Very coarse | 6.624 | 600 | 1356 |
| 1.5 | Coarse | 4.968 | 848 | 1869 |
| 1.0 | Medium | 3.312 | 1452 | 3155 |
| 0.7 | Fine | 2.318 | 2270 | 4761 |
| 0.5 | Very fine | 1.656 | 4646 | 9441 |
| Input Parameter Name | Parameter Values/Range |
|---|---|
| Embankment height (m) | 2, 4, 6, 8, 10 |
| Soft soil interlayer thickness (m) | 1, 2, 3, 4 |
| Buried depth of the soft soil interlayer (m) | 3, 4, 5, 6 |
| Subgrade settlement time (d) | 100~20,000 |
| Distance from the surface settlement monitoring point to the subgrade centerline (m) | 1, 2, 3, 4, 5, 6, 7, 8, 9, 10, 11, 12, 13, 14 |
| Training Set Accuracy Metrics | Test Set Accuracy Metrics | ||||
|---|---|---|---|---|---|
| RMSE (m) | MAPE (%) | R2 | RMSE (m) | MAPE (%) | R2 |
| 0.01826 | 6.1610 | 0.9864 | 0.01488 | 7.0562 | 0.9706 |
Disclaimer/Publisher’s Note: The statements, opinions and data contained in all publications are solely those of the individual author(s) and contributor(s) and not of MDPI and/or the editor(s). MDPI and/or the editor(s) disclaim responsibility for any injury to people or property resulting from any ideas, methods, instructions or products referred to in the content. |
© 2025 by the authors. Licensee MDPI, Basel, Switzerland. This article is an open access article distributed under the terms and conditions of the Creative Commons Attribution (CC BY) license (https://creativecommons.org/licenses/by/4.0/).
Share and Cite
Lu, Y.; Zheng, A.; Xu, X.; Lei, T.; Sang, Z.; Zhang, L.; Sun, Z.; Yao, Z.; Yao, K. Calculation and Intelligent Prediction of Long-Term Subgrade Settlement on Soft Soil Interlayer Foundations Under Secondary Consolidation in the Yellow River Floodplain. Eng 2025, 6, 320. https://doi.org/10.3390/eng6110320
Lu Y, Zheng A, Xu X, Lei T, Sang Z, Zhang L, Sun Z, Yao Z, Yao K. Calculation and Intelligent Prediction of Long-Term Subgrade Settlement on Soft Soil Interlayer Foundations Under Secondary Consolidation in the Yellow River Floodplain. Eng. 2025; 6(11):320. https://doi.org/10.3390/eng6110320
Chicago/Turabian StyleLu, Yong, Ang Zheng, Xianjin Xu, Tao Lei, Zihan Sang, Lei Zhang, Zhaoyun Sun, Zhanyong Yao, and Kai Yao. 2025. "Calculation and Intelligent Prediction of Long-Term Subgrade Settlement on Soft Soil Interlayer Foundations Under Secondary Consolidation in the Yellow River Floodplain" Eng 6, no. 11: 320. https://doi.org/10.3390/eng6110320
APA StyleLu, Y., Zheng, A., Xu, X., Lei, T., Sang, Z., Zhang, L., Sun, Z., Yao, Z., & Yao, K. (2025). Calculation and Intelligent Prediction of Long-Term Subgrade Settlement on Soft Soil Interlayer Foundations Under Secondary Consolidation in the Yellow River Floodplain. Eng, 6(11), 320. https://doi.org/10.3390/eng6110320

